A . 925 : X = 37 B . X : 144 - 2 = 121 C . 3x = 21 D . ( X
Có thể bạn quan tâm


Tìm kiếm với hình ảnh
Vui lòng chỉ chọn một câu hỏi
Tìm đáp án
Đăng nhập- |
- Đăng ký


Hoidap247.com Nhanh chóng, chính xác
Hãy đăng nhập hoặc tạo tài khoản miễn phí!
Đăng nhậpĐăng ký

Lưu vào
+
Danh mục mới
- lekimngan230810

- Chưa có nhóm
- Trả lời
0
- Điểm
42
- Cảm ơn
0
- Toán Học
- Lớp 6
- 10 điểm
- lekimngan230810 - 07:58:46 22/09/2021
- Hỏi chi tiết
Báo vi phạm
Hãy luôn nhớ cảm ơn và vote 5* nếu câu trả lời hữu ích nhé!
TRẢ LỜI


- viettintran

- Fan Fake
- Trả lời
1073
- Điểm
8745
- Cảm ơn
1336
- viettintran
- Câu trả lời hay nhất!

- 22/09/2021

Đáp án:
Giải thích các bước giải:
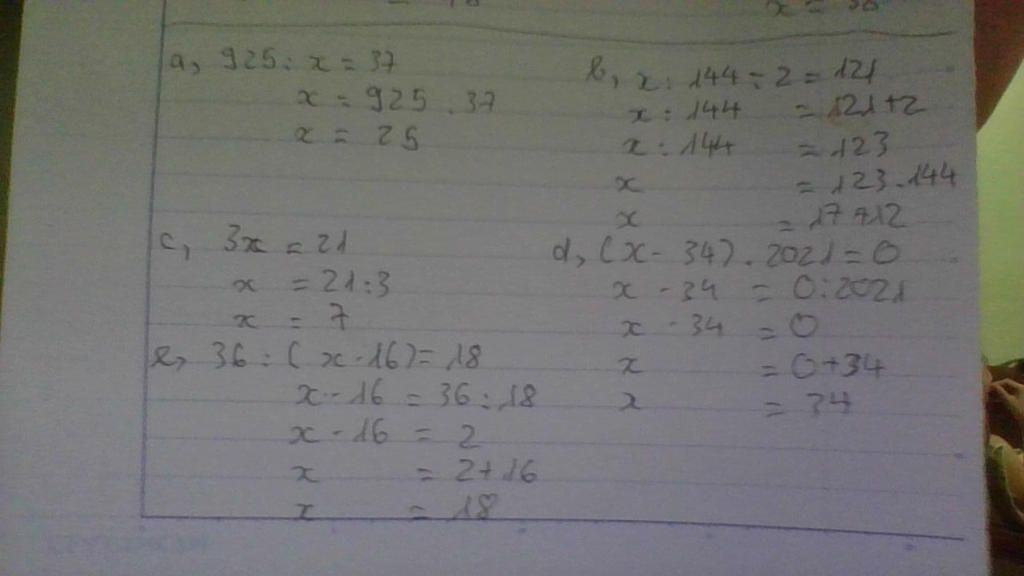
a 925 : x = 37
x=925:37
x=25
bx : 144 - 2 = 121
x:144=121+2
x:144=123
x=123x144
x=17712
c . 3x = 21
x=21:7
x=3
d . ( x - 34 ) . 2021 = 0
x-34=0
x=0+34
x=34
e . 36 : ( x - 16 ) = 18
x-16=36:18
x-16=2
x=2+16
x=18
xin ctlhn ạ
Hãy giúp mọi người biết câu trả lời này thế nào?
starstarstarstarstarstarstarstarstarstarstarstarstarstarstarstarstarstarstarstarstarstarstarstarstarstarstarstarstarstar5starstarstarstarstar2 voteGửiHủy
Cảm ơn 2
Báo vi phạm


- Apples

- Viện Dưỡng Lươn
- Trả lời
1780
- Điểm
34777
- Cảm ơn
2311
Mé Cày ghê thế
- Apples


- viettintran

- Fan Fake
- Trả lời
1073
- Điểm
8745
- Cảm ơn
1336
dạ e ms khởi động thôi ạ
- viettintran


- Apples

- Viện Dưỡng Lươn
- Trả lời
1780
- Điểm
34777
- Cảm ơn
2311
dạ e ms khởi động thôi ạ `=>` PRO
- Apples


- viettintran

- Fan Fake
- Trả lời
1073
- Điểm
8745
- Cảm ơn
1336
xạo á
- viettintran


- tangoclinh

- Chưa có nhóm
- Trả lời
224
- Điểm
3340
- Cảm ơn
140
- tangoclinh
- 22/09/2021

Đáp án:
Giải thích các bước giải:

Hãy giúp mọi người biết câu trả lời này thế nào?
![]()
Cảm ơn
Báo vi phạm


- lekimngan230810

- Chưa có nhóm
- Trả lời
0
- Điểm
42
- Cảm ơn
0
làm sai nha ạ
- lekimngan230810
Bạn muốn hỏi điều gì?
Tham Gia Group Dành Cho Lớp 6 Chia Sẻ, Trao Đổi Tài Liệu Miễn Phí

Bảng tin
Bạn muốn hỏi điều gì?
Lý do báo cáo vi phạm?
Gửi yêu cầu Hủy

Cơ quan chủ quản: Công ty Cổ phần Công nghệ Giáo dục Thành Phát
Tải ứng dụng


- Hướng dẫn sử dụng
- Điều khoản sử dụng
- Nội quy hoidap247
- Góp ý
Inbox: m.me/hoidap247online
Trụ sở: Tầng 7, Tòa Intracom, số 82 Dịch Vọng Hậu, Cầu Giấy, Hà Nội.
Từ khóa » Tìm Số Tự Nhiên X Biết X37
-
3 < X < 37/6 - 1/3nhanh Tay Thì K Giải Theo Cách Lớp 4 được K - Olm
-
1. Tìm Số Tự Nhiên X Biếta. 37-7.(x+1)=40-8.3b. (x+5).3+11=10 ... - Olm
-
Tìm X Biết (x-37).257=258 - Hoc24
-
Tìm X Thuộc N Số Tự Nhiên.Biết Rằng Khi X:37 Du 1; X:39 Du 14 - Hoc24
-
Tìm X Là Số Tự Nhiên Biết 45 - X = 37 - Toán Học Lớp 6
-
305) = 712 B) 11x – 35 = 108 C) 12.(x + 37) = 504
-
Tìm Số Tự Nhiên X, Biết X Là Bội Của 9 Và 20 < X < 40 - Haylamdo
-
Tìm X, Biết X-(-37)=30 - Huong Duong - Hoc247
-
Cách Tìm Số Tự Nhiên X Biết 2 Mũ = 32 | Toán Lớp 6 7 8 9
-
Cách Tìm Số Tự Nhiên X Biết 2 Mũ X = 32 | Toán Lớp 6 7 8 9 - YouTube
-
Tìm Hai Số Tự Nhiên Liên Tiếp Thích Hợp X Và Y Sao Cho: X < 3,7 < Y