150 Câu Trắc Nghiệm Este Lipit Có Lời Giải Chi Tiết (Nâng Cao - Phần 1)
Có thể bạn quan tâm
Nâng cấp gói Pro để trải nghiệm website VnDoc.com KHÔNG quảng cáo, và tải file cực nhanh không chờ đợi.
Tìm hiểu thêm » Mua ngay Từ 79.000đ Hỗ trợ ZaloHóa học 12: Trắc nghiệm Este Lipit có lời giải chi tiết
Chuyên đề Hóa học 12 150 câu trắc nghiệm Este Lipit có lời giải chi tiết (Nâng cao - phần 1). Tài liệu chắc chắn sẽ là nguồn thông tin hữu ích để giúp các bạn giải bài tập Hóa học lớp 12 hiệu quả hơn. Mời các bạn tham khảo.
Câu 1: Đun nóng axit axetic với isoamylic (CH3)2CH-CH2-CH2-OH có H2SO4 đặc, xúc tác thu được isoamyl axetat (dầu chuối). Khối lượng dầu chuối thu được từ 132,35 gam axit axetic đun nóng với 200 gam rượu isoamylic có giá trị gần nhất là (biết hiệu suất phản ứng đạt 68%)
A. 192,0 gam.
B. 97,5 gam.
C. 292,5 gam.
D. 195,0 gam.
Đáp án(CH3)2CH – [CH2]2OH (Isoamylic) + CH3COOH (axit axetic) ⇆ (CH3)2CH – [CH2]2OCOCH3 (isoamyl axetat) + H2O
naxit axetic = 132,25/60 < nisoamylic = 200/88
→ nisoamylic = naxit axetic. H = 1,5 mol → misoamyl axetat = 1,5.130 = 195g.
→ Đáp án D
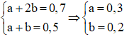
Câu 2: Cho hỗn hợp X gồm ancol metylic và hai axit cacboxylic (no, đơn chức, kế tiếp nhau trong dãy đồng đẳng) tác dụng hết với Na, giải phóng ra 6,72 lít khí H2 (đktc). Nếu đun nóng hỗn hợp X (có H2SO4 đặc làm xúc tác) thì các chất trong hỗn hợp phản ứng vừa đủ với nhau tạo thành 25 gam hỗn hợp este (giả thiết phản ứng este hoá đạt hiệu suất 100%). Hai axit trong hỗn hợp X là
A. CH3COOH và C2H5COOH.
B. HCOOH và CH3COOH.
C. C2H5COOH và C3H7COOH.
D. C3H7COOH và C4H9COOH.
Đáp ánGọi 2 axit có công thức chung là RCOOH.
Khi tham gia phản ứng với Na → nancol + naxit =
\(2n_{H_2}\) = 0,6 mol
Vì các chất trong hỗn hợp phản ứng este hóa vừa đủ với nhau → naxit = nancol = 0,3 mol
→
\(n_{RCOOCH_3}\) = naxit = 0,3 mol → (R + 44 + 15). 0,3 = 25
→15 (CH3) < R = 24,333 < 29 (C2H5)
Vậy axit kế tiếp nhau là CH3COOH.
→ Đáp án A
Câu 3: Chia 7,8 gam hỗn hợp ancol etylic và ancol đồng đẳng R-OH thành 2 phần bằng nhau. Phần 1 tác dụng với Na (dư) thu được 1,12 lít H2 (đktc). Phần 2 cho tác dụng với 30 gam CH3COOH (có mặt H2SO4 đặc). Tính tổng khối lượng este thu được, biết hiệu suất phản ứng este hoá đều bằng 80%.
A. 6,48 gam.
B. 8,1 gam.
C. 8,8 gam.
D. 6,24 gam.
Đáp ánGọi CTPT chung của hỗn hợp 2 ancol là ROH
Phần 1:
\(n_{H_2}\) = 1,12/22,4 = 0,05 mol → nROH =
\(2n_{H_2}\) = 2. 0,05 = 0,1 mol
MROH = 3,9/0,1 = 39 → R = 39 - 17 = 22
\(n_{CH_3COOH}\) = 0,5 ⇒
\(n_{CH_3COOH}\) = nROH = 0,1 mol
→ meste = 0,1.(15 + 44 + 22).0,8 = 6,48 g.
→ Đáp án A
Câu 4: Khi đun nóng 25,8 gam hỗn hợp ancol etylic và axit axetic có H2SO4 đặc làm xúc tác thu được 14,08 gam este. Nếu đốt cháy hoàn toàn lượng hỗn hợp đó thu được 23,4 ml nước. Thành phần % hỗn hợp ban đầu và hiệu suất của phản ứng este hóa lần lượt là
A. 53,5% C2H5OH; 46,5% CH3COOH và hiệu suất 80%.
B. 55,3% C2H5OH; 44,7% CH3COOH và hiệu suất 80%.
C. 60,0% C2H5OH; 40,0% CH3COOH và hiệu suất 75%.
D. 45,0% C2H5OH; 55,0% CH3COOH và hiệu suất 60%.
Đáp án
neste = 0,16 ⇒ H = 0,16/0,2 = 80%
→ Đáp án A
Câu 5: Hỗn hợp X gồm HCOOH và CH3COOH (tỉ lệ mol 1:1); hỗn hợp Y gồm CH3OH và C2H5OH (tỉ lệ mol 3 : 2). Lấy 11,13 gam hỗn hợp X tác dụng với 7,52 gam hỗn hợp Y có xúc tác H2SO4 đặc, đun nóng. Khối lượng của este thu được là (biết hiệu suất các phản ứng este đều 75%)
A. 10,89 gam.
B. 11,4345 gam.
C. 14,52 gam.
D. 11,616 gam.
Đáp ánMX = (46 + 60)/2 = 53 → R1 + 45 = 53 → R1 = 8
MY = (32.3 + 46.2)/(3 + 2) = 37,6 → R2 + 17 = 37,6 → R2 = 20,6
nX = 11,13/53 = 0,21
nY = 7,52/37,6 = 0,2
Meste = 0,2. (R1 + 44 + R2).0,75 = 0,2. 72,6. 0,75 = 10,89g.
→ Đáp án A
Câu 6: Hỗn hợp X gồm HCOOH, CH3COOH (tỉ lệ mol 1:1), hỗn hợp Y gồm CH3OH, C2H5OH (tỉ lệ mol 2:3). Lấy 16,96 gam hỗn hợp X tác dụng với 8,08 gam hỗn hợp Y (có xúc tác H2SO4đặc) thu được m gam este (hiệu suất các phản ứng este hóa đều bằng 80%). Giá trị của m là
A. 12,064.
B. 22,736.
C. 17,728.
D. 20,4352.
Đáp ánhh X có khối lượng mol trung bình là: (46 + 60)/2 = 53
hh Y có khối lượng mol trung bình là: (32.2 + 46.3)/5 = 40,4
nX = 16,96/53 mol; nY = 0,2 mol.
→ meste = 0,2.(53 + 40.4 - 18).0,8 = 12,064g
→ Đáp án A
Câu 7: Hỗn hợp X gồm 1 axit no đơn chức, mạch hở và một axit không no đơn chức, mạch hở có một liên kết đôi ở gốc hiđrocacbon. Khi cho a gam X tác dụng hết với CaCO3 thoát ra 1,12 lít CO2 (đktc). Hỗn hợp Y gồm CH3OH và C2H5OH; khi cho 7,8 gam Y tác dụng hết Na thoát ra 2,24 lít H2 (đktc). Nếu trộn a gam X với 3,9 gam Y rồi đun nóng có H2SO4 đặc xúc tác thì thu được m gam este (hiệu suất h%). Giá trị m theo a, h là
A. (a + 2,1)h %.
B. (a + 7,8)h %.
C. (a + 3,9)h %.
D. (a + 6)h %.
Đáp ánnX =
\(2n_{CO_2}\) = 0,1 mol
7,8g Y thì → nY =
\(2n_{H_2}\) = 0,2 mol → 3,9g Y thì nY = 0,1 mol
→ khi thực hiện phản ứng este hóa thì nX = nY
⇒ meste = mX + mY - mH2O = a + 3,9 - 0,1.18 = a + 2,1
Nếu tính theo hiệu suất h% thì meste = (a + 2,1)h%.
→ Đáp án A
Câu 8: Thực hiện phản ứng este hoá giữa axit axetic và hỗn hợp gồm 8,4 gam 3 ancol là đồng đẳng của ancol etylic. Sau phản ứng thu được 16,8 gam hỗn hợp ba este. Lấy sản phẩm của phản ứng este hoá trên thực hiện phản ứng xà phòng hoá hoàn toàn với dung dịch NaOH 4M thì thu được m gam muối (Giả sử hiệu suất phản ứng este hoá là 100%). Giá trị của m là
A. 10,0.
B. 16,4.
C. 20,0.
D. 8,0.
Đáp ánCH3COOH + CnH2n+1OH → CH3COOCnH2n+1 + H2O.
Tăng giảm khối lượng:
Sản phẩm của phản ứng xà phòng hóa là CH3COONa
→ m = 0,2.82 = 16,4g.
→ Đáp án B
Câu 9: Hỗn hợp M gồm ancol no, đơn chức và axit cacboxylic đơn chức, đều mạch hở và có cùng số nguyên tử C, tổng số mol của hai chất là 0,5 mol (số mol của axit lớn hơn số mol của ancol). Nếu đốt cháy hoàn toàn M thì thu được 66 gam khí CO2 và 25,2 gam H2O. Mặt khác, nếu đun nóng M với H2SO4 đặc để thực hiện phản ứng este hoá (hiệu suất là 80 %) thì số gam este thu được là
A. 17,10.
B. 18,24.
C. 25,65.
D. 30,40.
Đáp ánTa có: 
⇒ Số C trong phân tử X và Y: 1,5/0,5 = 3
\(n_{CO_2}\) >
\(n_{H_2O}\) ⇒ axit Y là axit không no ⇒ Có hai trường hợp xảy ra
TH1:
⇒ a > b ⇒ TH1 loại
TH2:
C3H7OH + CH2=CH-COOH -to, xt→ CH2=CH-COOC3H7 + H2O
⇒
\(n_{CH_2=CH-COOC_3H_7}\) =
\(n_{C_3H_7OH}\). 80% = 0,2. 80% = 0,16 mol
⇒
\(m_{CH_2=CH-COOC_3H_7}\) = 0,16. 114 = 18,24 gam)
→ Đáp án B
Câu 10: Thực hiện phản ứng este hoá giữa axit ađipic (HOOC-(CH2)4-COOH) với ancol đơn chức X thu được hai hợp chất có chứa chức este Y1 và Y2 trong đó Y1 có công thức phân tử là C8H14O4. Công thức của X là
A. C3H5OH.
B. CH3OH.
C. CH3OH hoặc C2H5OH.
D. C2H5OH.
Đáp ánNhư vậy Y1 và Y2 có thể là este 2 chức hoặc là tạp chức của etse và axit.
∗ Nếu Y1 là este 2 chức thì có CT là: CH3OOC – (CH2)4 – COOCH3 → ancol là CH3OH
∗ Nếu Y1 là tạp chức của este và axit thì có CT là: HOOC – (CH2)4 – COOC2H5
→ ancol là C2H5OH
→ Đáp án C
Câu 11: Cho 4,6 gam ancol X tác dụng với Na dư thu được 1,12 lít H2. Cho 9,0 gam axit hữu cơ Y tác dụng với Na dư thu được 1,68 lít H2. Đun nóng hỗn hợp gồm 4,6 gam ancol X và 9,0 gam axit hữu cơ Y (xúc tác H2SO4 đặc, to) thu được 6,6 gam este E. Các thể tích khí đo ở điều kiện tiêu chuẩn, hiệu suất phản ứng tạo thành este là
A. 50%
B. 60%
C. 75%
D. 80%.
Đáp ánGiả sử ancol có n chức
Giả sử axit có m chức
→ Đáp án C
Câu 12: Một hỗn hợp đẳng mol gồm một axit cacboxylic no đơn chức và một ancol no đơn chức. Chia hỗn hợp làm hai phần bằng nhau. Phần 1 đem đốt cháy thu được 0,2 mol CO2và 0,25 mol H2O. Phần 2 đem thực hiện phản ứng este hóa, phản ứng xong đem loại nước rồi đốt cháy thu được 0,2 mol CO2 và 0,22 mol H2O. Hiệu suất của phản ứng este hóa là
A. 40%.
B. 45%.
C. 50%.
D. 60%.
Đáp ánPhần 1: nancol =
\(n_{H_2O}\) -
\(n_{CO_2}\) = 0,05 mol
Phần 2:
Ta thấy, lượng H2O loại đi chính là số mol este tạo thành
→ neste = 0,25 - 0,22 = 0,03 mol
→ H = 0,3/0,6 = 60%
→ Đáp án D
Câu 13: Hỗn hợp X gồm 1 ancol no, đơn chức và 1 axit no, đơn chức mạch hở. Chia X thành 2 phần bằng nhau:
- Đốt cháy hoàn toàn phần 1 sản phẩm thu được cho qua bình nước vôi trong dư thấy có 30 gam kết tủa.
- Phần 2 được este hoá hoàn toàn vừa đủ thu được 1 este, đốt cháy este này thu được khối lượng H2O là
A. 1,8 gam.
B. 3,6 gam.
C. 5,4 gam.
D. 7,2 gam.
Đáp ánEste thu được sẽ là este no, đơn chức mạch hở
Khi đốt este này thì thu được
\(n_{H_2O}\) =
\(n_{CO_2}\)
Do số C không đổi trong cả 2 phần nên
\(n_{H_2O}\) = 0,3 →
\(m_{H_2O}\) = 5,4
→ Đáp án C
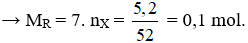
Câu 14: Hỗn hợp X gồm HCOOH, CH3COOH và C2H5COOH (tỉ lệ 5:1:1). Lấy 5,2 gam hỗn hợp X tác dụng với 5,75 gam C2H5OH (có H2SO4 đặc làm xúc tác) thu được m gam hỗn hợp este (hiệu suất phản ứng este hóa đều bằng 80%). Giá trị m là
A. 6,4.
B. 8,0.
C. 6,8.
D. 8,1.
Đáp ánCoi hỗn hợp X gồm HCOOH, CH3COOH và C2H5COOH (tỉ lệ 5:1:1) thành RCOOH

![]()
PTPƯ: RCOOH + C2H5OH ⇆ RCOOC2H5 + H2O.
Do nX = 0,1 mol <
\(n_{C_2H_5OH}\) = 0,125 mol.
→ neste = 0,1. 0,8 = 0,08 (mol)
→ meste = 0,08. (7 + 44 + 29) = 6,4 gam.
→ Đáp án A
Câu 15: Thực hiện phản ứng este hoá giữa axit axetic với 2 ancol no đơn chức là đồng đẳng kế tiếp nhau thu được hỗn hợp 2 este. Đốt cháy hoàn toàn 0,1 mol hỗn hợp 2 este đó thu được 10,08 lít CO2. Công thức cấu tạo của 2 ancol là
A. CH3OH và C2H5OH.
B. C2H5OH và CH3CH(OH)CH3.
C. C2H5OH và CH3CH2CH2OH.
D. n-C3H7OH và n-C4H9OH.
Đáp án
\(n_{CO_2}\) = 10,08/22,4 = 0,45 mol
Số C trung bình trong este:
\(n_{CO_2}\)/neste = 4,5
Như vậy, số C trung bình của 2 ancol là 4,5 - 2 = 2,5.
→ 2 ancol là C2H5OH và C3H7OH
→ Đáp án C
Câu 16: Để đốt cháy hoàn toàn 1 mol axit cacboxylic đơn chức X cần đủ 3,5 mol O2. Trộn 7,4 gam X với lượng đủ ancol no Y (biết tỉ khối hơi của Y so với O2 nhỏ hơn 2). Đun nóng hỗn hợp với H2SO4 làm xúc tác. Sau khi phản ứng hoàn toàn thu được 8,7 gam este Z (trong Z không còn nhóm chức nào khác). Công thức cấu tạo của Z là
A. C2H5COOCH2CH2OCOC2H5.
B. C2H3COOCH2CH2OCOC2H3.
C. CH3COOCH2CH2OCOCH3.
D. HCOOCH2CH2OCOH.
Đáp án![]()
![]()

nX = 0,1 mol.
Giả sử ancol a (a < 3) chức.
→ Meste = 87a → a = 2 → Meste = 174
→ C2H5COO – CH2 – CH2 – OOCC2H5.
→ Đáp ánA
Câu 17: Chia 0,6 mol hỗn hợp gồm một axit đơn chức và một ancol đơn chức thành 2 phần bằng nhau.
Phần 1: đốt cháy hoàn toàn, thu được 39,6 gam CO2.
Phần 2: đun nóng với H2SO4 đặc, thu được 10,2 gam este E (hiệu suất 100%). Đốt cháy hết lượng E, thu được 22,0 gam CO2 và 9,0 gam H2O.
Nếu biết số mol axit nhỏ hơn số mol ancol thì công thức của axit là
A. C3H7COOH.
B. CH3COOH.
C. C2H5COOH.
D. HCOOH.
Đáp ánPhần 2:
![]()
Gọi số C trong axit là a, trong ancol là b
Do số mol của axit nhỏ hơn ancol nên → nancol – naxit = 0,1 mol
Mặt khác, 
Như vậy, sau phản ứng ancol dư 0,1
Số CO2 chênh lệch giữa 2 phần chính là CO2 do ancol dư tạo ra
Số C trong ancol: 0,4/0,1 = 4 → C4H9OH
Như vậy, số C trong axit: (0,9 - 0,2.4)/0,1 = 1 → HCOOH
→ Đáp án D
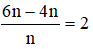
Câu 18: Đun nóng một axit đa chức X có chứa vòng benzen và có công thức là (C4H3O2)n (n < 4) với một lượng dư ancol Y đơn chức thu được este Z thuần chức có công thức (C6H7O2)m. Công thức ancol Y là
A. CH3OH.
B. C2H5OH.
C. CH2=CH-CH2OH.
D. C3H7OH.
Đáp ánDễ thấy, do este Z thuần chức nên số O trong este bằng số O trong axit, như vậy n = m
Số C của ancol: ![]()
Số H của ancol: ![]()
Do ancol đơn chức nên ancol là C2H5OH
→ Đáp án B
Câu 19: Este X được tạo ra từ ancol X1 đơn chức và axit X2 đa chức có công thức đơn giản là C2H3O2. Hãy cho biết có bao nhiêu chất thoả mãn?
A. 1
B. 2
C. 3
D. 4
Đáp ánGọi công thức là: C2nH3nO2n
Dễ thấy, n phải là số chẵn (n lẻ thì số H sẽ lẻ)
n = 2 → C4H6O4 → CH3OOC – COOCH3.
n = 4 → C8H12O8.
Chất này là este 4 chức: k = 3 < 4 → Loại
→ Đáp án A
Câu 20: X là este tạo từ 1 axit đơn chức và ancol 2 chức. X không tác dụng với Na. Thuỷ phân hoàn toàn 0,1 mol X bằng NaOH (vừa đủ) thu được hỗn hợp sản phẩm có tổng khối lượng là 21,2 gam. Có nhiêu este thoả mãn điều kiện đó?
A. 1.
B. 2.
C. 3.
D. 4.
Đáp ánnNaOH = 2nX = 0,2 mol
Bảo toàn khối lượng: mX = 21,2 – mNaOH = 13,2 → MX = 13,2/0,1 = 132 → C5H8O4
Các este thỏa mãn là:
CH2(OOCH) – CH(OOCH) – CH3
CH2(OOCH) – CH2 – CH2(OOCH)
→ Đáp án B
Câu 21: Cho 28,8 gam hỗn hợp X gồm ancol etylic và axit axetic tác dụng với Na dư thu được 6,16 lít H2 (đktc). Khi đun nóng 28,8 gam hỗn hợp X có H2SO4 đặc (xúc tác) thu được 17,6 gam este. Tính % về khối lượng mỗi chất trong X và hiệu suất của phản ứng este hóa?
A. 47,92% C2H5OH; 52,08% CH3COOH và hiệu suất 75%
B. 47,92% C2H5OH; 52,08% CH3COOH và hiệu suất 80%
C. 45,0% C2H5OH; 55,0% CH3COOH và hiệu suất 60%
D. 52,08% C2H5OH; 47,92% CH3COOH và hiệu suất 70%.
Đáp ánGọi số mol của C2H5OH và CH3COOH lần lượt là x, y
Ta có hệ 
CH3COOH + C2H5OH ⇆ CH3COOC2H5 + H2O
Vì
\(n_{CH_3COOH}\) <
\(n_{C_2H_5OH}\) nên hiệu suất được tính theo axit
Có neste = 0,2 mol → H = (0,2/0,25). 100% = 80%
\(\%m_{C_2H_5OH}\) = (0,3.46/28,8). 100% = 47,92%;
\(\%m_{CH_3COOH}\) = 52,08%
→ Đáp án B
Câu 22: Cho 13,8 gam glixerol phản ứng hoàn toàn với axit hữu cơ đơn chức B, chỉ thu được chất hữu cơ E có khối lượng bằng 1,18 lần khối lượng của glixerol ban đầu; hiệu suất phản ứng là 73,35%. Có bao nhiêu công thức cấu tạo phù hợp với E?
A. 3.
B. 4.
C. 2.
D. 5.
Đáp ánTrước hết phải tìm nhanh ra CTPT của E.
Ta có: mE = 1,18. 13,8 = 16,284 gam.
Có hiệu suất nên số mol glixerol phản ứng là:
(số mol E luôn bằng số mol glixerol phản ứng).
Vậy CTPT của E là: C5H8O5.
- TH1: E là este 2 lần axit HCOOH của glixerol (còn 1 nhóm - OH ancol).
Gọi gốc HCOO- là 1; HO- là 0 và C3H5- là gốc R thì ta có 2 CTCT thỏa mãn là: R-101 và R-110.
- TH2: E là este 1 lần axit C3H6O2 và còn 2 nhóm HO-
Tương tự, gọi gốc axit là 1, HO- là 0 và C3H5 là R ta có các CTCT là: R-100 và R-010.
Như vậy, tổng tất cả có 4 CTCT thỏa mãn phù hợp với E.
→ Đáp án B
Câu 23: Đun nóng hỗn hợp axit axetic và etylen glicol (số mol bằng nhau, có H2SO4 đặc xúc tác) thì thu được hỗn hợp X gồm 5 chất (trong đó có 2 chất chứa chức este E1 và E2,
\(M_{E_1}\) <
\(M_{E_2}\)). Lượng axit và ancol đã phản ứng lần lượt là 70% và 50% so với ban đầu. Thành phần % về khối lượng của E1 trong hỗn hợp X là
A. 51,656%.
B. 23,934%.
C. 28,519%.
D. 25,574%.
Đáp ánX gồm 5 chất: H2O, (CH3COO)(OH)C2H4 (E1), (CH3COO)2C2H4(E2), CH3COOH dư, C2H4(OH)2
Coi hỗn hợp ban đầu có:
\(n_{CH_3COOH}\) =
\(n_{C_2H_4(OH)_2}\) số mol axit phản ứng là 0,7mol và số mol acol phản ứng là 0,5mol
Gọi
\(n_{E_1}\) = a,
\(n_{E_2}\) = b
→ Ta có Hệ PT: 
mX = maxit + mancol = 60 + 62 = 122 gam
→ Đáp án D
Câu 24: Cho hỗn hợp X gồm 2 axit (no, đơn chức, đồng đẳng kế tiếp) và ancol etylic phản ứng hết với Na giải phóng ra 4,48 lít H2 (đktc). Mặt khác nếu đun nóng hỗn hợp X (có H2SO4 đậm đặc làm xúc tác) thì các chất trong hỗn hợp X phản ứng với nhau vừa đủ và tạo thành 16,2 gam hỗn hợp este (giả sử các phản ứng đều đạt hiệu suất 100%). Công thức của 2 axit lần lượt là
A. C6H13COOH và C7H15COOH.
B. CH3COOH và C2H5COOH.
C. C3H7COOH và C4H9COOH.
D. HCOOH và CH3COOH.
Đáp ánX:
\(n_{H_2}\) = 0,2 mol
Vì 2 chất phản ứng vừa đủ tạo este nên naxit = nancol = neste = 0,2 mol
→
\(M_{RCOOC_2H_5}\) = 16,2/02 = 81 → R = 8
→ HCOOH, CH3COOH
→ Đáp án D
Câu 25: Hỗn hợp X gồm axit axetic và etanol. Chia X thành ba phần bằng nhau:
• Phần 1 tác dụng với Kali dư thấy có 3,36 lít khí thoát ra.
• Phần 2 tác dụng với Na2CO3 dư thấy có 1,12 lít khí CO2 thoát ra. Các thể tích khí đo ở đktc.
• Phần 3 được thêm vào vài giọt dung dịch H2SO4, sau đó đun sôi hỗn hợp một thời gian. Biết hiệu suất của phản ứng este hoá bằng 60%. Khối lượng este tạo thành là
A. 8,80 gam.
B. 5,20 gam.
C. 10,56 gam.
D. 5,28 gam.
Đáp án
\(n_{CH_3COOH}\) = 3a mol;
\(n_{C_2H_5OH}\) = 3b mol.
- Phần 1:
\(n_{H_2}\) = 3,36/22,4 = 0,15 mol.
\(n_{CH_3COOH}\) +
\(n_{C_2H_5OH}\) = a + b = 0,15 × 2 = 0,3 mol.
- Phần 2:
\(n_{CO_2}\) = 1,12/2,24 = 0,05 mol.
\(n_{CH_3COOH}\) = a = 0,05.2 = 0,1 mol → b = 0,2 mol.
- Phần 3: CH3COOH + C2H5OH ⇆ CH3COOC2H5 + H2O.
→
\(m_{CH_3COOC_2H_5}\) = 0,1.88.(60/100) = 5,28g
→ Đáp án D
Câu 26: Cho hỗn hợp X gồm 1 ancol đơn chức no và 1 ancol đơn chức phân tử có 1 liên kết đôi, có khối lượng m gam. Khi nạp m gam hỗn hợp vào 1 bình kín Y dung tích 6 lít và cho X bay hơi ở 136,5oC. Khi X bay hơi hoàn toàn thì áp suất trong bình là 0,28 atm. Nếu cho m gam X este hóa với 45 gam axit axetic thì hiệu suất phản ứng đạt H%. Tổng khối lượng este thu được theo m và H là:
A. [(2m + 4,2)H]/100
B. [(1,5m + 3,15)H]/100
C. [(m + 2,1)H]/100
D. [(m + 3)H]/100.
Đáp án
Vậy, hiệu suất tính theo ancol.
Số mol ancol và axit phản ứng là 0,05.0,01H
→ Số mol H2O tạo thành cũng là 0,05.0,01H mol
Khối lượng este thu được là:
meste = m.0,01H + 0,05.0,01.H.60 – 0,01.0,05.H.18 = [(m + 2,1).H]/100
→ Đáp án C
Câu 27: Đun 0,08 mol hỗn hợp H gồm hai axit hữu cơ chức X, Y là đồng đẳng kế tiếp (MX < MY) với một lượng dư ancol metylic thu được 2,888 gam hỗn hợp este với hiệu suất 50% tính từ X và 40% tính từ Y. Công thức cấu tạo của X và Y lần lượt là
A. HCOOH và CH3COOH.
B. CH3COOH và CH3CH2COOH.
C. CH2=CHCOOH và CH2=C(CH3)COOH.
D. CH3CH2COOH và CH3CH2CH2COOH.
Đáp ánGọi phân tử khối của X là M thì của Y là M + 14 (M ≥ 46). ta có hệ phương trình:


Chặn khoảng giá trị của M ta có:
4(x + y)M + 112(x + y) < 28,88 (do Mx ≥ 46x) → M < 62,25
5(x + y)M + 66(x + y) > 28,88 (do - My ≤ - 46y) → M > 59.
Như vậy, chỉ duy nhất M = 60 ứng với axit axetic CH3COOH thỏa mãn → còn lại là C2H5COOH.
→ Đáp án B
Câu 28: Oxi hóa hoàn toàn anđehit C2H4(CHO)2 trong điều kiện thích hợp thu được hợp chất hữu cơ X. Đung nóng hỗn hợp gồm 1 mol X và 1 mol ancol metylic (xúc tác H2SO4 đặc) thu được 2 este với tỉ lệ khối lượng là 1,81. Biết chỉ có 72 % lượng ancol chuyển hóa thành este. Vậy số mol của hai este có thể là
A. 0,30 và 0,20.
B. 0,36 và 0,18.
C. 0,24 và 0,48.
D. 0,12 và 0,24.
Đáp ánnancol phản ứng = 0,72 mol
→ a + 2b = 0,72
→ a = 0,1685, b = 0,2757
→ Đáp án B
Câu 29: Cho 4 mol axit axetic tác dụng với hỗn hợp chứa 0,5 mol glixerol và 1 mol etylen glicol (xúc tác H2SO4). Tính khối lượng sản phẩm thu được ngoài nước biết rằng có 50% axit và 80% mỗi ancol phản ứng.
A. 170,4 g.
B. 176,5 g.
C. 156,7 g.
D. 312 g.
Đáp ánTa có cho axit axetic tác dụng với glixerol và etilenglicol tạo sản phẩm.
2CH3COOH + HO-CH2-CH2-OH → CH3COOCH2CH2OOCCH3 + 2H2O
3CH3COOH + HO-CH2-CH2-OH → HO-CH2CH2OOCCH3 + H2O → C3H5(OOCCH3)3 + 3H2O
2CH3COOH + HO-CH2-CH2-OH → C3H5(OH)(OOCCH3)2+ 2H2O
CH3COOH + C3H5(OH)3 → C3H5(OH)2(OOCCH3) + H2O
Nhận thấy
\(n_{H_2O}\) =
\(n_{CH_3COOH}\) phản ứng = 0,5. 4 = 2 mol
Bảo toàn khối lượng → msản phẩm = 2. 60 + 0,5. 0,8. 92 + 0,8.1. 62 - 2. 18 = 170,4 gam
→ Đáp án A
Câu 30: Thực hiện phản ứng este hoá giữa etilen glicol với một axit cacboxylic X thu được este có công thức phân tử là C8H10O4. Nếu cho 0,05 mol axit X phản ứng với 250 ml dung dịch KOH 0,16M. Cô cạn dung dịch sau phản ứng thu được chất rắn có giá trị m gam, m nhận giá trị nào sau đây:
A. 3,76 gam.
B. 3,80 gam.
C. 4,40 gam.
D. 5,12 gam.
Đáp ánXét este: π + v = (8.2 + 2 - 10)/2 = 4
Như vậy, axit là đơn chức và có 1 liên kết π trong mạch C.
Công thức X là: C2H3COOH
nKOH = 0,4 mol
Như vậy, dung dịch sau phản ứng với KOH chứa 0,04 mol muối và 0,01 mol axit dư.
Khi cô cạn: m = 0,04.110 = 4,4 gam.
→ Đáp án C
Câu 31: Hỗn hợp M gồm ancol no, đơn chức X và axit cacboxylic Y, đều mạch hở và có cùng số nguyên tử cacbon. Tổng số mol của hỗn hợp M là 0,5mol (số mol X nhỏ hơn số mol Y). Nếu đốt cháy hoàn toàn M thu được khí CO2 (đktc) và 25,2 gam H2O. Mặt khác, nếu đun nóng M với H2SO4 đặc để thực hiện phản ứng este hóa với hiệu suất là 75%. Khối lượng este thu được là
A. 22,80 gam.
B. 25,65 gam
C. 17,1 gam.
D. 18,24 gam.
Đáp ánTa có: 
⇒ Số C trong phân tử X và Y: 1,5/0,5 = 3
\(n_{CO_2}\)>
\(n_{H_2O}\) ⇒ axit Y là axit không no ⇒ Có hai trường hợp xảy ra
TH1:
⇒ a > b ⇒ TH1 loại
TH2:

C3H7OH + CH2=CH-COOH → CH2 = CH – COOC3H7 + H2O
→
\(n_{CH_2-CH-COOC_3H_7}\) =
\(n_{C_3H_7OH}\).75% = 0,2.75% = 0,15 mol
→
\(m_{CH_2-CH-COOC_3H_7}\) = 0,15. 144 = 17,1 g
→ Đáp án C
Câu 32: Este X được tạo thành từ etylen glicol và hai axit cacboxylic đơn chức. Trong phân tử este, số nguyên tử cacbon nhiều hơn số nguyên tử oxi là 1. Khi cho m gam X tác dụng với dung dịch NaOH (dư) thì lượng NaOH đã phản ứng là 10 gam. Giá trị của m là
A. 17,5.
B. 14,5.
C. 15,5.
D. 16,5.
Đáp ánGọi CTPT của X là R1COO-CH2CH2-OOCR2
Trong X thì số C nhiều hơn số O là 1 → Số C trong X là 5
nNaOH = 10/40 = 0,25 mol
→ X: HCOO-CH2CH2-OOCCH3
HCOO-CH2CH2-OOCCH3 (0,125) + 2NaOH (0,25) → HCOONa + CH3COONa + HOCH2CH2OH
→ mX = 0,125.132 = 16,5 gam.
→ Đáp án D
Câu 33: E là este của một axit đơn chức và ancol đơn chức. Để thủy phân hoàn toàn 6,6 gam chất E phải dùng 34,1 ml dung dịch NaOH 10% (d = 1,1 g/ml). Lượng NaOH này dùng dư 25% so với lượng NaOH phản ứng. Công thức cấu tạo đúng của E là:
A. CH3COOCH3
B. HCOOC3H7
C. CH3COOC2H5
D. Cả B và C đều đúng
Đáp ánTa có: mNaOH đem dùng = (34,1. 1,1. 10)/100 = 3,751 (gam)
mNaOH phản ứng = (3,751. 100)/(100 + 25) = 3 (gam)
→ ME = 88 gam → R + 44 + R’ = 88 → R + R’ = 44
- Khi R = 1 → R’ = 43 (C3H7) → CTCT (E): HCOOC3H7 (propyl fomiat)
- Khi R = 15 → R’ = 29 → CTCT (E): CH3COOC2H5 (etyl axetat)
→ Đáp án D
Câu 34: Có 2 este có đồng phân của nhau và đều do các axit no, đơn chức và rượu no, đơn chức tạo thành. Để xà phòng hóa 22,2 gam hỗn hợp 2 este nói trên phải dùng vừa hết 12gam NaOH nguyên chất. Công thức phân tử của 2 este là:
A. HCOOC2H5 và CH3COOCH3
B. C2H5COOCH3 và CH3COOCH3
C. CH3COOCH5 và HCOOC3H7
D. Không xác định được
Đáp ánCác phương trình phản ứng xà phòng hóa 2 este có dạng:
RCOOR’ + NaOH → RCOONa + R’OH
R’’COOR’’’ + NaOH → R’’COONa + R’’’OH
Hai este là đồng phân của nhau nên có cùng phân tử khối và có chung công thức tổng quát của este no đơn chức là CnH2nO2
Đặt x và y là mỗi số mol este trong 22,2 gam hỗn hợp
Tỉ lệ mol trong phương trình là 1 : 1 nên:
nNaOH = neste = x + y = 0, 3 mol
Mx + My = 22,2 hay M(x + y) = 22,2. Vậy M = 22,2/0,3 = 74
CnH2nO2 = 72 → n = 3. Công thức đơn giản của 2 este là C3H6O2
Có 2 đồng phân là: HCOOC2H5 và CH3COOCH3
→ Đáp án A
Câu 35: Este đơn chức X có tỉ khối hơi so với CH4 là 6,25. Cho 20 gam X tác dụng với 300 ml dung dịch KOH 1M (đun nóng). Cô cạn dung dịch sau phản ứng thu được 28 gam chất rắn khan. Công thức cấu tạo của X là
A. CH3-CH2-COO-CH=CH2.
B. CH2=CH-COO-CH2-CH3.
C. CH2=CH-CH2- COO -CH3.
D. CH3-COO-CH=CH-CH3.
Đáp án- Từ tỉ khối ta suy ra MX =100 → CTPT của este X đơn chức là C5H8O2
- Ta có: nX = 0,2 mol ; nKOH = 0,3 mol.
- Đặt CTTQ của X là: RCOOR’
- Tìm gốc R
+ Ta có: nKOH phản ứng = nRCOOH = nX = 0,2mol → nKOH dư = 0,1 mol mà
→ R là C2H5. Vậy công thức cấu tạo của X là CH3-CH2-COO-CH=CH2.
→ Đáp án A
Câu 36: Cho 21,8g chất hữu cơ A chỉ chứa 1 loại nhóm chức tác dụng với 1 lit dung dịch NaOH 0,5M thu được 24,6g muối của axit hữu cơ X và 0,1 mol ancol Y. Lượng NaOH dư có thể trung hòa hết 0,5 lit dung dịch HCl 0,4M. Tổng khối lượng mol của X và Y là:
A. 132
B. 152
C. 272
D. 174
Đáp ánnNaOH phản ứng = 0,5 - 0,5. 0,4 = 0,3 mol
→ nNaOH : nancol = 3 : 1 → Y là ancol ba chức.
Giả sử A là (RCOO)3R1
MRCOONa = MR + 67 = 82 → MR = 15 → R là CH3 → X là (CH3COO)3R1
MX = 59.3 + MR1 = 218 → MR1 = 41 → R1 là C3H5
Vậy X là CH3COONa, Y là C3H5(OH)3 → MX + MY = 82 + 92 = 174.
→ Đáp án D
Câu 37: Hỗn hợp X gồm axit stearic, axit panmitic và triglixerit của axit stearic, axit panmitic. Đốt cháy hoàn toàn m gam X, thu được 6,72 lít CO2 (đktc) và 5,22 gam H2O. Xà phòng hóa m gam X (hiệu suất = 90%), thu được a gam glixerol. Giá trị của a là
A. 0,414.
B. 1,242.
C. 0,828.
D. 0,460.
Đáp án
\(n_{CO_2}\) = 0,3 mol;
\(n_{H_2O}\) = 0,29 mol.
Vì một phân tử chất béo đề bài cho có 3 liên kết đôi
→ 2nchất béo =
\(n_{CO_2}\) -
\(n_{H_2O}\) = 0,01 mol → nglixerol = 0,005 mol
Với hiệu suất 90% có m = 0,005. 92. 90% = 0,414 gam
→ Đáp án A
Câu 38: Cho vào ống nghiệm 2 ml etyl axetat, sau đó thêm tiếp 1 ml dung dịch NaOH 30% quan sát hiện tượng (1); lắp ống sinh hàn đồng thời đun sôi nhẹ trong khoảng 5 phút, quan sát hiện tượng (2). Kết quả hai lần quan sát (1) và (2) lần lượt là
A. Sủi bọt khí, chất lỏng tách thành hai lớp.
B. Chất lỏng đồng nhất, chất lỏng tách thành hai lớp.
C. Chất lỏng tách thành hai lớp, chất lỏng đồng nhất.
D. Chất lỏng tách thành hai lớp, chất lỏng tách thành hai lớp.
Đáp ánBan đầu etyl axetat không tan trong nước nên tách thành 2 lớp.
Khi đun nóng lên có phương trình:
CH3COOC2H5 + NaOH → CH3COONa + C2H5OH
Cả 2 chất đều tan tốt trong nước nên thành chất lỏng đồng nhất.
→ Đáp án C
Câu 39: Cho các phản ứng:
(1) X + NaOH -to→ Y + Z
(2) Y + NaOH (rắn) -CaO, to→ CH4 + Y1
(3) CH4 -1500oC.11n→ Q + H2
(4) Q + H2O -to, xt→ Z
Dùng hóa chất gì để phân biệt X và metyl fomiat?
A. Quỳ tím.
B. Dung dịch Br2.
C. Dung dịch AgNO3/NH3.
D. Dung dịch AgNO3/NH3 hoặc dung dịch Br2
Đáp ánCH3COOCH=CH2 (X) + NaOH → CH3COONa (Y) + CH3CHO(Z)
CH3COONa + NaOH → CH4 + Na2CO3 (Y1)
CH4 -1500oC→ CH≡CH (Q)+ H2
CH≡CH + H2O → CH3CHO
metyl fomiat: HCOOCH3 tham gia phản ứng tráng bạc còn X thì không tham gia
→ Đáp án C
Câu 40: Cho sơ đồ chuyển hóa sau:
(1) C4H6O2 (M) + NaOH -to→ (A) + (B)
(2) (B) + AgNO3 + NH3 + H2O -to→ (F)↓ + Ag + NH4NO3
(3) (F) + NaOH -to→ (A)↑ + NH3 + H2O
Chất M là:
A. HCOO(CH2)=CH2.
B. CH3COOCH=CH2.
C. HCOOCH=CHCH3.
D. CH2=CHCOOCH3.
Đáp án- Các phản ứng xảy ra:
(1) CH3COOCH=CH2 (M) + NaOH -to→ CH3COONa (A) + CH3CHO (B)
(2) CH3CHO (B) + AgNO3 + NH3 -to→ CH3COONH4 (F) + Ag↓ + NH4NO3
(3) CH3COONH4 (F) + NaOH -to→ CH3COONa (A) + NH3 + H2O
→ Đáp án B
Mời các bạn tham khảo thêm các bài viết dưới đây của chúng tôi:- Bài tập tính khối lượng xà phòng
- Câu hỏi trắc nghiệm lý thuyết vai trò và ứng dụng của chất béo
- Câu hỏi trắc nghiệm lý thuyết về chất giặt rửa
- Dạng bài tập xác định chỉ số xà phòng hóa của chất béo
- Cách làm bài tập về chất béo
- Dạng bài tập về hiệu suất phản ứng Este hóa
- 150 câu trắc nghiệm Este Lipit có lời giải chi tiết (Cơ bản - phần 1)
- 150 câu trắc nghiệm Este Lipit có lời giải chi tiết (Cơ bản - phần 2)
- 150 câu trắc nghiệm Este Lipit có lời giải chi tiết (Cơ bản - phần 3)
- 150 câu trắc nghiệm Este Lipit có lời giải chi tiết (Cơ bản - phần 4)
Trên đây VnDoc đã giới thiệu tới các bạn 150 câu trắc nghiệm Este Lipit có lời giải chi tiết (Nâng cao - phần 1). Để có kết quả cao hơn trong học tập, VnDoc xin giới thiệu tới các bạn học sinh tài liệu Giải bài tập Toán lớp 12, Giải bài tập Hóa học lớp 12, Giải bài tập Vật Lí 12, Tài liệu học tập lớp 12 mà VnDoc tổng hợp và đăng tải.
Từ khóa » Bài Tập Nâng Cao Về Este
-
30 Bài Tập Este Nâng Cao Chọn Lọc, Có Lời Giải Chi Tiết
-
BÀI TẬP HÓA NÂNG CAO CHUYÊN ĐỀ ESTE (PHẦN 1) - YouTube
-
Bài Tập Este Hay Và Khó
-
50 Bài Toán Hay Và Khó Về Este đa Chức
-
ESTE NÂNG CAO - Tài Liệu - 123doc
-
Bài Tập Khó Môn Hóa Học - Phần: Este - Lipit Nâng Cao - .vn
-
30 Bài Tập Este Nâng Cao Chọn Lọc, Có Lời Giải Chi Tiết
-
Chuyên đề 17.1. Bài Tập Nâng Cao Về Rượu, Axit, Este (Phần 1)
-
Bài Tập Mức độ Vận Dụng Cao ESTE - LIPIT Có Lời Giải Chi Tiết
-
Các Dạng Bài Tập Este Trong đề Thi đại Học Và Phương Pháp Giải
-
Chương ESTE – LIPIT: Bài Tập Cơ Bản - Nâng Cao ôn Tập
-
Các Dạng Bài Tập Về Phản ứng Thủy Phân Este
-
Chuyên đề Este - Lipid Nâng Cao | Đề Thi & Tài Liệu Hóa Học