20 Bộ đề Thi Học Kì 2 Môn Toán Lớp 11 Có đáp án
Có thể bạn quan tâm
Nâng cấp gói Pro để trải nghiệm website VnDoc.com KHÔNG quảng cáo, và tải file cực nhanh không chờ đợi.
Tìm hiểu thêm » Mua ngay Từ 79.000đ Hỗ trợ ZaloBộ đề thi học kì 2 môn Toán lớp 11
VnDoc.com mời các bạn học sinh lớp 11 tham khảo tài liệu: 20 bộ đề thi học kì 2 môn Toán lớp 11 có đáp án, với 20 bộ đề thi kèm theo lời giải chi tiết sẽ giúp các bạn học sinh rèn luyện giải bài tập Toán 11 hiệu quả hơn. Mời các bạn học sinh và thầy cô tham khảo chi tiết bài viết dưới đây nhé.
20 bộ đề thi học kì 2 môn Toán lớp 11 có đáp án
I. Phần chung cho cả hai ban
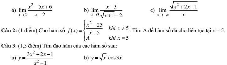
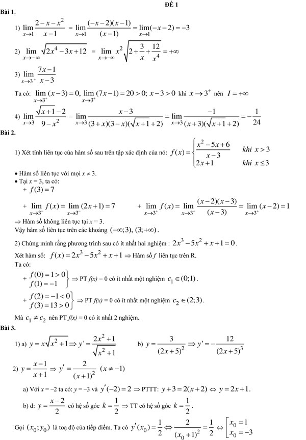
Bài 1. Tìm các giới hạn sau:

2. Cho hàm số
\(y\ =\ \frac{x-1}{x+1}\)
a) Viết phương trình tiếp tuyến của đồ thị hàm số tại điểm có hoành độ x = – 2.
b) Viết phương trình tiếp tuyến của đồ thị hàm số biết tiếp tuyến song song với d:
\(y\ =\ \frac{x-2}{2}\)
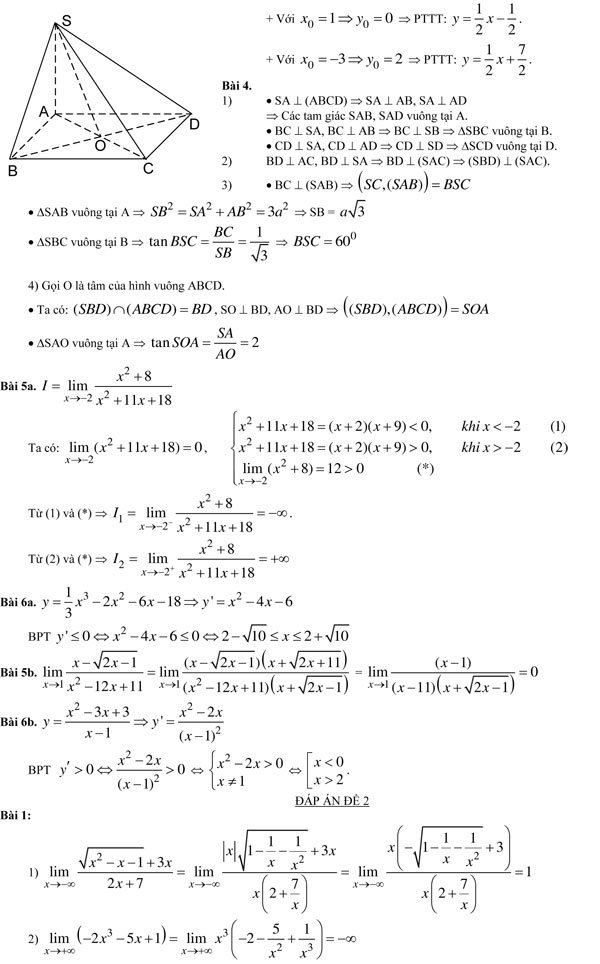
Bài 4. Cho hình chóp S.ABCD có đáy ABCD là hình vuông cạnh a, SA vuông góc với đáy, SA = a
\(\sqrt{2}\) .
1) Chứng minh rằng các mặt bên hình chóp là những tam giác vuông.
2) Chứng minh rằng: (SAC) ⊥ (SBD).
3) Tính góc giữa SC và mp (SAB).
4) Tính góc giữa hai mặt phẳng (SBD) và (ABCD).
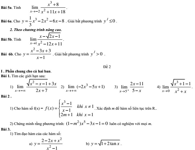
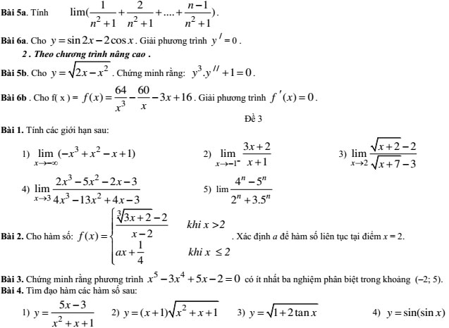
II . Phần tự chọn.
1 . Theo chương trình chuẩn.

2) Cho hàm số y = x4 - x2 + 3 (C). Viết phương trình tiếp tuyến của (C):
a) Tại điểm có tung độ bằng 3 .
b) Vuông góc với d: x + 2y - 3 = 0 .
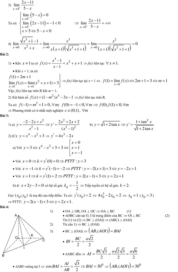
Bài 4. Cho tứ diện OABC có OA, OB, OC, đôi một vuông góc và OA = OB = OC = a, I là trung điểm BC
1) Chứng minh rằng: (OAI) ⊥ (ABC).
2) Chứng minh rằng: BC ⊥ (AOI).
3) Tính góc giữa AB và mặt phẳng (AOI).
4) Tính góc giữa các đường thẳng AI và OB.
I . Phần tự chọn.
1 . Theo chương trình chuẩn.

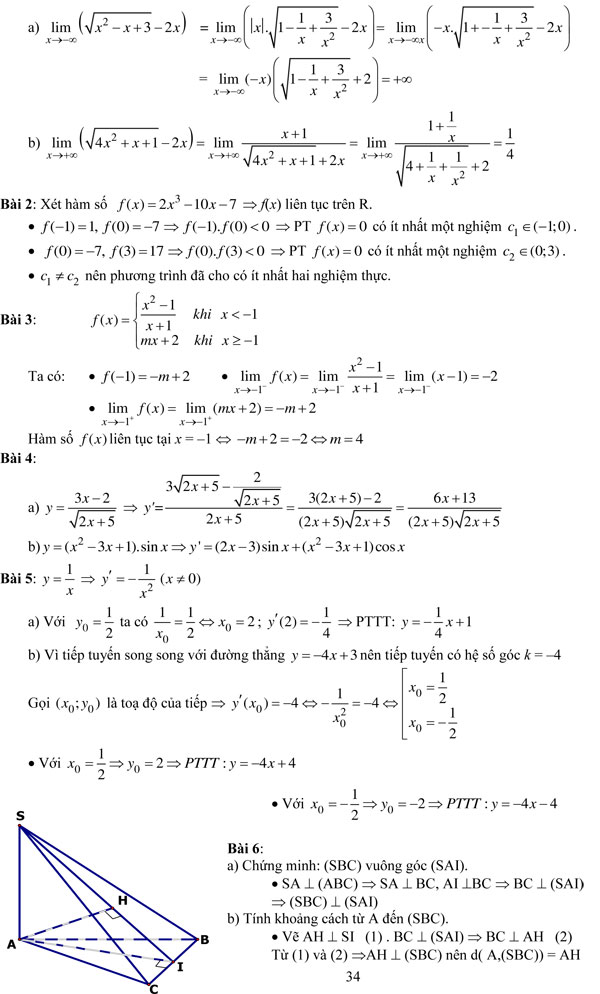
Bài 5. Cho hình chóp S.ABC có DABC vuông tại A, góc B = 600, AB = a; hai mặt bên (SAB) và (SBC) vuông góc với đáy; SB = a.
Hạ BH ⊥ SA (H ∈ SA); BK ⊥ SC (K ∈ SC).
1) Chứng minh: SB ⊥ (ABC).
2) Chứng minh: mp(BHK) ⊥ SC.
3) Chứng minh: DBHK vuông.
4) Tính cosin của góc tạo bởi SA và (BHK).


Bài 5. Cho hình chóp S.ABCD có đáy ABCD là hình vuông cạnh a, SA ⊥ (ABCD) và SA = 2a.
1) Chứng minh (SAC) ⊥ (SBD) ; (SCD) ⊥ (SAD)
2) Tính góc giữa SD và (ABCD); SB và (SAD); SB và (SAC).
3) Tính d(A, (SCD)); d(B,(SAC))
Bài 6. Viết phương trình tiếp tuyến của đồ thị hàm số y = x3 - 3x2 + 2:
1) Tại điểm M ( –1; –2)
2. Vuông góc với đường thẳng d:
\(y\ =\ -\frac{1}{9}x+2\)
Bài 7. Cho hàm số:
\(y\ =\ \frac{x^2+2x+2}{2}\). Chứng minh rằng: 2y.y'' -1 = y'2.
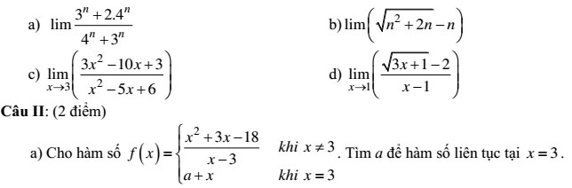
A. PHẦN CHUNG:
Bài 1: Tìm các giới hạn sau:

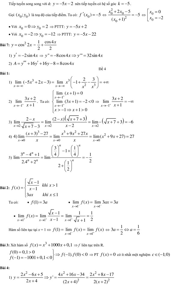
Bài 4: Cho hình chóp S. ABCD có đáy ABCD là hình thoi cạnh a, BAD = 600 và SA = SB = SD = a.
a) Chứng minh (SAC) vuông góc với (ABCD).
b) Chứng minh tam giác SAC vuông.
c) Tính khoảng cách từ S đến (ABCD).
A. PHẦN TỰ CHỌN:
1. Theo chương trình chuẩn
Bài 5a: Cho hàm số y = f (x) = 2x3 - 6x +1
Bài 4: Cho hình chóp S. ABCD có đáy ABCD là hình thoi cạnh a, BAD = 600 và SA = SB = SD = a.
a) Chứng minh (SAC) vuông góc với (ABCD).
b) Chứng minh tam giác SAC vuông.
c) Tính khoảng cách từ S đến (ABCD).
A. PHẦN TỰ CHỌN:
1. Theo chương trình chuẩn
Bài 5a: Cho hàm số y = f (x) = 2x3 - 6x +1 (1)
a) Tính f '(-5).
b) Viết phương trình tiếp tuyến của đồ thị hàm số (1) tại điểm Mo(0; 1)
c) Chứng minh phương trình f (x) = 0 có ít nhất một nghiệm nằm trong khoảng (–1; 1).
2. Theo chương trình Nâng cao

Bài 6b: Cho hàm số f (x) = 2x3 - 2x + 3 (C).
a) Viết phương trình tiếp tuyến của (C) biết tiếp tuyến song song với đường thẳng d: y = 22x + 2011
b) Viết phương trình tiếp tuyến của (C) biết tiếp tuyến vuông góc đường thẳng Δ: y = - 1/4 x + 2011
Đề 6
A. PHẦN CHUNG
Câu 1: Tìm các giới hạn sau:

B. PHẦN TỰ CHỌN:
1. Theo chương trình chuẩn
Câu 5a: Cho tam giác ABC vuông cân tại B, AB = BC=
\(a\sqrt{2}\) I là trung điểm cạnh AC, AM là đường cao của DSAB. Trên đường thẳng Ix vuông góc với mp(ABC) tại I, lấy điểm S sao cho IS = a.
a) Chứng minh AC ⊥ SB, SB ⊥ (AMC).
b) Xác định góc giữa đường thẳng SB và mp(ABC).
c) Xác định góc giữa đường thẳng SC và mp(AMC).
2. Theo chương trình nâng cao
Câu 5b: Cho hình chóp đều S.ABCD có cạnh đáy bằng a và cạnh bên bằng 2a. Gọi O là tâm của đáy ABCD.
a) Chứng minh rằng (SAC) ⊥ (SBD), (SBD) ⊥ (ABCD).
b) Tính khoảng cách từ điểm S đến mp(ABCD) và từ điểm O đến mp(SBC).
c) Dựng đường vuông góc chung và tính khoảng cách giữa hai đường thẳng chéo nhau BD và SC
Đề 7
I. PHẦN BẮT BUỘC:
Câu 1: Tính các giới hạn sau:

Câu 3 (1 điểm): Chứng minh rằng phương trình sau có ít nhất một nghiệm trên [0; 1]: x3 + 5x - 3 = 0 .
Câu 4 (1,5 điểm): Tính đạo hàm của các hàm số sau:
a) y = (x +1)(2x - 3)
b)
\(y\ =\ \sqrt{1\cos^2\frac{x}{2}}\)
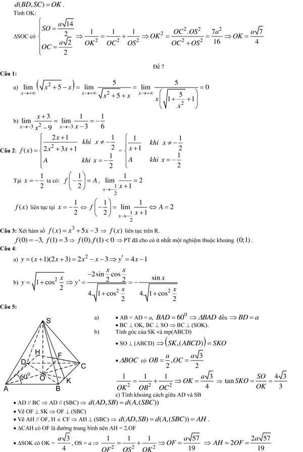
Câu 5 (2,5 điểm): Cho hình chóp S.ABCD có đáy ABCD là hình thoi tâm O cạnh a, BAD = 600, đường cao SO = a.
a) Gọi K là hình chiếu của O lên BC. Chứng minh rằng: BC ⊥ (SOK)
b) Tính góc giữa SK và mp(ABCD).
c) Tính khoảng cách giữa AD và SB.
I. PHẦN TỰ CHỌN
1. Theo chương trình chuẩn
Câu 6a (1,5 điểm): Cho hàm số: y = 2x3 - 7x +1 (C).
a) Viết phương trình tiếp tuyến của đồ thị (C) tại điểm có hoành độ x = 2.
b) Viết phương trình tiếp tuyến của đồ thị (C) có hệ số góc k = –1.
Câu 7a (1,5 điểm): Cho hình chóp tam giác S.ABC có đáy ABC là tam giác đều, SA ⊥ (ABC), SA= a. M là một điểm trên cạnh AB, ACM = j , hạ SH ⊥ CM.
a) Tìm quỹ tích điểm H khi M di động trên đoạn AB.
b) Hạ AK ⊥ SH. Tính SK và AH theo a và j.
2. Theo chương trình nâng cao
Câu 6b (1,5 điểm): Cho các đồ thị (P):
\(y\ =\ 1-x+\frac{x^2}{2}\) và (c)
\(y\ =\ 1-x+\frac{x^2}{2}-\ \frac{x^3}{6}\)
a) Chứng minh rằng (P) tiếp xúc với (C).
b) Viết phương trình tiếp tuyến chung của (P) và (C) tại tiếp điểm.
Câu 7b (1,5 điểm): Cho hình chóp S.ABCD có đáy ABCD là hình vuông tâm O, cạnh a; SA = SB = SC = SD = lượt là trung điểm BC và AD.
a) Chứng minh rằng: SO ⊥ (ABCD).
b) Chứng minh rằng: (SIJ) ⊥ (ABCD). Xác định góc giữa (SIJ) và (SBC).
c) Tính khoảng cách từ O đến (SBC).
Đề 8
I. Phần chung
Bài 1:
1) Tìm các giới hạn sau:

Bài 3: Cho tứ diện ABCD có tam giác ABC là tam giác đều cạnh a, AD vuông góc với BC, AD = a và khoảng cách từ điểm D đến đường thẳng BC là a . Gọi H là trung điểm BC, I là trung điểm AH.
1) Chứng minh rằng đường thẳng BC vuông góc với mặt phẳng (ADH) và DH = a.
2) Chứng minh rằng đường thẳng DI vuông góc với mặt phẳng (ABC).
3) Tính khoảng cách giữa AD và BC.
I. Phần tự chọn
A. Theo chương trình chuẩn
Bài 4a: Tính các giới hạn sau:

Bài 5a:
1) Chứng minh phương trình sau có 3 nghiệm phân biệt: 6x3 - 3x2 - 6x + 2 = 0.
2) Cho hình chóp tam giác đều có cạnh đáy và cạnh bên bằng a. Tính chiều cao hình chóp.
B. Theo chương trình nâng cao
Bài 4b: Tính giới hạn: lim x → +oo
\(\left(\sqrt{x+1}-\sqrt{\left(x\right)}\right)\)
Bài 5b:
1) Chứng minh phương trình sau luôn luôn có nghiệm: (m2 - 2m + 2)x3 + 3x - 3 = 0
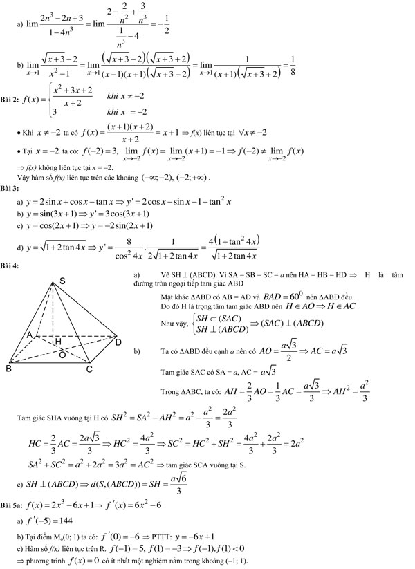
2) Cho hình chóp S.ABCD có đáy ABCD là hình vuông cạnh a, SA vuông góc (ABCD) và SA = a
\(\sqrt{3}\). Gọi (P) là mặt phẳng chứa AB và vuông góc (SCD). Thiết diên cắt bởi (P) và hình chóp là hình gì? Tính diện tích thiết diện đó.
Đề 9


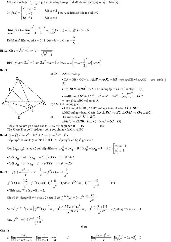
Bài 3: Cho tứ diện OABC có OA = OB = OC = a, AOB = AOC = 600, BOC = 900.
a) Chứng minh rằng ABC là tam giác vuông.
b) Chứng minh OA vuông góc BC.
c) Gọi I, J là trung điểm OA và BC. Chứng minh IJ là đoạn vuông góc chung OA và BC.
Bài 4: Cho y = f (x) = x3 - 3x2 + 2. Viết phương trình tiếp tuyến của đồ thị hàm số f(x) biết tiếp tuyến song song với d: y = 9x + 2011.
Bài 5: Cho
\(f\left(x\right)=\ \frac{x^2-1}{x}\). Tính f(x), với n ≥ 2
Đề 10
A. PHẦN BẮT BUỘC:
Câu 1: Tính các giới hạn sau:

Câu 3:
a) Viết phương trình tiếp tuyến của đồ thi hàm số y = x3 tại điểm có hoành độ x0 = -1 .
b) Tính đạo hàm của các hàm số sau:
y =
\(x\sqrt{1+x^{ }}\)
y = (2 - x2) cos x + 2x sin x
Câu 4: Cho hình chóp S.ABCD có SA ⊥ (ABCD) và ABCD là hình thang vuông tại A, B . AB = BC = a, ADC = 450 , SA = a
\(\sqrt{2}\)2.
a) Chứng minh các mặt bên của hình chóp là các tam giác vuông.
b) Tính góc giữa (SBC) và (ABCD).
c) Tính khoảng cách giữa AD và SC.
A. PHẦN TỰ CHỌN:
1. Theo chương trình chuẩn

Câu 7b 3: Cho tứ diện đều cạnh a. Tính khoảng cách giữa hai cạnh đối của tứ diện.
Đề 11
II. Phần bắt buộc

1) Tính đạo hàm cấp hai của hàm số y = tan x
2) Tính vi phân của ham số y = sinx.cosx
Câu 3: Cho hình chóp S.ABCD có đáy ABCD là hình vuông cạnh a, SA ⊥ (ABCD) và SA = a.
1) Chứng minh: BD ⊥ SC, (SBD) ⊥ (SAC).
2) Tính khoảng cách từ A đến mặt phẳng (SBD).
3) Tính góc giữa SC và (ABCD)
II. Phần tự chọn
1. Theo chương trình chuẩn
Câu 4a: Viết phương trình tiếp tuyến của đồ thị hàm số y = x - 1/x tại giao điểm của nó với trục hoành.
Câu 5a: Cho hàm số f(x) = 3x + 60/x - 64/x3 + 5. Giải phương trình f'(x) = 0.
Câu 6a: Cho hình lập phương ABCD.EFGH có cạnh bằng a . Tính AB→.EG→.
1. Theo chương trình nâng cao
Câu 4b: Tính vi phân và đạo hàm cấp hai của hàm số y = sin2x.cos2x.
Câu 5b: Cho y = x3/3 + x2/2 - 2x. Với giá trị nào của x thì y'(x) = -2.
Câu 6b: Cho hình lập phương ABCD.A’B’C’D’ có cạnh bằng a. Xác định đường vuông góc chung và tính khoảng cách của hai đường thẳng chéo nhau BD' và B'C.
Đề 12

a) Viết phương trình tiếp tuyến của (H) tại A(2; 3).
b) Viết phương trình tiếp tuyến của (H) biết tiếp tuyến song song với đường thẳng y = - 1/8 x + 5 .
Bài 6: Cho hình chóp S.ABCD có đáy ABCD là hình vuông cạnh a, SA = a, SA vuông góc với (ABCD). Gọi I, K là hình chiếu vuông góc của A lên SB, SD.
a) Chứng minh các mặt bên hình chóp là các tam giác vuông.
b) Chứng minh: (SAC) vuông góc(AIK).
c) Tính góc giữa SC và(SAB)
d) Tính khoảng cách từ A đến(SBD).
Đề 13

Bài 5: Cho đường cong (C): y = x3 - 3x2 + 2. Viết phương trình tiếp tuyến của (C):
a) Tại điểm có hoành độ bằng 2.
b) Biết tiếp tuyến vuông góc đường thẳng y = - 1/3 x +1.
Bài 6: Cho hình chóp S.ABCD có đáy ABCD là hình thoi tâm O cạnh a, OB =
\(a\sqrt{\frac{3}{3}}\), SO ⊥ (ABCD), SB = a
a) Chứng minh: DSAC vuông và SC vuông góc với BD.
b) Chứng minh: (SAD) ⊥ (SAB), (SCB) ⊥ (SCD).
c) Tính khoảng cách giữa SA và BD.
Đề 14
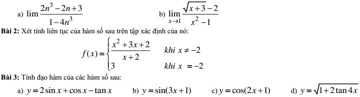
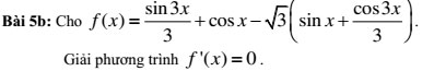
Bài 1: Tính các giới hạn sau:

Bài 5: Viết phương trình tiếp tuyến của đồ thị hàm số y = 1/x:
a) Tại điểm có tung độ bằng 1/2 .
b) Biết tiếp tuyến song song với đường thẳng y = - 4x + 3.
Bài 6: Cho tứ diện S.ABC có DABC đều cạnh a, SA ⊥ (ABC), SA = 3/2a. Gọi I là trung điểm BC.
a) Chứng minh: (SBC) vuông góc (SAI).
b) Tính khoảng cách từ A đến (SBC).
c) Tính góc giữa (SBC) và (ABC).
Đề 15
Bài 1: Tính các giới hạn sau:

a) Tại giao điểm của đồ thị và trục tung.
a) Biết tiếp tuyến song song với đường thẳng y = x + 2011.
Bài 6: Cho hình chóp S.ABCD có đáy ABCD là hình thoi tâm O cạnh a, BAD = 600, SO ⊥ (ABCD), SB = SD =
\(a\sqrt{\frac{3}{4}}\). Gọi E là trung điểm BC, F là trung điểm BE.
a) Chứng minh: (SOF) vuông góc (SBC).
b) Tính khoảng cách từ O và A đến (SBC).
c) Gọi (a) là mặt phẳng qua AD và vuông góc (SBC). Xác định thiết diện của hình chóp bị cắt bởi (a). Tính góc giữa (a) và (ABCD).
Đề 16
I. Phần chung Bài 1:
1) Tìm các giới hạn sau:

Bài 3: Cho tứ diện ABCD có tam giác ABC là tam giác đều cạnh a, AD vuông góc với BC, AD = a và khoảng cách từ điểm D đến đường thẳng BC là a. Gọi H là trung điểm BC, I là trung điểm AH.
1) Chứng minh rằng đường thẳng BC vuông góc với mặt phẳng (ADH) và DH = a.
2) Chứng minh rằng đường thẳng DI vuông góc với mặt phẳng (ABC).
3) Tính khoảng cách giữa AD và BC.
I. Phần tự chọn
A. Theo chương trình chuẩn
Bài 4a: Tính các giới hạn sau:

Bài 5a:
1) Chứng minh phương trình sau có 3 nghiệm phân biệt: 6x3 - 3x2 - 6x + 2 = 0.
2) Cho hình chóp tam giác đều có cạnh đáy và cạnh bên bằng a. Tính chiều cao hình chóp.
A. Theo chương trình nâng cao
Bài 4b: Tính giới hạn lim x→+oo (
\(\sqrt{x+1}-\sqrt{x}\))
Bài 5b:
1) Chứng minh phương trình sau luôn luôn có nghiệm: (m2 - 2m + 2)x3 + 3x - 3 = 0
2) Cho hình chóp S.ABCD có đáy ABCD là hình vuông cạnh a, SA vuông góc (ABCD) và SA =
\(a\sqrt{3}\).
Gọi (P) là mặt phẳng chứa AB và vuông góc (SCD). Thiết diên cắt bởi (P) và hình chóp là hình gì? Tính diện tích thiết diện đó.
Đề 17
I. Phần chung
Bài 1:

Bài 3: Cho hình chóp S.ABC có các mặt bên (SAB), (SAC) cùng vuông góc với (ABC), tam giác ABC vuông cân tại C. AC = a, SA = x.
a) Xác định và tính góc giữa SB và (ABC), SB và (SAC).
b) Chứng minh (SAC) ⊥ (SBC). Tính khoảng cách từ A đến (SBC).
c) Tinh khoảng cách từ O đến (SBC). (O là trung điểm của AB).
d) Xác định đường vuông góc chung của SB và AC
I. Phần tự chọn
A. Theo chương trình Chuẩn
Bài 4a:
1) Cho f (x) = x2 sin(x - 2). Tìm f'(2)
2) Viết thêm 3 số vào giữa hai số 1/2 và 8 để được cấp số cộng có 5 số hạng. Tính tổng các số hạng của cấp số cộng đó.
Bài 5a:
1) CMR phương trình sau có ít nhất 2 nghiệm: 2x3 -10x = 7.
2) Cho hình chóp tứ giác đều có cạnh đáy bằng a, cạnh bên hợp với đáy một góc 300. Tính chiều cao hình chóp.
A. Theo chương trình Nâng cao
Bài 4b:
1) Cho f (x) = sin 2x - 2sin x - 5 . Giải phương trình f'(x) = 0.
2) Cho 3 số a, b, c là 3 số hạng liên tiếp của cấp số nhân. Chứng minh rằng: (a2 + b2)(b2 + c2) = (ab + bc)2
Bài 5b:
1) Chứng minh rằng với mọi m phương trình sau luôn có ít nhất 2 nghiệm: (m2 +1)x4 - x3 = 1.
2) Cho hình lăng trụ tam giác đều ABC.A'B'C', có cạnh đáy bằng a, cạnh bên bằng a/2. Tính góc giữa 2 mặt phẳng (A'BC) và (ABC) và khoảng cách từ A đến mặt phẳng (A'BC).
Đề 18
I. PHẦN CHUNG (7 điểm)
Câu 1: (1,5 điểm) Tìm giới hạn của các hàm số sau:

Câu 4: (3 điểm) Cho hình chóp S.ABC có đáy ABC là tam giác vuông tại B và có SA vuông góc với mặt phẳng (ABC).
a) Chứng minh: BC ⊥ (SAB).
b) Giả sử SA = a và AB = a, tính góc giữa đường thẳng SB và mặt phẳng (ABC).
c) Gọi AM là đường cao của DSAB, N là điểm thuộc cạnh SC. Chứng minh: (AMN) ⊥ (SBC).
I. PHẦN RIÊNG (3 điểm). Thí sinh chỉ được chọn một trong hai phần.
Phần A: (theo chương trình chuẩn)
Câu 5a: (1 điểm) Chứng minh rằng phương trình x5 - 3x4 + 5x - 2 = 0 có ít nhất ba nghiệm nằm trong khoảng (–2; 5).
Câu 6a: (2 điểm) Cho hàm số y = 4/3x3 + x2/2 - 5x
a) Tìm x sao cho y' > 0 .
a) Viết phương trình tiếp tuyến của (C) tại điểm có hoành độ x = 0.
Phần B: (theo chương trình nâng cao)
Câu 5b: (1 điểm) Chứng minh rằng phương trình 2x3 - 6x +1 = 0 có ít nhát hai nghiệm.
Câu 6b: (2 điểm) Cho hàm số y = 4x3 - 6x2 +1 có đồ thị (C).
a) Tìm x sao cho y' ≤ 24 .
b) Viết phương trình tiếp tuyến của (C), biết tiếp tuyến đi qua điểm A(–1; –9).
Đề 19
A. Phần chung: (8 điểm)
Câu 1: (2 điểm). Tìm các giới hạn sau:

1) Chứng minh rằng: mặt phẳng (SAB) vuông góc với mặt phẳng (SBC).
2) Tính khoảng cách từ A đến đường thẳng SC.
3) Tính góc giữa mặt phẳng (SBD) với mặt phẳng (ABCD).
A. Phần riêng: (2 điểm)
Câu Va: Dành cho học sinh học chương trình Chuẩn
Cho hàm số: y = x3 - 3x2 + 2x + 2.
1) Giải bất phương trình y' ≥ 2.
2) Viết phương trình tiếp tuyến của đồ thị hàm số, biết tiếp tuyến đó song song với đường thẳng d: x + y + 50 = 0.
Câu Vb: Dành cho học sinh học chương trình Nâng cao
1) Tìm 5 số hạng của một cấp số nhân gồm 5 số hạng, biết u3 = 3 và u5 = 27.
2) Tìm a để phương trình f'(x) = 0, biết rằng f (x) = a.cos x + 2sin x - 3x +1.
Đề 20
A. Phần chung: (7 điểm)
Câu I: (2 điểm). Tính các giới hạn sau:

b) Chứng minh rằng phương trình x3 + 3x2 - 4x - 7 = 0 có ít nhất một nghiệm trong khoảng (–4; 0).
Câu III: (3 điểm). Cho hình chóp S.ABCD có đáy ABCD là hình vuông tâm O cạnh a, SA = SB = SC = SD = 2a. Gọi M, N lần lượt là trung điểm của BC và SO. Kẻ OP vuông góc với SA.
a) CMR: SO ⊥ (ABCD), SA ⊥ (PBD).
b) CMR: MN ⊥ AD.
c) Tính góc giữa SA và mp (ABCD).
d) CMR: 3 vec tơ BD→, SC→, MN→ đồng phẳng.
A. Phần riêng. (3 điểm)
b Dành cho học sinh học theo chương trình chuẩn.
a) Cho hàm số f (x) = x3 - 3x + 4. Lập phương trình tiếp tuyến của đồ thị hàm số tại điểm M(1; 2).
b) Tìm đạo hàm của hàm số y = sin2 x.
Câu IVb: Dành cho học sinh học theo chương trình nâng cao.
a) Cho hàm số f (x) = x3 + 3x - 4. Lập phương trình tiếp tuyến của đồ thị hàm số biết rằng tiếp tuyến đó đi qua điểm M(1; 0).
b) Tìm đạo hàm của hàm số y = sin(cos(5x3 - 4x + 6)2011)
ĐÁP ÁN

































Trên đây VnDoc.com vừa gửi tới bạn đọc bài viết 20 bộ đề thi học kì 2 môn Toán lớp 11 có đáp án. Bài viết đã gửi tới bạn đọc những đề thi học kì 2 lớp 11 môn Toán có đáp án kèm theo. Mong rằng qua bài viết bạn đọc có thêm nhiều tài liệu để học tập tốt hơn môn Toán lớp 11 nhé.
- 20 bộ đề thi học kì 1 môn Toán lớp 11
- Bộ đề thi học kì 2 môn Toán lớp 11 trường THPT chuyên Lương Thế Vinh, Đồng Nai năm học 2016 - 2017
- Bộ đề thi học kì 1 môn Toán lớp 11 năm học 2016 - 2017
Từ khóa » Toán Lớp 11 Học Kì 2
-
Đề Thi Học Kì 2 Lớp 11 Môn Toán Có Đáp Án Sở GD&ĐT Quảng Nam
-
Sổ Tay Tra Cứu Nhanh Kiến Thức Môn Toán 11 Học Kì 2
-
Đề Thi Học Kì 2 Lớp 11 Môn Toán - Mới Nhất
-
Đề ôn Tập Học Kì 2 Toán Lớp 11 Có đáp án Và Lời Giải Chi Tiết
-
Đề Thi Toán Lớp 11 Học Kì 2 Năm 2021 - 2022 Có đáp án (40 đề)
-
Top 28 Đề Thi Toán Lớp 11 Học Kì 2 Chọn Lọc, Có đáp án
-
Đề Thi HK2 Toán 11
-
ÔN TẬP CUỐI HỌC KÌ 2 - TOÁN 11- ĐỀ SỐ 1 - Thầy Nguyễn Quốc Chí
-
Đề Cương ôn Tập Học Kì 2 - Môn Toán Lớp 11 - Phần Lý Thuyết
-
20 đề Thi Học Kì 2 Lớp 11 Môn Toán Tự Luận Có đáp án Chi Tiết
-
Đề Cương ôn Tập Học Kì 2 Toán Lớp 11
-
Đề Thi Học Kì 2 Lớp 11 Môn Toán - Thi.
-
Đề Thi Học Kì 2 Toán 11 Trắc Nghiệm Có đáp án - MathVn.Com
-
Đề Thi Học Kì 2 Lớp 11 Môn Toán