3. (d) Pha Loãng Dung Dịch H2SO4 PH = 3 Ra 100 Lần. %3D (e) Trộn ...
Có thể bạn quan tâm


Tìm kiếm với hình ảnh
Vui lòng chỉ chọn một câu hỏi
Tìm đáp án
Đăng nhập- |
- Đăng ký


Hoidap247.com Nhanh chóng, chính xác
Hãy đăng nhập hoặc tạo tài khoản miễn phí!
Đăng nhậpĐăng ký

Lưu vào
+
Danh mục mới


- nguyenthuyoanh

- Chưa có nhóm
- Trả lời
87
- Điểm
534
- Cảm ơn
64
- Hóa Học
- Lớp 11
- 10 điểm
- nguyenthuyoanh - 11:31:20 27/07/2020



- Hỏi chi tiết
Báo vi phạm
Hãy luôn nhớ cảm ơn và vote 5* nếu câu trả lời hữu ích nhé!
TRẢ LỜI
- nguyencongdinhdhy

- Chưa có nhóm
- Trả lời
12927
- Điểm
54577
- Cảm ơn
4278
- nguyencongdinhdhy
- 12/07/2022
Đây là một chuyên gia không còn hoạt độngĐây là câu trả lời đã được xác thực
Câu trả lời được xác thực chứa thông tin chính xác và đáng tin cậy, được xác nhận hoặc trả lời bởi các chuyên gia, giáo viên hàng đầu của chúng tôi.
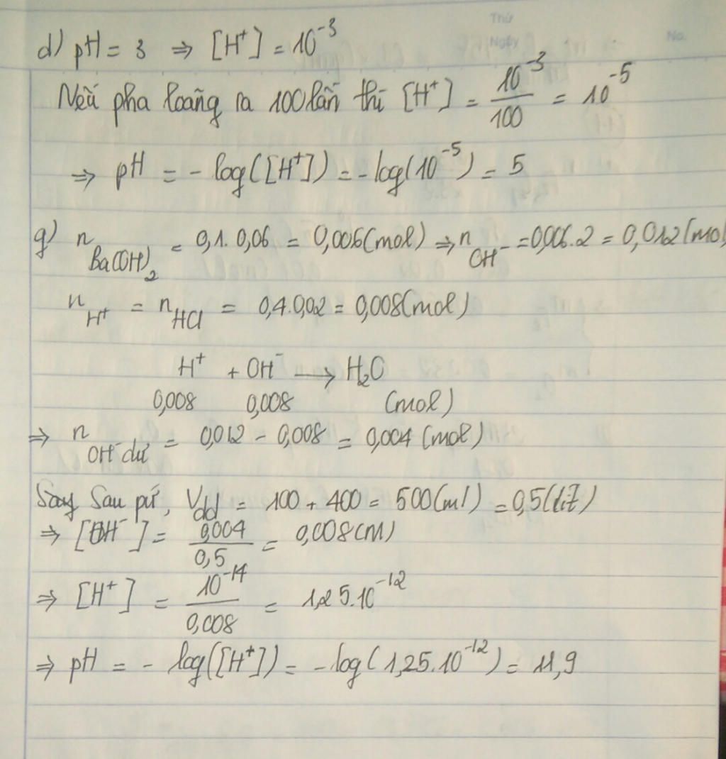
`d)`
`pH = 3 → [H^{+}]= 10^{-3}(M)`
Pha loãng ra `100` lần:
`[H^{+}] = {10^{-3}}/{100} = 10^{-5}(M)`
`pH = -log(10^{-5}) = 5`
`g)`
`n_{Ba(OH)_2} = {100}/{1000} .0,06 = 0,006(mol)`
`→ n_{OH^{-}} = 0,012(mol)`
`n_{HCl} = {400}/{1000}. 0,02 = 0,008(mol)`
`→ n_{H^{+}} = 0,008(mol)`
`H^{+} + OH^{-} → H_2O`
`0,008 → 0,008(mol)`
`n_{H^{+}} < n_{OH^{-}}`
`→ OH^{-}` dư
`V = 400 + 100 = 500(ml) = 0,5(l)`
`[OH^{-}] = {0,012- 0,008}/{0,5} = 0,008(M)`
`[OH^{-}][H^{+}] = 10^{-14}`
`→ [H^{+}]= {10^{-14}}/{0,008} = 1,25 . 10^{-12}(M)`
`pH = -log(1,25 . 10^{-12}) = 11,9`
Hãy giúp mọi người biết câu trả lời này thế nào?
starstarstarstarstarstarstarstarstarstarstarstarstarstarstarstarstarstarstarstarstarstarstarstarstarstarstarstarstarstar5starstarstarstarstar4 voteGửiHủy
Cảm ơn 5


- nguyenhuymanh

- Chưa có nhóm
- Trả lời
6724
- Điểm
127640
- Cảm ơn
5455
- nguyenhuymanh
- 27/07/2020

Đáp án:
Giải thích các bước giải:

Hãy giúp mọi người biết câu trả lời này thế nào?

Cảm ơn 2
Báo vi phạm
Bạn muốn hỏi điều gì?
Tham Gia Group Dành Cho Lớp 11 Chia Sẻ, Trao Đổi Tài Liệu Miễn Phí

Bảng tin
Bạn muốn hỏi điều gì?
Lý do báo cáo vi phạm?
Gửi yêu cầu Hủy

Cơ quan chủ quản: Công ty Cổ phần Công nghệ Giáo dục Thành Phát
Tải ứng dụng


- Hướng dẫn sử dụng
- Điều khoản sử dụng
- Nội quy hoidap247
- Góp ý
Inbox: m.me/hoidap247online
Trụ sở: Tầng 7, Tòa Intracom, số 82 Dịch Vọng Hậu, Cầu Giấy, Hà Nội.
Từ khóa » Pha Loãng Dung Dịch H2so4 Ph=3 Ra 100 Lần
-
Pha Loãng Dung Dịch H2so4 Ph=3 Ra 100 Lần - Xây Nhà
-
Dung Dịch HCl Có PH = 3 Cần Pha Loãng 100 Lần Thì PH ... - Hàng Hiệu
-
Pha Loãng Dung Dịch Bằng Nước 100 Lần Sẽ Thu được ... - Hoc247
-
Một Dung Dịch NaOh Có PH= 13. Pha Loãng Dung Dịch Bằng Nước ...
-
Dung Dịch H2 So4 Có PH=2 Cần Pha Loãng Bao Nhiêu Lần Thì Thư ...
-
Người Ta Pha Loãng Dung Dịch H2SO4 Có PH ... - Trắc Nghiệm Online
-
Người Ta Pha Loãng Dung Dịch H2SO4 Có PH = 1 Bằng ...
-
Một Dung Dịch HCl Có PH = 2, Cần Phải Pha Loãng Dung ...
-
Cần Pha Loãng Bao Nhiêu Lần Mỗi Dd Sau A H2so4 Có Ph 2 để được ...
-
Để Trung Hoà 100ml Dung Dịch H2SO4 Cần 100ml Dung Dịch NaOH ...
-
Trộn 300 Ml H2SO4 Có PH = 2 Với 200 Ml H2SO4 Có PH = 3 Thì PH Của
-
Dung Dịch HNO3 Có PH = 3. Cần Pha Loãng Dung Dịch Trên ...
-
Xác định PH Của Dung Dịch Sau Khi Trộn