6CO2 (g) + 6H2O (g) -> C6H12O6 (s) + 6O2 (g) Write An Expression ...

Sachin Pandey verified This problem has been solved by verified expert Sachin Pandey 100% free to try See Answer

Question

6CO2 (g) + 6H2O (g) -> C6H12O6 (s) + 6O2 (g) Write an expression for the equilibrium constant for this reaction. 6CO2 (g) + 6H2O (g) -> C6H12O6 (s) + 6O2 (g) Write an expression for the equilibrium constant for this reaction.

Added by Justin C.

Chemistry: Structure and Properties Chemistry: Structure and Properties Nivaldo Tro 2nd Edition

Step 1

  6 CO₂ (g) + 6 H₂O (g) ⇌ C₆H₁₂O₆ (s) + 6 O₂ (g) Show more…

Show all steps

lock

Close

AceChat toggle button Close icon Ace pointing down

Please give Ace some feedback

Your feedback will help us improve your experience

Thumb up icon Thumb down icon Submit Thanks for your feedback! Profile picture 6CO2 (g) + 6H2O (g) -> C6H12O6 (s) + 6O2 (g) Write an expression for the equilibrium constant for this reaction. Close icon Play audio Feedback Upload button Send button Powered by NumerAI Jennifer Stoner Danielle Fairburn Ivan Kochetkov verified

Sachin Pandey and 56 other subject Chemistry 101 educators are ready to help you.

Ask a new question

*

Labs

-

Want to see this concept in action?

NEW

Explore this concept interactively to see how it behaves as you change inputs.

View Labs *

Key Concepts

- Key Concept Premium Feature Explore the core concept behind this problem. View Video Play button View Video Key Concept Premium Feature Explore the core concept behind this problem. Your browser does not support the video tag. Close Try it Now *

Recommended Videos

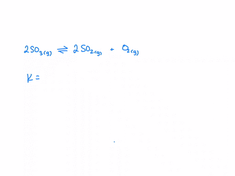
- write-the-equilibrium-constant-expression-k-for-the-following-reaction-2so3s-2so2g-o2g

Write the equilibrium constant expression, K, for the following reaction: 2SO3(s) 2SO2(g) + O2(g)

Ronald P.

calculate-the-equilibrium-constant-for-the-reaction-text-glucose-1-text-phosphate-mathrmh_2-mathrmo-

Calculate the equilibrium constant for the reaction \[ \text { glucose- } 1 \text { -phosphate }+\mathrm{H}_{2} \mathrm{O} \rightarrow \text { glucose }+\mathrm{H}_{2} \mathrm{PO}_{4}^{-} \]

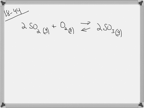
Fundamentals of Biochemistry for-each-equilibrium-equation-shown-write-the-equilibrium-constant-expression-2-mathrmso_2mathrmgmat

For each equilibrium equation shown, write the equilibrium constant expression. $$2 \mathrm{SO}_{2}(\mathrm{g})+\mathrm{O}_{2}(\mathrm{g}) \rightleftharpoons 2 \mathrm{SO}_{3}(\mathrm{g})$$

Introductory Chemistry: An Active Learning Approach  *

Recommended Textbooks

- Chemistry: Structure and Properties

Chemistry: Structure and Properties

Nivaldo Tro 2nd Edition achievement 1,095 solutions Chemistry The Central Science

Chemistry The Central Science

Theodore L. Brown 14th Edition achievement 1,843 solutions Chemistry

Chemistry

Steven S. Zumdahl, Susan A. Zumdahl, Donald J. DeCoste 10th Edition achievement 1,659 solutions *

Transcript

- 00:01 We have given the reaction that is 6 moles of co2 is present plus 6 moles of water is present that gives glucose molecule c6h12 06 plus 6 moles of o2 equilibrium expression for this reaction is we are writing equilibrium expression for this reaction kc c6h12, 06, its stociometric power is 1. 00:48 Again, concentration of o2 and its stociometric coefficient is 6... Need help? Use Ace Ace is your personal tutor. It breaks down any question with clear steps so you can learn. Start Using Ace Ace is your personal tutor for learning Step-by-step explanations Instant summaries Summarize YouTube videos Understand textbook images or PDFs Study tools like quizzes and flashcards Listen to your notes as a podcast

What our educators say

25992 Students Helped in Chemistry 101 “Numerade has a great goal - to increase people's educational levels all around the world. Educators do not complete student's personal homework tasks. We create video tutorials that may be used for many years in the future.” Dr. Mei Lin Chen PhD in Chemistry 101

44601 Students Helped in Chemistry 101 "The format has forced me to think about what knowledge is needed by the student to solve a problem and present it concisely and understandably within the time constraint of the video." Dr. Emily Green PhD in Chemistry 101

30417 Students Helped in Chemistry 101 “Explaining topics while I make Numerade videos has helped me deepen my own understanding and come up with new ways to help my students grasp concepts while I'm teaching.” Professor Jonathan Reed Master's in Chemistry 101

Numerade Get step-by-step video solutionfrom top educators Start your free 7-day trial, Sign up now. Continue with Facebook Continue with Apple Continue with Clever or Name Email Password Create Account By creating an account, you agree to the Terms of Service and Privacy Policy Already have an account? Log In A free answerjust for you

Watch the video solution with this free unlock.

View the Answer Numerade

Log in to watch this video ...and 100,000,000 more!

EMAIL

PASSWORD

Log in OR Continue with Facebook Continue with Apple Continue with Clever Don't have an account? Sign Up

Từ khóa » C6h1206(s)+6o2(g)- 6co2(g)+6h2o(g)