2 MgO (s) If 5.75 G Of Mg Is Reacted With 4.55 G Of O2 ... - Numerade

Nicole Smina verified This problem has been solved 100% free to try See Answer

Question

The balanced equation for the fermentation of glucose (C6H12O6) to form ethanol (C2H6O) and carbon dioxide is: C6H12O6 (aq) → 2C2H6O (aq) + 2CO2 (g) If 3.500 g of glucose reacts completely, how many grams of ethanol are produced? The formation of magnesium oxide (MgO) proceeds according to the following equation: 2Mg (s) + O2 (g) → 2MgO (s) If 5.75 g of Mg is reacted with 4.55 g of O2, how many grams of MgO will be produced? Carbon disulfide burns in the presence of oxygen to form carbon dioxide and sulfur dioxide: CS2 (l) + 3O2 (g) → CO2 (g) + 2SO2 (g) In an experiment, 27.8 g of CS2 was reacted completely. After the end of the reaction, 38.1 g of SO2 was collected. What was the percent yield of SO2 in this experiment? The double-displacement reaction between copper (II) nitrate and sodium hydroxide proceeds according to the equation shown below. Write the net ionic equation for this reaction. Cu(NO3)2 (aq) + 2NaOH (aq) → Cu(OH)2 (s) + 2NaNO3 (aq) A thin layer of silver will be deposited on a piece of copper that is placed in a solution of silver nitrate. The process occurs according to the following balanced chemical reaction: Cu (s) + 2AgNO3 (aq) → 2Ag (s) + Cu(NO3)2 (aq) a. Which element had its oxidation number decrease during the reaction? b. Which element was oxidized? The balanced equation for the fermentation of glucose (C6H12O6) to form ethanol (C2H6O) and carbon dioxide is: C6H12O6 (aq) → 2C2H6O (aq) + 2CO2 (g) If 3.500 g of glucose reacts completely, how many grams of ethanol are produced? The formation of magnesium oxide (MgO) proceeds according to the following equation: 2Mg (s) + O2 (g) → 2MgO (s) If 5.75 g of Mg is reacted with 4.55 g of O2, how many grams of MgO will be produced? Carbon disulfide burns in the presence of oxygen to form carbon dioxide and sulfur dioxide: CS2 (l) + 3O2 (g) → CO2 (g) + 2SO2 (g) In an experiment, 27.8 g of CS2 was reacted completely. After the end of the reaction, 38.1 g of SO2 was collected. What was the percent yield of SO2 in this experiment? The double-displacement reaction between copper (II) nitrate and sodium hydroxide proceeds according to the equation shown below. Write the net ionic equation for this reaction. Cu(NO3)2 (aq) + 2NaOH (aq) → Cu(OH)2 (s) + 2NaNO3 (aq) A thin layer of silver will be deposited on a piece of copper that is placed in a solution of silver nitrate. The process occurs according to the following balanced chemical reaction: Cu (s) + 2AgNO3 (aq) → 2Ag (s) + Cu(NO3)2 (aq) a. Which element had its oxidation number decrease during the reaction? b. Which element was oxidized? Show more…

Added by Jaime P.

Chemistry: Structure and Properties Chemistry: Structure and Properties Nivaldo Tro 2nd Edition

Step 1

Fermentation of glucose to form ethanol and carbon dioxide: C6H12O6 (aq) ----> 2C2H6O (aq) + 2CO2 (g) To find the grams of ethanol produced, first, we need to find the moles of glucose reacted: Moles of glucose = mass of glucose / molar mass of glucose Moles of Show more…

Show all steps

lock AceChat toggle button Close icon Ace pointing down

Please give Ace some feedback

Your feedback will help us improve your experience

Thumb up icon Thumb down icon Submit Thanks for your feedback! Profile picture The balanced equation for the fermentation of glucose (C6H12O6) to form ethanol (C2H6O) and carbon dioxide is: C6H12O6 (aq) → 2C2H6O (aq) + 2CO2 (g) If 3.500 g of glucose reacts completely, how many grams of ethanol are produced? The formation of magnesium oxide (MgO) proceeds according to the following equation: 2Mg (s) + O2 (g) → 2MgO (s) If 5.75 g of Mg is reacted with 4.55 g of O2, how many grams of MgO will be produced? Carbon disulfide burns in the presence of oxygen to form carbon dioxide and sulfur dioxide: CS2 (l) + 3O2 (g) → CO2 (g) + 2SO2 (g) In an experiment, 27.8 g of CS2 was reacted completely. After the end of the reaction, 38.1 g of SO2 was collected. What was the percent yield of SO2 in this experiment? The double-displacement reaction between copper (II) nitrate and sodium hydroxide proceeds according to the equation shown below. Write the net ionic equation for this reaction. Cu(NO3)2 (aq) + 2NaOH (aq) → Cu(OH)2 (s) + 2NaNO3 (aq) A thin layer of silver will be deposited on a piece of copper that is placed in a solution of silver nitrate. The process occurs according to the following balanced chemical reaction: Cu (s) + 2AgNO3 (aq) → 2Ag (s) + Cu(NO3)2 (aq) a. Which element had its oxidation number decrease during the reaction? b. Which element was oxidized? Close icon Play audio Feedback Upload button Send button Powered by NumerAI Ivan Kochetkov David Collins Jennifer Stoner verified

Nicole Smina and 51 other subject Chemistry 101 educators are ready to help you.

Ask a new question

*

Key Concepts

- Key Concept Premium Feature Explore the core concept behind this problem. View Video Play button View Video Key Concept Premium Feature Explore the core concept behind this problem. Your browser does not support the video tag. Close Try it Now *

Recommended Videos

- balance-the-following-equations-a-coho-i-02-g-co2-ho-b-cuzo-s-cuzs-s-cu-s-soz-g-c-na-s-hzo-naoh-aq-hz-g-glucose-cohizoo-along-with-02-is-product-that-is-produced-from-photosynthesis-of-plant-95578

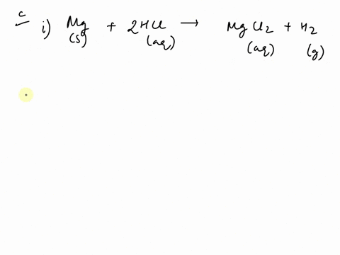
Balance the following equations: a) C6H6 (l) + O2 (g) -> CO2 + H2O b) Cu2O (s) + Cu2S (s) -> Cu (s) + SO2 (g) c) Na (s) + H2O (l) -> NaOH (aq) + H2 (g) 2. Glucose, C6H12O6, along with O2 is a product that is produced from photosynthesis of plants. How many grams of carbon are in 16.55 g of glucose? Hint: Determine the percent composition of carbon! Show work here or show work on separate sheet of paper and take a picture and then paste the picture below. 3. 24.3 g of magnesium solid reacts with 10.0 g of hydrochloric acid to produce magnesium chloride and hydrogen gas. Show work here or show work on separate sheet of paper and take a picture and then paste the picture below for each part. a) Write the balanced chemical equation. b) What is the limiting reactant? c) 12.8 g of magnesium chloride was produced after the reaction. What is the percent yield? d) How many grams of the nonlimiting reactant are left over? 4. The molar mass of a compound, which contains only phosphorous and oxygen, is 283.88 g/mol. The compound contains 43.64% P and 56.36% O. What is the molecular formula?

Madhur L.

question-what-mass-in-grams-of-silver-phosphate-ag3po4-s-can-be-produced-from-the-reaction-of-856-grams-of-silver-nitrate-agno3-aq-and-123-grams-of-sodium-phosphate-nazpo4-aq-note-sodium-nit-69943

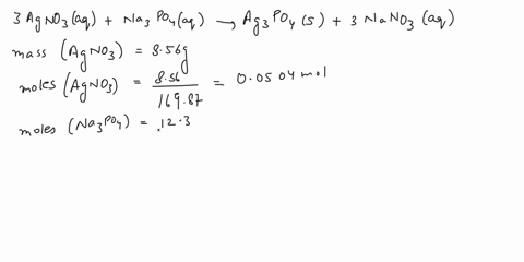
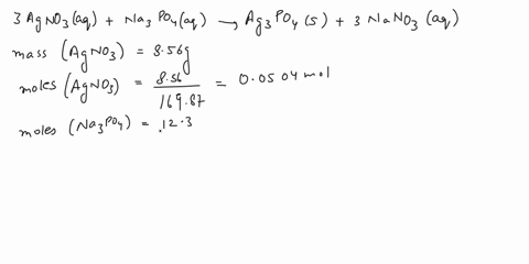
What mass in grams of silver phosphate (Ag3PO4 (s)) can be produced from the reaction of 8.56 grams of silver nitrate (AgNO3 (aq)) and 12.3 grams of sodium phosphate (Na3PO4 (aq))? (Note: Sodium nitrate (NaNO3 (aq)) is also a product of this reaction). Give your answer to 3 significant figures and do not include units. Which of the following is a combustion reaction? 2 H2O2 → 2 H2O + O2 HCl + NaOH → NaCl + H2O 2 C2H6 + 7 O2 → 4 CO2 + 6 H2O 2 C2H2 + 5 O2 → 4 CO2 + 2 H2O Potassium chlorate decomposes upon slight heating in the presence of a catalyst according to the reaction below: 2 KClO3(s) → 2 KCl(s) + 3 O2(g) In a certain experiment, 40.0 g KClO3 is heated until it completely decomposes. The experiment is performed and 13.9 g O2 is collected. What is the percent yield? Do not write the % sign.

Adi S.

question-what-mass-in-grams-of-silver-phosphate-ag3po4-s-can-be-produced-from-the-reaction-of-856-grams-of-silver-nitrate-agno3-aq-and-123-grams-of-sodium-phosphate-nazpo4-aq-note-sodium-nit-69943

What mass in grams of silver phosphate (Ag3PO4 (s)) can be produced from the reaction of 8.56 grams of silver nitrate (AgNO3 (aq)) and 12.3 grams of sodium phosphate (Na3PO4 (aq))? (Note: Sodium nitrate (NaNO3 (aq)) is also a product of this reaction). Give your answer to 3 significant figures and do not include units. Which of the following is a combustion reaction? 2 H2O2 → 2 H2O + O2 HCl + NaOH → NaCl + H2O 2 C2H6 + 7 O2 → 4 CO2 + 6 H2O 2 C2H2 + 5 O2 → 4 CO2 + 2 H2O Potassium chlorate decomposes upon slight heating in the presence of a catalyst according to the reaction below: 2 KClO3(s) → 2 KCl(s) + 3 O2(g) In a certain experiment, 40.0 g KClO3 is heated until it completely decomposes. The experiment is performed and 13.9 g O2 is collected. What is the percent yield? Do not write the % sign.

Adi S.

*

Recommended Textbooks

- Chemistry: Structure and Properties

Chemistry: Structure and Properties

Nivaldo Tro 2nd Edition achievement 1,066 solutions Chemistry The Central Science

Chemistry The Central Science

Theodore L. Brown 14th Edition achievement 1,069 solutions Chemistry

Chemistry

Steven S. Zumdahl, Susan A. Zumdahl, Donald J. DeCoste 10th Edition achievement 1,968 solutions Need help? Use Ace Ace is your personal tutor. It breaks down any question with clear steps so you can learn. Start Using Ace Ace is your personal tutor for learning Step-by-step explanations Instant summaries Summarize YouTube videos Understand textbook images or PDFs Study tools like quizzes and flashcards Listen to your notes as a podcast

What our educators say

25992 Students Helped in Chemistry 101 “Numerade has a great goal - to increase people's educational levels all around the world. Educators do not complete student's personal homework tasks. We create video tutorials that may be used for many years in the future.” Dr. Mei Lin Chen PhD in Chemistry 101

44601 Students Helped in Chemistry 101 "The format has forced me to think about what knowledge is needed by the student to solve a problem and present it concisely and understandably within the time constraint of the video." Dr. Emily Green PhD in Chemistry 101

30417 Students Helped in Chemistry 101 “Explaining topics while I make Numerade videos has helped me deepen my own understanding and come up with new ways to help my students grasp concepts while I'm teaching.” Professor Jonathan Reed Master's in Chemistry 101

Numerade Get step-by-step video solutionfrom top educators Start your free 7-day trial, Sign up now. Continue with Facebook Continue with Apple Continue with Clever or Name Email Password Create Account By creating an account, you agree to the Terms of Service and Privacy Policy Already have an account? Log In A free answerjust for you

Watch the video solution with this free unlock.

View the Answer Numerade

Log in to watch this video ...and 100,000,000 more!

EMAIL

PASSWORD

Log in OR Continue with Facebook Continue with Apple Continue with Clever Don't have an account? Sign Up

Từ khóa » C6h1206=c2h60+co2