Removable Discontinuity: Definition, Example & Graph - StudySmarter
Maybe your like
Learning Materials
-
Explanations Explanations
- Anthropology
- Archaeology
- Architecture
- Art and Design
- Bengali
- Biology
- Business Studies
- Chemistry
- Chinese
- Combined Science
- Computer Science
- Economics
- Engineering
- English
- English Literature
- Environmental Science
- French
- Geography
- German
- Greek
- History
- Hospitality and Tourism
- Human Geography
- Japanese
- Italian
- Law
- Macroeconomics
- Marketing
- Math
- Media Studies
- Medicine
- Microeconomics
- Music
- Nursing
- Nutrition and Food Science
- Physics
- Politics
- Polish
- Psychology
- Religious Studies
- Sociology
- Spanish
- Sports Sciences
- Translation
Features
-
Flashcards
-
StudySmarter AI
-
Notes
-
Study Plans
-
Study Sets
-
Exams
Discover
-
Find a job
-
Student Deals
-
Magazine
-
Mobile App
- Explanations
- Math
- Calculus
- Removable Discontinuity
A removable discontinuity is a point where a function does not exist, but if you move to this point from the left or right is the same.
Get startedMillions of flashcards designed to help you ace your studies
Sign up for free- + Add tag
- Immunology
- Cell Biology
- Mo
What is StudySmarter?
Show Answer- + Add tag
- Immunology
- Cell Biology
- Mo
How does StudySmarter help me study more efficiently?
Show Answer- + Add tag
- Immunology
- Cell Biology
- Mo
Where can I find more explanations like this?
Show Answer- + Add tag
- Immunology
- Cell Biology
- Mo
What's smart about StudySmarter's flashcards?
Show Answer- + Add tag
- Immunology
- Cell Biology
- Mo
Can I create my own content on StudySmarter?
Show Answer- + Add tag
- Immunology
- Cell Biology
- Mo
How does spaced repetition work in StudySmarter flashcards?
Show Answer- + Add tag
- Immunology
- Cell Biology
- Mo
What can you do with flashcards in StudySmarter?
Show Answer- + Add tag
- Immunology
- Cell Biology
- Mo
Is StudySmarter a science-based learning platform?
Show Answer- + Add tag
- Immunology
- Cell Biology
- Mo
How do StudySmarter's smart learning plans support your exam prep?
Show Answer- + Add tag
- Immunology
- Cell Biology
- Mo
Can you create your own study sets in StudySmarter?
Show Answer- + Add tag
- Immunology
- Cell Biology
- Mo
What is StudySmarter?
Show Answer- + Add tag
- Immunology
- Cell Biology
- Mo
How does StudySmarter help me study more efficiently?
Show Answer- + Add tag
- Immunology
- Cell Biology
- Mo
Where can I find more explanations like this?
Show Answer- + Add tag
- Immunology
- Cell Biology
- Mo
What's smart about StudySmarter's flashcards?
Show Answer- + Add tag
- Immunology
- Cell Biology
- Mo
Can I create my own content on StudySmarter?
Show Answer- + Add tag
- Immunology
- Cell Biology
- Mo
How does spaced repetition work in StudySmarter flashcards?
Show Answer- + Add tag
- Immunology
- Cell Biology
- Mo
What can you do with flashcards in StudySmarter?
Show Answer- + Add tag
- Immunology
- Cell Biology
- Mo
Is StudySmarter a science-based learning platform?
Show Answer- + Add tag
- Immunology
- Cell Biology
- Mo
How do StudySmarter's smart learning plans support your exam prep?
Show Answer- + Add tag
- Immunology
- Cell Biology
- Mo
Can you create your own study sets in StudySmarter?
Show AnswerReview generated flashcards
Sign up for freeto start learning or create your own AI flashcards
Sign up for free You have reached the daily AI limitStart learning or create your own AI flashcards
StudySmarter Editorial Team Team Removable Discontinuity Teachers
- 7 minutes reading time
- Checked by StudySmarter Editorial Team
- Fact Checked Content
- Last Updated: 07.02.2023
- Published at: 14.06.2022
- 7 min reading time
- Applied Mathematics
- Calculus
- Absolute Maxima and Minima
- Absolute and Conditional Convergence
- Accumulation Function
- Accumulation Problems
- Algebraic Functions
- Alternating Series
- Antiderivatives
- Application of Derivatives
- Application of Higher Order Derivatives
- Application of Integrals in Biology and Social Sciences
- Applications of Continuity
- Applications of Double Integrals
- Approximating Areas
- Arc Length of a Curve
- Area Between Two Curves
- Arithmetic Series
- Arithmetic of Complex Numbers
- Average Rate of Change of Populations
- Average Value Function
- Average Value of a Function
- Bifurcation Theory
- Boundary Value Problems
- Calculus Linear Approximation
- Calculus Of Parametric Curves
- Candidate Test
- Change of Variables in Multiple Integrals
- Combining Different Rules
- Combining Differentiation Rules
- Combining Functions
- Complex Analysis
- Concavity of a Function
- Continuity
- Continuity Equations
- Continuity Over an Interval
- Continuity and Indeterminate Forms
- Convergence Tests
- Cost and Revenue
- Critical points
- Curl and Divergence
- Curve Sketching Techniques
- Density and Center of Mass
- Derivative Functions
- Derivative Properties
- Derivative as a Limit
- Derivative of Exponential Function
- Derivative of Inverse Function
- Derivative of Logarithmic Functions
- Derivative of Trigonometric Functions
- Derivative of Vector Valued Function
- Derivatives
- Derivatives and Continuity
- Derivatives and the Shape of a Graph
- Derivatives of Exponential Functions
- Derivatives of Inverse Trigonometric Functions
- Derivatives of Logarithmic Functions
- Derivatives of Polar Functions
- Derivatives of Sec, Csc and Cot
- Derivatives of Sin, Cos and Tan
- Determining Volumes by Slicing
- Difference Quotient
- Differentiability
- Differentials
- Differentiation of Functions of Several Variables
- Direction Fields
- Disk Method
- Divergence Test
- Double Integral
- Double Integrals Over General Regions
- Double Integrals Over Rectangular Regions
- Double Integrals in Polar Coordinates
- Dynamical Systems
- Eliminating The Parameter
- Euler's Method
- Evaluating a Definite Integral
- Evaluation Theorem
- Exact equations
- Exponential Functions
- Exponential Model
- Extrema
- Finding Limits
- Finding Limits of Specific Functions
- First Derivative Test
- Function Transformations
- Fundamental Theorem of Line Integrals
- Galois Theory
- General Solution of Differential Equation
- Geometric Series
- Gradient Descent
- Graphing and Optimization
- Green's Function
- Green's Theorem
- Growth Rate of Functions
- Harmonic Functions
- Higher Order Partial Derivatives
- Higher-Order Derivatives
- Hydrostatic Pressure
- Hyperbolic Functions
- Implicit Differentiation Tangent Line
- Implicit Relations
- Improper Integrals
- Increasing and Decreasing Functions
- Indefinite Integral
- Indeterminate Forms
- Indeterminate Forms of Limits
- Initial Value Problem Differential Equations
- Integral Equations
- Integral Test
- Integrals in Economics
- Integrals of Exponential Functions
- Integrals of Motion
- Integrating Even and Odd Functions
- Integration Formula
- Integration Tables
- Integration Techniques
- Integration Using Long Division
- Integration Using Tables
- Integration fundamentals
- Integration of Logarithmic Functions
- Integration of Vector Valued Functions
- Integration using Inverse Trigonometric Functions
- Intermediate Value Theorem
- Inverse Trigonometric Functions
- Jump Discontinuity
- Lagrange Error Bound
- Lagrange Multiplier
- Laplace Transform
- Lebesgue Integration
- Limit Applications
- Limit Laws
- Limit of Vector Valued Function
- Limit of a Sequence
- Limits
- Limits and Continuity
- Limits at Infinity
- Limits at Infinity and Asymptotes
- Limits of a Function
- Line Integrals
- Linear Approximations and Differentials
- Linear Differential Equation
- Linear Functions
- Logarithmic Differentiation
- Logarithmic Functions
- Logistic Differential Equation
- Logistic Model
- Maclaurin Series
- Manipulating Functions
- Matrix Theory
- Maxima and Minima
- Maxima and Minima Problems
- Mean Value Theorem for Integrals
- Measure Theory
- Michaelis Menten Equation
- Models for Population Growth
- Motion Along A Line
- Motion In Space
- Multiple Integrals
- Multivariable Calculus
- Natural Logarithmic Function
- Net Change Theorem
- Newton's Method
- Non Differentiable Functions
- Nonhomogeneous Differential Equation
- Nonlinear Differential Equations
- Numerical Linear Algebra
- One-Sided Limits
- Optimization Problems
- Optimization Problems in Economics
- Optimization Theory
- Ordinary Differential Equations
- P Series
- PDE Solutions
- Parametric Surface Area
- Parametric derivatives
- Partial Derivatives
- Particle Model Motion
- Particular Solutions to Differential Equations
- Piecewise Defined Function
- Polar Coordinates
- Polar Coordinates Functions
- Polar Curves
- Population Change
- Power Series
- Probability Theory
- Properties of Definite Integrals
- Radius of Convergence
- Ratio Test
- Real Analysis
- Related Rates
- Removable Discontinuity
- Revenue as Average Rate of Change
- Riemann Integral
- Riemann Sum
- Rolle's Theorem
- Root Test
- Second Derivative Test
- Separable Equations
- Separable differential equations
- Separation of Variables
- Simpson's Rule
- Slope Fields
- Solid of Revolution
- Solutions to Differential Equations
- Solving Inequalities using Continuity Properties
- Spectral Theory
- Stochastic Differential Equations
- Surface Area Integral
- Surface Area of Revolution
- Surface Integrals
- Surplus
- Symmetry of Functions
- Tangent Lines
- Tangent Plane
- Tangent Planes and Linear Approximations
- Taylor Polynomials
- Taylor Series
- Techniques of Integration
- The Fundamental Theorem of Calculus
- The Limit Does Not Exist
- The Mean Value Theorem
- The Power Rule
- The Squeeze Theorem
- The Trapezoidal Rule
- Theorems of Continuity
- Topology
- Trigonometric Substitution
- Triple Integral
- Triple Integral Spherical Coordinates
- Triple Integrals in Cylindrical Coordinates
- Types of Discontinuity
- Using Slope Fields to Graph Solutions
- Variational Methods
- Vector Valued Function
- Vectors In Space
- Vectors in Calculus
- Velocity as Average Rate of Change
- Vertical Asymptote
- Volume Integrals
- Volume by disks
- Volume by shells
- Washer Method
- Decision Maths
- Discrete Mathematics
- Geometry
- Logic and Functions
- Mechanics Maths
- Probability and Statistics
- Pure Maths
- Statistics
- Theoretical and Mathematical Physics
- Applied Mathematics
- Calculus
- Absolute Maxima and Minima
- Absolute and Conditional Convergence
- Accumulation Function
- Accumulation Problems
- Algebraic Functions
- Alternating Series
- Antiderivatives
- Application of Derivatives
- Application of Higher Order Derivatives
- Application of Integrals in Biology and Social Sciences
- Applications of Continuity
- Applications of Double Integrals
- Approximating Areas
- Arc Length of a Curve
- Area Between Two Curves
- Arithmetic Series
- Arithmetic of Complex Numbers
- Average Rate of Change of Populations
- Average Value Function
- Average Value of a Function
- Bifurcation Theory
- Boundary Value Problems
- Calculus Linear Approximation
- Calculus Of Parametric Curves
- Candidate Test
- Change of Variables in Multiple Integrals
- Combining Different Rules
- Combining Differentiation Rules
- Combining Functions
- Complex Analysis
- Concavity of a Function
- Continuity
- Continuity Equations
- Continuity Over an Interval
- Continuity and Indeterminate Forms
- Convergence Tests
- Cost and Revenue
- Critical points
- Curl and Divergence
- Curve Sketching Techniques
- Density and Center of Mass
- Derivative Functions
- Derivative Properties
- Derivative as a Limit
- Derivative of Exponential Function
- Derivative of Inverse Function
- Derivative of Logarithmic Functions
- Derivative of Trigonometric Functions
- Derivative of Vector Valued Function
- Derivatives
- Derivatives and Continuity
- Derivatives and the Shape of a Graph
- Derivatives of Exponential Functions
- Derivatives of Inverse Trigonometric Functions
- Derivatives of Logarithmic Functions
- Derivatives of Polar Functions
- Derivatives of Sec, Csc and Cot
- Derivatives of Sin, Cos and Tan
- Determining Volumes by Slicing
- Difference Quotient
- Differentiability
- Differentials
- Differentiation of Functions of Several Variables
- Direction Fields
- Disk Method
- Divergence Test
- Double Integral
- Double Integrals Over General Regions
- Double Integrals Over Rectangular Regions
- Double Integrals in Polar Coordinates
- Dynamical Systems
- Eliminating The Parameter
- Euler's Method
- Evaluating a Definite Integral
- Evaluation Theorem
- Exact equations
- Exponential Functions
- Exponential Model
- Extrema
- Finding Limits
- Finding Limits of Specific Functions
- First Derivative Test
- Function Transformations
- Fundamental Theorem of Line Integrals
- Galois Theory
- General Solution of Differential Equation
- Geometric Series
- Gradient Descent
- Graphing and Optimization
- Green's Function
- Green's Theorem
- Growth Rate of Functions
- Harmonic Functions
- Higher Order Partial Derivatives
- Higher-Order Derivatives
- Hydrostatic Pressure
- Hyperbolic Functions
- Implicit Differentiation Tangent Line
- Implicit Relations
- Improper Integrals
- Increasing and Decreasing Functions
- Indefinite Integral
- Indeterminate Forms
- Indeterminate Forms of Limits
- Initial Value Problem Differential Equations
- Integral Equations
- Integral Test
- Integrals in Economics
- Integrals of Exponential Functions
- Integrals of Motion
- Integrating Even and Odd Functions
- Integration Formula
- Integration Tables
- Integration Techniques
- Integration Using Long Division
- Integration Using Tables
- Integration fundamentals
- Integration of Logarithmic Functions
- Integration of Vector Valued Functions
- Integration using Inverse Trigonometric Functions
- Intermediate Value Theorem
- Inverse Trigonometric Functions
- Jump Discontinuity
- Lagrange Error Bound
- Lagrange Multiplier
- Laplace Transform
- Lebesgue Integration
- Limit Applications
- Limit Laws
- Limit of Vector Valued Function
- Limit of a Sequence
- Limits
- Limits and Continuity
- Limits at Infinity
- Limits at Infinity and Asymptotes
- Limits of a Function
- Line Integrals
- Linear Approximations and Differentials
- Linear Differential Equation
- Linear Functions
- Logarithmic Differentiation
- Logarithmic Functions
- Logistic Differential Equation
- Logistic Model
- Maclaurin Series
- Manipulating Functions
- Matrix Theory
- Maxima and Minima
- Maxima and Minima Problems
- Mean Value Theorem for Integrals
- Measure Theory
- Michaelis Menten Equation
- Models for Population Growth
- Motion Along A Line
- Motion In Space
- Multiple Integrals
- Multivariable Calculus
- Natural Logarithmic Function
- Net Change Theorem
- Newton's Method
- Non Differentiable Functions
- Nonhomogeneous Differential Equation
- Nonlinear Differential Equations
- Numerical Linear Algebra
- One-Sided Limits
- Optimization Problems
- Optimization Problems in Economics
- Optimization Theory
- Ordinary Differential Equations
- P Series
- PDE Solutions
- Parametric Surface Area
- Parametric derivatives
- Partial Derivatives
- Particle Model Motion
- Particular Solutions to Differential Equations
- Piecewise Defined Function
- Polar Coordinates
- Polar Coordinates Functions
- Polar Curves
- Population Change
- Power Series
- Probability Theory
- Properties of Definite Integrals
- Radius of Convergence
- Ratio Test
- Real Analysis
- Related Rates
- Removable Discontinuity
- Revenue as Average Rate of Change
- Riemann Integral
- Riemann Sum
- Rolle's Theorem
- Root Test
- Second Derivative Test
- Separable Equations
- Separable differential equations
- Separation of Variables
- Simpson's Rule
- Slope Fields
- Solid of Revolution
- Solutions to Differential Equations
- Solving Inequalities using Continuity Properties
- Spectral Theory
- Stochastic Differential Equations
- Surface Area Integral
- Surface Area of Revolution
- Surface Integrals
- Surplus
- Symmetry of Functions
- Tangent Lines
- Tangent Plane
- Tangent Planes and Linear Approximations
- Taylor Polynomials
- Taylor Series
- Techniques of Integration
- The Fundamental Theorem of Calculus
- The Limit Does Not Exist
- The Mean Value Theorem
- The Power Rule
- The Squeeze Theorem
- The Trapezoidal Rule
- Theorems of Continuity
- Topology
- Trigonometric Substitution
- Triple Integral
- Triple Integral Spherical Coordinates
- Triple Integrals in Cylindrical Coordinates
- Types of Discontinuity
- Using Slope Fields to Graph Solutions
- Variational Methods
- Vector Valued Function
- Vectors In Space
- Vectors in Calculus
- Velocity as Average Rate of Change
- Vertical Asymptote
- Volume Integrals
- Volume by disks
- Volume by shells
- Washer Method
- Decision Maths
- Discrete Mathematics
- Geometry
- Logic and Functions
- Mechanics Maths
- Probability and Statistics
- Pure Maths
- Statistics
- Theoretical and Mathematical Physics
- Fact Checked Content
- Last Updated: 07.02.2023
- 7 min reading time
- Content creation process designed by
Lily Hulatt - Content sources cross-checked by
Gabriel Freitas - Content quality checked by
Gabriel Freitas
Jump to a key chapter
In the Continuity article, we learned three criteria needed for a function to be continuous. Recall that all three of these criteria must be met for continuity at a point. Let's consider the third criterion for a minute "the limit as x approaches a point must be equal to the function value at that point". What if, say, this is not met (but the limit still exists)? What would that look like? We call it a removable discontinuity (also known as a hole)! Let's take a further look.
Removable Point of Discontinuity
Let's go back to the scenario in the introduction. What happens if the limit exists, but isn't equal to the function value? Recall, that by saying the limit exists what you actually are saying is that it is a number, not infinity.
If a function \(f(x)\) is not continuous at \(x=p\), and
\[lim_{x \rightarrow p} f(x)\]
exists, then we say the function has a removable discontinuity at \(x=p\).
Here, we define \(x=p\) as a removable point of discontinuity.
Ok, that's great, but what does a removable discontinuity look like? Consider the image below.
Fig. 1. Example of a function with a removable discontinuity at \(x = p\).
In this image, the graph has a removable discontinuity (aka. a hole) in it and the function value at \(x=p\) is \(4\) instead of the \(2\) you would need it to be if you wanted the function to be continuous. If instead that hole were filled in with the point above it, and the point floating there removed, the function would become continuous at \(x=p\). This is called a removable discontinuity.
Removable Discontinuity Example
Let's take a look at a few functions and determine if they have removable discontinuities.
Removable Discontinuity Graph
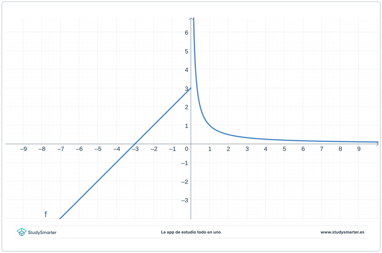
Does the function \(f(x)=\dfrac{x^2-9}{x-3}\) have a removable discontinuity at \(x=3\) ?
Answer:
First, notice that the function isn't defined at \(x=3\), so it isn't continuous there. If the function is continuous at \(x=3\), then it certainly doesn't have a removable discontinuity there! So now you need to check the limit:
\[lim_{x \rightarrow 3} f(x)\]
Since the limit of the function does exist, the discontinuity at \(x=3\) is a removable discontinuity. Graphing the function gives:
Fig, 1. This function has a hole at \(x=3\) because the limit exists, however, \(f(3)\) does not exist.
Fig. 2. Example of a function with a removable discontinuity at \(x = 3\).
So you can see there is a hole in the graph.
Non-removable Discontinuities
If some discontinuities can be removed, what does it mean to be non-removable? Looking at the definition of a removable discontinuity, the part that can go wrong is the limit not existing. Non-removable discontinuities refer to two other main types of discontinues; jump discontinuities and infinite/asymptotic discontinuities. You can learn more about them in Jump Discontinuity and Continuity Over an Interval.
Non-removable Discontinuity Graph
Looking at the graph of the piecewise-defined function below, does it have a removable or non-removable point of discontinuity at \(x=0\)? If it is non-removable, is it an infinite discontinuity?

Answer:
From looking at the graph you can see that
\[lim_{x \rightarrow 0^-}f(x)=3\]
and that
\[lim_{x \rightarrow 0^+}f(x)=\infty\]
which means the function is not continuous at \(x=0\). In fact, it has a vertical asymptote at \(x=0\). Since those two limits aren't the same number, the function has a non-removable discontinuity at \(x=0\). Since one of those limits is infinite, you know it has an infinite discontinuity at \(x=0\).
Deciding if the function has a removable or non-removable point of discontinuity
Removable Discontinuity Limit
How can you tell if the discontinuity of a function is removable or non-removable? Just look at the limit!
If the limit from the left at \(p\) and the right at \(p\) are the same number, but that isn't the value of the function at \(p\) or the function doesn't have a value at \(p\), then there is a removable discontinuity.
If the limit from the left at \(p\), or the limit from the right at \(p\), is infinite, then there is a non-removable point of discontinuity, and it is called an infinite discontinuity.
What kind of discontinuity, if any, does the function in the graph have at \(p\)?

Answer:
You can see looking at the graph that the function isn't even defined at \(p\). However the limit from the left at \(p\) and the limit from the right at \(p\) are the same, so the function has a removable point of discontinuity at \(p\). Intuitively, it has a removable discontinuity because if you just filled in the hole in the graph, the function would be continuous at \(p\). In other words, removing the discontinuity means changing just one point on the graph.
What kind of discontinuity, if any, does the function in the graph have at \(p\)?

Unlike in the previous example, you can see looking at the graph that the function is defined at \(p\). However the limit from the left at \(p\) and the limit from the right at \(p\) are the same, so the function has a removable point of discontinuity at \(p\). Intuitively, it has a removable discontinuity because if you just changed the function so that rather than having it filled in the hole, the function would be continuous at \(p\).
Looking at the graph of the piecewise-defined function below, does it have a removable, non-removable discontinuity, or neither of the two?

Answer:
This function is clearly not continuous at \(2\) because the limit from the left at \(2\) is not the same as the limit from the right at \(2\). In fact
\[lim_{x \rightarrow 2^-}f(x)=4\]
and
\[lim_{x \rightarrow 2^+}f(x)=1\] .
So we know that
- the limit from the left at \(2\) and the limit from the right of \(2\) don't have the same value
- the limit from the left isn't infinite, and the limit from the right isn't infinite at \(2\) either,
Therefore, this function has a non-removable discontinuity at \(2\), however, it is not an infinite discontinuity.
In the example above, the function has a jump discontinuity at \(x=2\). For more information on when this happens, see Jump Discontinuity
Looking at the graph below, does the function have a removable or non-removable point of discontinuity at \(x=2\)?

Answer:
This function has a vertical asymptote at \(x=2\). In fact
\[lim_{x \rightarrow 2^-}f(x)= -\infty\]
and
\[lim_{x \rightarrow 2^+}f(x)= \infty\]
So this function has a non-removable point of discontinuity. It is called an infinite discontinuity because one of the limits is infinite.
Removable Discontinuity - Key takeaways
- If a function is not continuous at a point, we say "it has a point of discontinuity at this point".
- If a function is not continuous at a point, then we say the function has a removable discontinuity at this point if the limit at this point exists.
- If the function has a removable discontinuity at a point, then is called a removable point of discontinuity (or a hole).
Similar topics in Math
- Probability and Statistics
- Statistics
- Mechanics Maths
- Geometry
- Calculus
- Pure Maths
- Decision Maths
- Logic and Functions
- Discrete Mathematics
- Theoretical and Mathematical Physics
- Applied Mathematics
Related topics to Calculus
- Derivative of Exponential Function
- Implicit Differentiation Tangent Line
- Symmetry of Functions
- Maxima and Minima Problems
- Growth Rate of Functions
- Ratio Test
- Natural Logarithmic Function
- Continuity
- The Power Rule
- Integrating Even and Odd Functions
- Hyperbolic Functions
- Theorems of Continuity
- Integrals of Exponential Functions
- Integrals of Motion
- Accumulation Problems
- Implicit Relations
- Integration Using Long Division
- Integration of Logarithmic Functions
- Maxima and Minima
- Separable Equations
- Separation of Variables
- Washer Method
- Derivatives of Sin, Cos and Tan
- Vector Valued Function
- Area Between Two Curves
- Limit of Vector Valued Function
- Trigonometric Substitution
- Evaluating a Definite Integral
- Mean Value Theorem for Integrals
- Rolle's Theorem
- Absolute Maxima and Minima
- Algebraic Functions
- Maclaurin Series
- Taylor Series
- Vectors In Space
- Alternating Series
- The Squeeze Theorem
- Logarithmic Functions
- Exponential Functions
- Euler's Method
- Riemann Sum
- Models for Population Growth
- The Trapezoidal Rule
- Removable Discontinuity
- Tangent Lines
- Intermediate Value Theorem
- One-Sided Limits
- Simpson's Rule
- Continuity Over an Interval
- Polar Curves
- Disk Method
- P Series
- Improper Integrals
- Logistic Differential Equation
- The Fundamental Theorem of Calculus
- The Mean Value Theorem
- Particular Solutions to Differential Equations
- Optimization Problems
- Related Rates
- Combining Differentiation Rules
- Solutions to Differential Equations
- Derivatives of Polar Functions
- Linear Differential Equation
- Derivative of Trigonometric Functions
- Determining Volumes by Slicing
- Inverse Trigonometric Functions
- Limit Laws
- Finding Limits
- Motion Along A Line
- Limit of a Sequence
- Limits
- Indeterminate Forms
- Initial Value Problem Differential Equations
- Absolute and Conditional Convergence
- Polar Coordinates Functions
- Second Derivative Test
- Derivatives
- Application of Derivatives
- Polar Coordinates
- Indefinite Integral
- Limits of a Function
- Limits at Infinity
- Divergence Test
- Cost and Revenue
- Surface Area of Revolution
- Direction Fields
- Power Series
- Vectors in Calculus
- Linear Approximations and Differentials
- Linear Functions
- Combining Functions
- Accumulation Function
- Limits at Infinity and Asymptotes
- Derivatives and Continuity
- Derivatives of Sec, Csc and Cot
- Antiderivatives
- Manipulating Functions
- Motion In Space
- Lagrange Error Bound
- Radius of Convergence
- Convergence Tests
- Integration Tables
- Derivatives of Inverse Trigonometric Functions
- Derivative of Logarithmic Functions
- Logarithmic Differentiation
- Derivative of Inverse Function
- First Derivative Test
- Jump Discontinuity
- Function Transformations
- Newton's Method
- Finding Limits of Specific Functions
- Higher-Order Derivatives
- Population Change
- Derivatives and the Shape of a Graph
- Arithmetic Series
- Geometric Series
- Average Value of a Function
- Root Test
- Integration using Inverse Trigonometric Functions
- Solid of Revolution
- Arc Length of a Curve
- Techniques of Integration
- Density and Center of Mass
- Particle Model Motion
- Integration Formula
- Nonhomogeneous Differential Equation
- Hydrostatic Pressure
- Taylor Polynomials
- General Solution of Differential Equation
- Integral Test
- Approximating Areas
- Net Change Theorem
- Evaluation Theorem
- Calculus Of Parametric Curves
- Eliminating The Parameter
- Derivative Functions
- Candidate Test
- Calculus Linear Approximation
- Derivatives of Logarithmic Functions
- Combining Different Rules
- Application of Higher Order Derivatives
- Lagrange Multiplier
- Derivatives of Exponential Functions
- Multiple Integrals
- Velocity as Average Rate of Change
- Triple Integral
- Double Integral
- Tangent Planes and Linear Approximations
- Exponential Model
- Difference Quotient
- Surface Area Integral
- Double Integrals in Polar Coordinates
- Average Rate of Change of Populations
- Differentiability
- Differentiation of Functions of Several Variables
- Non Differentiable Functions
- Applications of Double Integrals
- Tangent Plane
- Derivative Properties
- Revenue as Average Rate of Change
- Double Integrals Over Rectangular Regions
- Triple Integral Spherical Coordinates
- Derivative as a Limit
- Higher Order Partial Derivatives
- Triple Integrals in Cylindrical Coordinates
- Differentials
- Double Integrals Over General Regions
- Change of Variables in Multiple Integrals
- Limit Applications
- Parametric Surface Area
- Indeterminate Forms of Limits
- Fundamental Theorem of Line Integrals
- Michaelis Menten Equation
- Types of Discontinuity
- Piecewise Defined Function
- The Limit Does Not Exist
- Solving Inequalities using Continuity Properties
- Curl and Divergence
- Integration Using Tables
- Applications of Continuity
- Integrals in Economics
- Surplus
- Integration of Vector Valued Functions
- Application of Integrals in Biology and Social Sciences
- Vertical Asymptote
- Average Value Function
- Graphing and Optimization
- Slope Fields
- Logistic Model
- Properties of Definite Integrals
- Using Slope Fields to Graph Solutions
- Green's Theorem
- Derivative of Vector Valued Function
- Continuity and Indeterminate Forms
- Increasing and Decreasing Functions
- Optimization Problems in Economics
- Extrema
- Integration Techniques
- Gradient Descent
- Topology
- Bifurcation Theory
- Stochastic Differential Equations
- Ordinary Differential Equations
- Laplace Transform
- Complex Analysis
- Real Analysis
- Integral Equations
- Nonlinear Differential Equations
- Volume Integrals
- Dynamical Systems
- PDE Solutions
- Curve Sketching Techniques
- Multivariable Calculus
- Green's Function
- Spectral Theory
- Measure Theory
- Surface Integrals
- Partial Derivatives
- Boundary Value Problems
- Harmonic Functions
- Line Integrals
- Continuity Equations
- Variational Methods
- Probability Theory
- Numerical Linear Algebra
- Concavity of a Function
- Optimization Theory
- Arithmetic of Complex Numbers
- Lebesgue Integration
- Galois Theory
- Limits and Continuity
- Riemann Integral
- Matrix Theory
- Separable differential equations
- Parametric derivatives
- Volume by shells
- Critical points
- Volume by disks
- Integration fundamentals
- Exact equations
Learn faster with the 0 flashcards about Removable Discontinuity
Sign up for free to gain access to all our flashcards.
Sign up with Email Already have an account? Log in
Frequently Asked Questions about Removable Discontinuity
What is the difference between removable and nonremovable discontinuity?
For a discontinuity at x=p to be removable the limit from the left and the limit from the right at x=p have to be the same number. If one of them (or both) is infinite, then the discontinuity is non-removable.
What is a removable discontinuity?
A removable discontinuity happens when a function is not continuous at x = p, but the limit from the left and the limit from the right at x = p exist and have the same value.
How to find a removable discontinuity
Look for a place in the function where the limit from the left and right are the same number but that isn't the same as the function value there.
Which functions have removable discontinuities?
There are lots of functions with removable discontinuities. Just look for a hole in the graph.
How do you know if a discontinuity is removable?
If the limit of the function f(x) exists at x=p. but isn't equal to f(p), then you know it has a removable discontinuity.
Save ArticleHow we ensure our content is accurate and trustworthy?
At StudySmarter, we have created a learning platform that serves millions of students. Meet the people who work hard to deliver fact based content as well as making sure it is verified.
Content Creation Process:
Lily Hulatt Digital Content Specialist
Lily Hulatt is a Digital Content Specialist with over three years of experience in content strategy and curriculum design. She gained her PhD in English Literature from Durham University in 2022, taught in Durham University’s English Studies Department, and has contributed to a number of publications. Lily specialises in English Literature, English Language, History, and Philosophy.
Get to know Lily Content Quality Monitored by:
Gabriel Freitas AI Engineer
Gabriel Freitas is an AI Engineer with a solid experience in software development, machine learning algorithms, and generative AI, including large language models’ (LLMs) applications. Graduated in Electrical Engineering at the University of São Paulo, he is currently pursuing an MSc in Computer Engineering at the University of Campinas, specializing in machine learning topics. Gabriel has a strong background in software engineering and has worked on projects involving computer vision, embedded AI, and LLM applications.
Get to know Gabriel Discover learning materials with the free StudySmarter app Sign up for free
About StudySmarter
StudySmarter is a globally recognized educational technology company, offering a holistic learning platform designed for students of all ages and educational levels. Our platform provides learning support for a wide range of subjects, including STEM, Social Sciences, and Languages and also helps students to successfully master various tests and exams worldwide, such as GCSE, A Level, SAT, ACT, Abitur, and more. We offer an extensive library of learning materials, including interactive flashcards, comprehensive textbook solutions, and detailed explanations. The cutting-edge technology and tools we provide help students create their own learning materials. StudySmarter’s content is not only expert-verified but also regularly updated to ensure accuracy and relevance.
Learn more
StudySmarter Editorial Team Team Math Teachers
- 7 minutes reading time
- Checked by StudySmarter Editorial Team
Save explanations to your personalised space and access them anytime, anywhere!
Sign up with Email Sign up with AppleBy signing up, you agree to the Terms and Conditions and the Privacy Policy of StudySmarter.
Already have an account? Log in
Sign up to highlight and take notes. It’s 100% free.
Get Started Free Explore our app and discover over 50 million learning materials for free. Sign up for free 94% of StudySmarter users achieve better grades with our free platform. Download now!Tag » What Is A Removable Discontinuity
-
What Is Removable Discontinuity Class 11 Maths CBSE - Vedantu
-
Non Removable And Jump Discontinuity - Cuemath
-
What Is Removable Discontinuity? - Education Is Around
-
Removable Discontinuity -- From Wolfram MathWorld
-
Removable Discontinuities: Definition & Concept
-
How To Find REMOVABLE DISCONTINUITIES (KristaKingMath)
-
Types Of Discontinuities (video) - Khan Academy
-
Removable Discontinuity - Superprof
-
Removable Discontinuity - Mathwords
-
Classification Of Discontinuities - Wikipedia
-
What Is Removable Discontinuity? How Do You Identify Functions ...
-
Continuity And Discontinuity | CK-12 Foundation
-
How To Determine Whether A Function Is Discontinuous - Dummies