40 Đề Thi Giữa Học Kì 1 Lớp 8 Môn Toán
Có thể bạn quan tâm
Đây là tài liệu Cao cấp - Chỉ dành cho Thành viên VnDoc ProPlus.
- Tải tất cả tài liệu lớp 8 (Trừ Giáo án, bài giảng)
- Trắc nghiệm không giới hạn
Bộ đề thi giữa kì 1 Toán 8 có đáp án
- 1. Đề kiểm tra giữa học kì 1 Toán 8 CTST
- 2. Đề kiểm tra giữa kì 1 Toán 8 Kết nối tri thức
- 3. Đề kiểm tra giữa học kì 1 Toán 8 Cánh diều
- Bộ đề thi giữa kì 1 lớp 8 sách mới:
Bộ đề thi giữa học kì 1 lớp 8 môn Toán tổng hợp 27 đề thi giữa kì 1 Toán 8 bộ 3 sách mới Chân trời sáng tạo, Kết nối tri thức, Cánh diều có đầy đủ đáp án, ma trận. Đây là bộ tài liệu hay không chỉ giúp học sinh ôn luyện trước kỳ thi, mà thầy cô giáo có thể tham khảo để lên kế hoạch ra đề thi giữa kì 1 Toán 8.
Lưu ý: Toàn bộ 27 đề thi và đáp án có trong file tải. Mời thầy cô và các em tải về tham khảo trọn bộ tài liệu.
Link tham khảo chi tiết:
- 10 đề kiểm tra giữa học kì 1 Toán 8 Chân trời sáng tạo có đáp án và ma trận
- 10 đề kiểm tra giữa học kì 1 Toán 8 Cánh diều có đáp án và ma trận
- 5 Đề thi giữa kì 1 Toán 8 Kết nối tri thức
- Đề thi giữa kì 1 Toán 8 Cánh diều
- Đề thi giữa kì 1 Toán 8 Chân trời sáng tạo
1. Đề kiểm tra giữa học kì 1 Toán 8 CTST
PHẦN I. TRẮC NGHIỆM KHÁCH QUAN (3,0 điểm)
Hãy khoanh tròn vào phương án đúng duy nhất trong mỗi câu dưới đây.
Câu 1. Trong các biểu thức đại số sau, biểu thức nào không phải là đơn thức?
A. x
B. 5x + 9
C. x3y2
D. 3x
Câu 2. Tích của đa thức 6xy và đa thức 2x2 - 3y là đa thức
A. 12x2y+18xy2.
B. 12x3y−18xy2.
C. 12x3y+18xy2.
D. 12x2y−18xy2.
Câu 3. Kết quả của phép chia (2x3 − x2 + 10x) : x
A. x2 − x + 10
B. 2x2 − x + 10
C. 2x2 − x - 10
D. 2x2 + x + 10
Câu 4. Hằng đẳng thức A2 - B2 = (A - B)(A + B) có tên là
A. bình phương của một tổng.
B. tổng hai bình phương.
C. bình phương của một hiệu.
D. hiệu hai bình phương.
Câu 5.Tính giá trị biểu thức A = 8x3 + 12x2 + 6x + 1 tại x = 9,5.
A. 20.
B. 400.
C. 4 000.
D. 8 000.
Câu 6.Với điều kiện nào của x thì phân thức
\(\frac{x−1}{(x+2)^{2} }\) có nghĩa?
A. x ≤ 2.
B. x ≠ 1.
C. x = 2.
D. x ≠ 2.
Câu 7.
Kết quả của phép trừ
\(\frac{3x+1}{x+2}-\frac{x+6}{x+2}\) bằng
A.
\(\frac{2x-6}{x+2}\)
B.
\(\frac{2x-7}{(x+2)^{2}}\)
C.
\(\frac{2x-7}{x+2}\)
D.
\(\frac{2x+5}{x+2}\)
Câu 8.
Thực hiện phép tính
\(\frac{x^{3}-1}{x+2}\cdot \left ( \frac{1}{x-1}-\frac{x+1}{x^{2}+x+1} \right )\)
A. 1
B. 0
C. x + 2
D. x - 1
Câu 9. Hình chóp tam giác đều có mặt bên là hình gì?
A. Tam giác cân.
B. Tam giác đều.
C. Tam giác vuông.
D. Tam giác vuông cân.

Câu 11. Cho hình chóp tam giác đều có độ dài cạnh đáy là 5cm, độ dài trung đoạn của hình chóp là 6cm. Diện tích xung quanh của hình chóp tam giác đều đó là
A. 40 cm2.
B. 36 cm2.
C. 45 cm2.
D. 50 cm2.

II. Tự luận (7,0 điểm)
Bài 1. (2,0 điểm) Thực hiện phép tính:
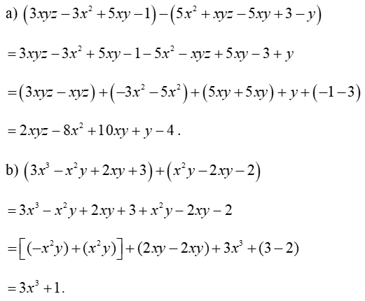
a) (3xyz - 3x2 + 5xy - 1) - (5x2 +xyz - 5xy + 3 - y);
b) (3x3 - x2y + 2xy + 3) + (x2y - 2xy - 2);
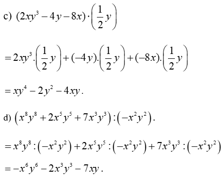
c) (2xy3−4y−8x)⋅(12y);
d) (x8y8 + 2x5y5 + 7x3y3) : (-x2y2).
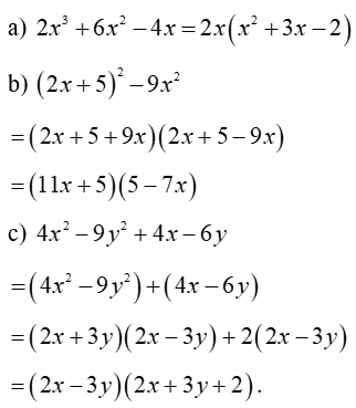
Bài 2. (1,5 điểm)Phân tích các đa thức sau thành nhân tử:
a) 2x3 + 6x2 - 4x;
b) (2x + 5)2 - 9x2;
c) 4x2 - 9y2 + 4x - 6y.
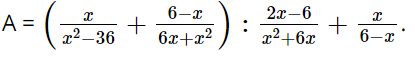
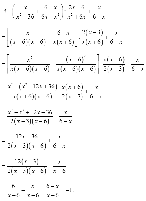
Bài 3. (1,0 điểm)Cho biểu thức: 
a) Viết điều kiện xác định của biểu thức A.
b) Rút gọn biểu thức trên.
Bài 4. (2,0 điểm)

Bài 5. (0,5 điểm)
Cho a + b + c = 2; ab + bc + ca = -5 và abc = 3. Hãy tính giá trị cửa biểu thức:
\(M = \left( {{x^2} + a} \right)\left( {{x^2} + b} \right)\left( {{x^2} + c} \right)\) với
\(\left| x \right| = 1\)
-------------- HẾT --------------
Đáp án Đề kiểm tra giữa học kì 1 Toán 8 CTST
I. Bảng đáp án trắc nghiệm
| 1. B | 2. B | 3. B | 4. D | 5. D | 6. D |
| 7. C | 8. A | 9. A | 10. C | 11. C | 12. C |
II. Hướng dẫn giải chi tiết tự luận
Bài 1. (2,0 điểm)


Bài 2. (1,5 điểm)

Bài 3. (1,0 điểm)
a) Điều kiện xác định của biểu thức A là x ≠ 3; x ≠ ±6.
b)Với x ≠ 3; x ≠ ±6, ta có:

Bài 4. (2,0 điểm)
a)Diện tích đáy của khối Rubic là:
V = 13.S.h suy ra S = 3Vh=3 . 44,0025,88 = 22,45 (cm2).
b) Chiều cao của hình chóp tam giác đều đó là:
V = 13.S.h suy ra h = 3VS=3 . 12393 = 4 (cm).
Bài 5. (0,5 điểm)
\(\begin{array}{l} M = \left( {{x^2} + a} \right)\left( {{x^2} + b} \right)\left( {{x^2} + c} \right) = \left( {{x^4} + b{x^2} + a{x^2} + ab} \right)\left( {{x^2} + c} \right)\\ = {x^6} + c{x^4} + b{x^4} + bc{x^2} + a{x^4} + ac{x^2} + ab{x^2} + abc\\ = {\left( {{x^2}} \right)^3} + \left( {a + b + c} \right){x^4} + \left( {ab + bc + ca} \right){x^2} + abc \end{array}\)
Có
\(\left| x \right| = 1 \Rightarrow {\left( {{x^2}} \right)^3} = 1\)
Vậy M = 1 + 1.2 + 1. (-5) + 3 = 1
2. Đề kiểm tra giữa kì 1 Toán 8 Kết nối tri thức
I. PHẦN TRẮC NGHIỆM (4 điểm)
Khoanh tròn vào chữ cái đứng trước câu trả lời đúng:
Câu 1. Kết quả của phép chia 5x2y4 : 10x2y là:
| A. y4 | B. | C. xy3 | D. y3 |
Câu 2. Kết quả của phép tính (3x + 2y)(3y + 2x) bằng:
| A. 9xy + 4xy. | B. 9xy + 6x2. | C. 6y2 + 4xy. | D. 6x2 + 13xy + 6y2. |
Câu 3. Kết quả phân tích đa thức 2x - 1 - x2 thành nhân tử là:
A. (x - 1)2
B. - (x - 1)2
C. - (x + 1)2
D. (- x - 1)2
Câu 4. Tứ giác ABCD có 50o ; 120o ; 120o. Số đo góc D bằng;
A. 500
B. 600
C. 700
D. 900
Câu 5. Giá trị của biểu thức tại x = - 1 và y = - 3 bằng
A. 16
B. – 4
C. 8
D. Một kết quả khác
Câu 6. Biểu thức 1012 – 1 có giá trị bằng
A. 100
B. 1002
C. 102000
D. Một kết quả khác
Câu 7. Hình thang cân là hình thang có:
A. Hai đáy bằng nhau
B. Hai cạnh bên bằng nhau
C. Hai góc kề cạnh bên bằng nhau
D. Hai cạnh bên song song
Câu 8. Cho hình bình hành ABCD có Â = 500 . Khi đó:
A. 50o
B. 50o
C. 120o
D. 120o
II. PHẦN TỰ LUẬN (6 điểm)
Câu 1. (1,5 điểm).
1) Thực hiện phép tính
a) 7x2. (2x3 + 3x5)
b) (x3 – x2 + x - 1) : (x– 1)
2) Tìm x biết: x2 – 8x + 7= 0
Câu 2. (1,5 điểm). Phân tích các đa thức sau thành nhân tử:
a) 3x2 + 6xy
b) x2 – 2xy + 3x – 6y = 0
c) x2 + 2x – y2 + 1
Câu 3. (3,0 điểm). Cho tam giác ABC. Gọi P và Q lần lượt là trung điểm của AB và AC.
a) Tứ giác BPQC là hình gì? Tại sao?
b) Gọi E là điểm đối xứng của P qua Q. Tứ giác AECP là hình gì? Vì sao?
Đáp án đề thi Toán giữa kì 1 lớp 8 KNTT
I. PHẦN TRẮC NGHIỆM: (4,0 điểm)
Mỗi câu trả lời đúng được 0,5 điểm.
| Câu 1 | Câu 2 | Câu 3 | Câu 4 | Câu 5 | Câu 6 | Câu 7 | Câu 8 |
| D | D | B | C | A | C | B | A |
II. PHẦN TỰ LUẬN: (6,0 điểm)
| Câu | Nội dung đáp án | Biểu điểm |
| Câu 1 (1,5 điểm) | 1) a) 7x2.(2x3 + 3x5) = 14x5 + 21x7
| 0,5 |
| b) (x3 – x2 + x - 1) : (x– 1) = x2 (x-1)+(x-1) =(x-1)(x2 +1)= x2 +1 |
0,25 0,25 | |
| 2) x2 - 8x + 7 = 0 (x2 - 7x) - (x - 7) = 0 x.(x-7) - (x - 7) = 0 (x-7)(x-1) = 0
|
0,25 0,25 | |
| Câu 2 (1,5 điểm) |
a) 3x2 + 6xy = 3x(x + 2y) |
0,5
|
| b) x2 – 2xy + 3x – 6y = (x2 – 2xy)+ (3x – 6y) = x(x – 2y) + 3(x – 2y) = (x – 2y)(x + 3) |
0,25 0,25 | |
| c) x2 + 2x – y2 + 1 = (x2 + 2x + 1) – y2 = (x + 1)2 – y2 = (x + 1 – y)(x + 1 + y) |
0,25 0,25 | |
| Câu 3. (3,0 điểm) | Vẽ hình + Ghi GT,KL | 0,5 |
| a) Tứ giác BPQC là hình gì? Tại sao? Xét tứ giác BPQC có: P là trung điểm của AB (gt) Q là trung điểm của AC (gt) Nên PQ là đường trung bình của ΔABC ⇒ PQ//BC (tính chất đường trung bình của tam giác) và ⇒ Tứ giác BPQC là hình thang |
0,5
0,5 | |
| b) Gọi E là điểm đối xứng của P qua Q. Tứ giác AECP là hình gì? Vì sao? Xét tứ giác AECP có: Q là trung điểm của PE (tính chất đối xứng) Q là trung điểm của AC (gt) ⇒ Tứ giác AECP là hình bình hành (vì tứ giác có hai đường chéo cắt nhau tại trung điểm mỗi đường) |
0,5 0,5 |
3. Đề kiểm tra giữa học kì 1 Toán 8 Cánh diều
PHẦN I. TRẮC NGHIỆM KHÁCH QUAN (4,0 điểm)
Hãy viết chữ cái in hoa đứng trước phương án đúng duy nhất trong mỗi câu sau vào bài làm.
Câu 1. Biểu thức nào sau đây là đơn thức thu gọn?
A. -5xy2;
B. xyz + xz;
C. 2(x2 + y2);
D. -3x4yxz.
Câu 2. Cho các đơn thức A = 4x3y(−5xy), B = −17x4y2, C =
\(\frac{3}{5}\)x6y. Các đơn thức nào sau đây đồng dạng với nhau?
A. Đơn thức A và đơn thức C;
B. Đơn thức B và đơn thức C;
C. Đơn thức A và đơn thức B;
D. Cả ba đơn thức A, B, C đồng dạng với nhau.
Câu 3. Cho biểu thức A = −2y + 2x3 + 8y−35 − x3. Giá trị của biểu thức A tại x = 3, y = -4 là
A. -32;
B. -28;
C. 16;
D. 86.
Câu 4. Hằng đẳng thức A2−B2=(A−B)(A+B) có tên là
A. bình phương của một tổng;
B. bình phương của một hiệu;
C. tổng hai bình phương;
D. hiệu hai bình phương.
Câu 5: Phân thức
\(\frac{M}{N}\) xác định khi:
Câu 6: Phân thức
\(\frac{{{x}^{2}}-2x}{{{x}^{2}}-4}\) bằng với phân thức nào dưới đây?
Câu 7. Hình nào sau đây là hình chóp tam giác đều?
A. Hình có đáy là tam giác;
B. Hình có đáy là tam giác đều;
C. Hình có đáy là tam giác đều và tất cả các cạnh đều vuông góc với mặt đáy;
D. Hình có đáy là tam giác đều và tất cả các cạnh bên bằng nhau.
| Câu 8. Cho hình vẽ bên, trung đoạn của hình chóp tứ giác S.MNPQ là A. SH; B. SA; C. HA; D. NQ hoặc MP. |
|
PHẦN II. TỰ LUẬN (6,0 điểm)
Câu 8. 1,5 điểm Rút gọn các biểu thức sau
a. A = (x + y).(x2 + xy) - xy(x2 + y2 + y)
b. A = (2x2 + 2x). ( - 2x2 + 2x )
c. C = (x - y).(x + 2y) - x(x + 4y) + 4y(x - y)
Câu 2. (1 điểm) Cho phân thức
\(\frac{x+1}{x^{2}+x}\)
a. Viết điều kiện xác định của phân thức.
b. Tính giá trị của phân thức tại x=10 và x=-1
| Bài 3. (3,0 điểm) 1. Cho tứ giác ABCD biết góc A=75°, góc B = 90°, góc C = 120°. Tính số đo các góc ngoài tại đỉnh D của tứ giác ABCD. 2. Bạn Nam đo một chiếc đèn thả trang trí như hình vẽ bên thì nhận thấy các cạnh đều có cùng độ dài là 20 cm. a) Tính độ dài trung đoạn của hình chóp. b) Tính diện tích xung quanh của chiếc đèn. c) Bạn Nam đọc và thấy rằng khi treo đèn thì khoảng cách từ đáy của đèn cách mặt trền là 1 m là tốt nhất. Vậy bạn Nam cần đưa đoạn dây điện từ đầu đèn (vị trí A) tới mặt trần là bao nhiêu (làm tròn kết quả đến hàng phần mười)? | ![]() |
Câu 4 (0,5 điểm) Cho x. y, z thỏa mãn:
\({{x}^{2014}}+{{y}^{2014}}+{{x}^{2014}}={{x}^{1007}}{{y}^{1007}}+{{y}^{1007}}.{{z}^{1007}}+{{z}^{1007}}.{{x}^{1007}}\)
Đáp án đề thi giữa học kì 1 Toán 8 Cánh diều
PHẦN I. TRẮC NGHIỆM KHÁCH QUAN (4,0 điểm)
Bảng đáp án trắc nghiệm:
| Câu | 1 | 2 | 3 | 4 | 5 | 6 | 7 | 8 |
| Đáp án | A | C | A | D | B | A | D | B |
PHẦN II. TỰ LUẬN (6,0 điểm)
a. Rút gọn biểu thức: A = (x + y).(x2 + xy) - xy(x2 + y2 + y)
Ta có:
A = (x + y).(x2 + xy) - xy(x2 + y2 + y)
A = x(x2 + xy) + y(x2 + xy) - xy.x2 - xy.y2 - xy.y
A = x3 + x2y + x2y + xy2 - x3y - xy3 - xy2
A = x3 + 2x2y - x3y - xy3
b. Rút gọn biểu thức B = (2x2 + 2x). ( - 2x2 + 2x )
Ta có:
B = (2x2 + 2x). ( - 2x2 + 2x )
B = 2x2. (- 2x2 + 2x) + 2x . (- 2x2 + 2x)
B = 2x2. (-2x2 ) + 2x2 .2x + 2x. (- 2x2) + 2x .2x
B = - 4x4 + 4x3 - 4x3 + 4x2
B = - 4x4 + 4x2
c. Rút gọn biểu thức sau: C = (x - y).(x + 2y) - x(x + 4y) + 4y(x - y)
Ta có:
C = (x - y).(x + 2y) - x(x + 4y) + 4y(x - y)
C = x(x + 2y) - y(x + 2y) - x2 - 4xy + 4xy - 4y2
C = x2 + 2xy - xy - 2y2 - x2 - 4y2
C = (x2 - x2) + (2xy - xy) - (2y2 + 4y2)
C = xy - 6y2
Câu 2.
a. Điều kiện xác định của phân thức:
\(x^{2}+x\neq 0 \Leftrightarrow x(x+1)\neq 0\)
\(\Leftrightarrow x \neq 0 và x \neq -1\)
b. Khi x=10 thỏa mãn điều kiện xác định của phân thức nên giá trị của phân thức tại x=10 là
\(\frac{10+1}{10^{2}+10} = \frac{11}{110}=\frac{1}{10}.\)
x=-1 không thỏa mãn điều kiện xác định của phân thức nên tại x=-1, giá trị của phân thức không xác định.
Bài 3. (3,0 điểm)

2.


Bài 4. (0,5 điểm)
Tính giá trị của biểu thức
\(P={{\left( x-y \right)}^{2014}}+{{\left( y-z \right)}^{2014}}+{{\left( x-z \right)}^{2014}}\)
\(\begin{align} & {{x}^{2014}}+{{y}^{2014}}+{{x}^{2014}}={{x}^{1007}}{{y}^{1007}}+{{y}^{1007}}.{{z}^{1007}}+{{z}^{1007}}.{{x}^{1007}} \\ & \Rightarrow 2\left( {{x}^{2014}}+{{y}^{2014}}+{{x}^{2014}} \right)=2\left( {{x}^{1007}}{{y}^{1007}}+{{y}^{1007}}.{{z}^{1007}}+{{z}^{1007}}.{{x}^{1007}} \right) \\ & \Rightarrow {{\left( x-y \right)}^{2014}}+{{\left( y-z \right)}^{2014}}+{{\left( x-z \right)}^{2014}}=0 \\ & \Rightarrow P=0\Rightarrow x=y=z \\ \end{align}\)
Bộ đề thi giữa kì 1 lớp 8 sách mới:
- Bộ đề thi giữa học kì 1 lớp 8 - Tất cả các môn
- Bộ đề thi giữa học kì 1 lớp 8 Kết nối tri thức - Tất cả các môn
- Bộ đề thi giữa học kì 1 lớp 8 Cánh diều - Tất cả các môn
- Bộ đề thi giữa học kì 1 lớp 8 Chân trời sáng tạo - Tất cả các môn
- Đề thi giữa học kì 1 lớp 8 môn Toán - Kết nối
- Đề thi giữa học kì 1 lớp 8 môn Toán - Chân trời
- Đề thi giữa học kì 1 lớp 8 môn Toán - Cánh diều
- Đề thi giữa học kì 1 lớp 8 môn Văn - Kết nối
- Đề thi giữa học kì 1 lớp 8 môn Văn - Cánh diều
- Đề thi giữa học kì 1 lớp 8 môn Văn - Chân trời
- Đề thi giữa kì 1 tiếng Anh 8 Global success
- Đề thi giữa kì 1 tiếng Anh 8 Friends plus
- Đề thi giữa kì 1 tiếng Anh 8 i-Learn Smart World
- Đề thi học kì 2 lớp 8 môn KHTN
- Đề thi giữa kì 1 lớp 8 môn GDCD
- Đề thi giữa kì 1 lớp 8 môn Tin
- Đề thi giữa kì 1 lớp 8 môn Công nghệ
- Đề thi giữa kì 1 lớp 8 môn HĐTN
- Đề thi giữa kì 1 lớp 8 môn Lịch sử Địa lí
Từ khóa » đề Kiểm Tra Giữa Hk1 Toán Lớp 8
-
Đề Thi Giữa HK1 Toán 8 - Toán THCS
-
Bộ đề Thi Giữa Học Kì 1 Môn Toán Lớp 8 Năm 2021
-
Đề Thi Giữa Học Kì 1 Lớp 8 Môn Toán
-
Đề Thi Toán Lớp 8 Giữa Kì 1 Năm 2021 - 2022 Có đáp án (4 Đề)
-
Đề Kiểm Tra Giữa Kì I Toán Lớp 8 Có Lời Giải Chi Tiết
-
Đề Thi Giữa Kì 1 Toán 8 Năm Học 2021 - 2022 Đề Số 1
-
Đề Kiểm Tra Giữa Học Kì 1 Môn Toán Lớp 8
-
Đề Thi Giữa Học Kì 1 Lớp 8 Năm 2021 - 2022 - Thi.
-
Đề Kiểm Tra Giữa Kì I Toán Lớp 8 Có Lời Giải Chi Tiết - MarvelVietnam
-
Đề Kiểm Tra Giữa Kì I Toán Lớp 8 Có Lời Giải Chi Tiết - MarvelVietnam
-
Đề Thi Giữa Học Kì 1 Lớp 8 Môn Toán
-
Đề Thi Kiểm Tra Giữa Kì 1 Lớp 8 Toán (Đại Số Và Hình Học)
-
Đề Thi Giữa Học Kì 1 Lớp 8 Môn Toán Năm 2021-2022 - Hoc247
-
Tuyển Tập đề Thi Giữa Kì 1 Môn Toán Lớp 8
-
Bộ đề Thi Học Kì 1 Môn Toán Lớp 8 - Abcdonline
-
Tổng Hợp 9 đề Thi Giữa Kì 1 Toán 8 Mới Nhất - Hỏi Gì 247
-
Bộ Đề Kiểm Tra Giữa Học Kỳ 1 Toán 8 Năm 2021-2022 Có Đáp Án

