20 đề ôn Luyện Học Sinh Giỏi Môn Toán Lớp 1 Có đáp án
Có thể bạn quan tâm
Đây là tài liệu Cao cấp - Chỉ dành cho Thành viên VnDoc ProPlus.
- Tải tất cả tài liệu lớp 1 (Trừ Giáo án, bài giảng)
- Trắc nghiệm không giới hạn
20 đề ôn luyện học sinh giỏi môn Toán lớp 1 là tài liệu ôn thi môn Toán lớp 1 rất hay dành cho các em đang tham gia bồi dưỡng học sinh giỏi Toán lớp 1. Các thầy cô giáo cùng các bậc phụ huynh có thể lưu lại bộ đề thi ôn thi học sinh giỏi Toán 1 được VnDoc.com đăng tải dưới đây rất đầy đủ, có đáp án kèm theo chi tiết.
Lưu ý: Tài liệu này dài 40 trang.
Bộ đề ôn thi học sinh giỏi Toán lớp 1
- Đề luyện thi học sinh giỏi Toán - Đề số 1
- Đề luyện thi học sinh giỏi Toán - Đề số 2
- Đề luyện thi học sinh giỏi Toán - Đề số 3
HOT: Đề Trắc nghiệm luyện thi học sinh giỏi môn Toán lớp 1:
➨ Đề luyện thi học sinh giỏi lớp 1 môn Toán - Đề 1
➨ Đề luyện thi học sinh giỏi lớp 1 môn Toán - Đề 2
➨ Đề luyện thi học sinh giỏi lớp 1 môn Toán - Đề 3
Đề luyện thi học sinh giỏi Toán - Đề số 1
Bài 1. Điền số thích hợp vào ô trống
14 + □ = 68
□ - 36 = 52
Bài 2. Điền dấu (+, -) thích hợp vào chỗ ....
12 ... 8.... 4 = 24
88 .... 23 .... 4 = 69
40 .....32 = 72
75 .....12.....2 = 61
Bài 3. Nếu thêm 13 viên bi thì Hùng sẽ có 58 viên bi. Hỏi trước đó Hùng có bao nhiêu viên bi?
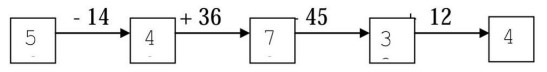
Bài 4. Số

Bài 5. Hai sợi dây dài tất cả 16 xăng-ti-mét. Sợi dây thứ nhất dài 5 xăng ti mét. Hỏi sợi dây thứ hai dài bao nhiêu xăng ti mét?
Bài 6.
Hình vẽ dưới đây có bao nhiêu tam giác. Khoanh vào ý đúng.

A. 3 hình tam giác
B. 4 hình tam giác
C. 5 hình tam giác
D. 6 hình tam giác
ĐÁP ÁN:
Bài 1. Điền số thích hợp vào ô trống
14 + 54 = 68
88 - 36 = 52
Bài 2. Điền dấu (+, -) thích hợp vào chỗ ....
12 + 8 + 4 = 24
88 - 23 + 4 = 69
40 + 32 = 72
75 - 12 - 2 = 61
Bài 3. Nếu thêm 13 viên bi thì Hùng sẽ có 58 viên bi. Hỏi trước đó Hùng có bao nhiêu viên bi?
Trước lúc thêm Hùng có là: 58 - 13 = 45 (viên bi)
Đáp số: 45 viên bi
Bài 4. Số

Bài 5. Hai sợi dây dài tất cả 16 xăng-ti-mét. Sợi dây thứ nhất dài 5 xăng ti mét. Hỏi sợi dây thứ hai dài bao nhiêu xăng ti mét?
Sợi thứ hai dài là: 16 - 5 = 11 (cm)
Đáp số: 11 cm
Bài 6.
Hình vẽ dưới đây có bao nhiêu tam giác. Khoanh vào ý đúng.

Khoanh vào D. 6 hình tam giác
Đề luyện thi học sinh giỏi Toán - Đề số 2
Bài 1. Tính
8 - 2 + 3 =
10 - 2 + 0 =
5 + 5 - 8 =
7 + 2 - 5 =
9 - 5 + 3
6 + 0 + 3 =
Bài 2. Số?
5 + .... = 2 + 5
7 - .... = 3 + 4
1 + ..... = .... + 3
8 - ..... > .... + 2
2 + .... = 3 +.....
10 - .... = 5 + .....
Bài 3. Viết phép tính thích hợp
| = | 9 |
| = | 5 |
Bài 4. (>;<; =)
5 + 4 .... 3 + 5 + 0
7 - 5 .... 6 - 4 + 3
1 + 5 + 2 .... 6 + 3
2 + 6 - 1 .... 4 + 3
Bài 5. Số?
Hình bên có .... hình tam giác
Hình bên có .... hình vuông

ĐÁP ÁN:
Bài 1. Tính
8 - 2 + 3 = 9
10 - 2 + 0 = 8
5 + 5 - 8 = 2
7 + 2 - 5 = 4
9 - 5 + 3 = 7
6 + 0 + 3 = 9
Bài 2. Số?
5 + 2 = 2 + 5
7 - 0 = 3 + 4
1 + 2 = 0 + 3
8 - 1 > 3 + 2
2 + 3 = 3 + 2
10 - 5 = 5 + 0
Bài 3. Viết phép tính thích hợp
| 5 | + | 4 | = | 9 |
| 9 | - | 4 | = | 5 |
Bài 4. (>;<; =)
5 + 4 > 3 + 5 + 0
7 - 5 < 6 - 4 + 3
1 + 5 + 2 < 6 + 3
2 + 6 - 1 = 4 + 3
Bài 5. Số?
Hình bên có 7 hình tam giác
Hình bên có 1 hình vuông

Đề luyện thi học sinh giỏi Toán - Đề số 3
Bài 1 (1 điểm): Em hãy ghi lại các số có hai chữ số khác nhau vào dòng dưới đây:
...........;...........;...........;...........;...........;...........;...........;...........;...........;...........;
Số lớn nhất có hai chữ số giống nhau là:.......................................................
Bài 2 (2 điểm): Điền dấu cộng (+) hoặc dấu trừ (-) vào chỗ chấm (.....) ở dòng sau để có phép tính đúng.
1.......1.......1.......1.......1.......1 = 6
1.......1.......1.......1.......1.......1 = 4
1.......1.......1.......1.......1.......1 = 2
1.......1.......1.......1.......1.......1 = 0
Bài 3 (2 điểm): Tính (theo mẫu)
Mẫu: 3 + 6 + 7 + 4 = (3 + 7) + (6 + 4)
= 10 + 10
= 20
9 + 7 + 3 + 1 =...........................
=...........................
Bài 4 (3 điểm): Bình hỏi Minh: “Năm nay chị bạn bao nhiêu tuổi?” Minh đáp: “Tuổi mình nhiều hơn 5 tuổi nhưng ít hơn 7 tuổi. Mình kém chị mình 4 tuổi.” Hỏi chị của bạn Minh năm nay bao nhiêu tuổi?
Bài 5 (2 điểm): Hình bên có bao nhiêu hình tứ giác:
....................................................................................................

Tải về để lấy trọn bộ 20 đề ôn luyện học sinh giỏi môn Toán lớp 1.
Từ khóa » Một Số Bài Toán Lớp 1 Nâng Cao
-
Đề ôn Tập Môn Toán Nâng Cao Lớp 1
-
50 Bài Tập Toán Lớp 1 Cơ Bản Và Nâng Cao File Word
-
30 Bài Tập Bồi Dưỡng Toán Nâng Cao Lớp 1 - Abcdonline
-
Tổng Hợp Các Dạng Bài Tập Toán Lớp 1 Từ Cơ Bản đến Nâng Cao Có ...
-
20 Bài Toán Nâng Cao Lớp 1 - Trường Quốc Học
-
Bản Mềm: 29 Bài Toán Nâng Cao Lớp 1 - Giáo Viên Việt Nam
-
500 Bài Toán Cơ Bản Và Nâng Cao Lớp 1 - Giáo Viên Việt Nam
-
100+ Đề Thi Toán Lớp 1 Nâng Cao Có đáp án
-
Các Dạng Toán Lớp 1 Nâng Cao
-
Các Bài Toán Nâng Cao Lớp 1
-
Các Dạng Bài Toán Nâng Cao Lớp 1 - Tăng Khả Năng Tư Duy Của Bé
-
Bài Tập Cơ Bản Và Nâng Cao Toán Lớp 1
-
Đề ôn Tập Môn Toán Nâng Cao Lớp 1
-
Top 9 Toán Cơ Bản Và Nâng Cao Lớp 1 2022