A Buffered Solution Contained Dissolved Aniline C6H5NH2 And ...

Verified Human Explanation Solution Provided by a Human Expert David Collins verified David Collins Numerade Educator Created by a real educator, not AI.Step-by-step guidance. View Verified Answer 100% free to try.

Question

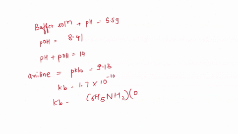
A buffered solution contained dissolved aniline C6H5NH2 and aniline hydrochloride C6H5NH3Cl, has a pH of 5.66. Determine the concentration of C6H5NH3+ in the solution if the concentration of C6H5NH2 is 0.230 M. The pKb of aniline is 9.13. The concentration of C6H5NH3+ is 0.03730 M. B. Calculate the change in pH of the solution (ΔpH) if 0.360 g NaOH is added to the buffer for a final volume of 1.35 L. Assume that any contribution of NaOH to the volume is negligible. A buffered solution contained dissolved aniline C6H5NH2 and aniline hydrochloride C6H5NH3Cl, has a pH of 5.66. Determine the concentration of C6H5NH3+ in the solution if the concentration of C6H5NH2 is 0.230 M. The pKb of aniline is 9.13. The concentration of C6H5NH3+ is 0.03730 M. B. Calculate the change in pH of the solution (ΔpH) if 0.360 g NaOH is added to the buffer for a final volume of 1.35 L. Assume that any contribution of NaOH to the volume is negligible. Show more…

Added by Zoe B.

Chemistry: Structure and Properties Chemistry: Structure and Properties Nivaldo Tro 2nd Edition

Step 1

We can use the Henderson-Hasselbalch equation for this: pH = pKa + log([C6H5NH2]/[C6H5NH3+]) We are given the pH (5.66) and the concentration of C6H5NH2 (0.230 M). We also know that pKa = 14 - pKb, so pKa = 14 - 9.13 = 4.87. Now we can solve for the Show more…

Show all steps

lock AceChat toggle button Close icon Ace pointing down

Please give Ace some feedback

Your feedback will help us improve your experience

Thumb up icon Thumb down icon Submit Thanks for your feedback! Profile picture A buffered solution contained dissolved aniline C6H5NH2 and aniline hydrochloride C6H5NH3Cl, has a pH of 5.66. Determine the concentration of C6H5NH3+ in the solution if the concentration of C6H5NH2 is 0.230 M. The pKb of aniline is 9.13. The concentration of C6H5NH3+ is 0.03730 M. B. Calculate the change in pH of the solution (ΔpH) if 0.360 g NaOH is added to the buffer for a final volume of 1.35 L. Assume that any contribution of NaOH to the volume is negligible. Close icon Play audio Feedback Upload button Send button Powered by NumerAI Danielle Fairburn David Collins Jennifer Stoner verified

David Collins and 85 other subject Chemistry 101 educators are ready to help you.

Ask a new question

*

Key Concepts

- Key Concept Premium Feature Explore the core concept behind this problem. View Video Play button View Video Key Concept Premium Feature Explore the core concept behind this problem. Your browser does not support the video tag. Close Try it Now *

Recommended Videos

- a-buffered-solution-containing-dissolved-aniline-c6h5nh2-and-aniline-hydrochloride-c6h5nh3cl-has-a-ph-of-559-a-determine-the-concentration-of-c6h5nh3-in-the-solution-if-the-concentration-of-58745

A buffered solution containing dissolved aniline, C6H5NH2, and aniline hydrochloride, C6H5NH3Cl, has a pH of 5.59. a) Determine the concentration of C6H5NH3 in the solution if the concentration of C6H5NH2 is 0.200 M. The pKb of aniline is 9.13. b) Calculate the change in pH of the solution, ΔpH, if 0.397 g NaOH is added to the buffer for a final volume of 1.10 L. Assume that any contribution of NaOH to the volume is negligible. I'm stuck on the part b, if all the steps to part b can be posted that would help a lot!

Sri K.

a-buffered-solution-containing-dissolved-aniline-c6h5nh2-and-aniline-hydrochloride-c6h5nh3cl-has-a-ph-of-559-a-determine-the-concentration-of-c6h5nh3-in-the-solution-if-the-concentration-of-58745

A buffered solution containing dissolved aniline, C6H5NH2, and aniline hydrochloride, C6H5NH3Cl, has a pH of 5.59. a) Determine the concentration of C6H5NH3 in the solution if the concentration of C6H5NH2 is 0.200 M. The pKb of aniline is 9.13. b) Calculate the change in pH of the solution, ΔpH, if 0.397 g NaOH is added to the buffer for a final volume of 1.10 L. Assume that any contribution of NaOH to the volume is negligible. I'm stuck on the part b, if all the steps to part b can be posted that would help a lot!

Sri K.

a-buffered-solution-containing-dissolved-aniline-c6h5nh2-and-aniline-hydrochloride-c6h5nh3cl-has-a-ph-of-542-a-determine-the-concentration-of-c6h5nh3-in-the-solution-if-the-concentration-of-29406

A buffered solution containing dissolved aniline, C6H5NH2, and aniline hydrochloride, C6H5NH3Cl, has a pH of 5.42. A. Determine the concentration of C6H5NH3+ in the solution if the concentration of C6H5NH2 is 0.290 M. The pKb of aniline is 9.13. [C6H5NH3+]= M B. Calculate the change in pH of the solution, ΔpH, if 0.373 g NaOH is added to the buffer for a final volume of 1.10 L. Assume that any contribution of NaOH to the volume is negligible. ΔpH=

Adi S.

*

Recommended Textbooks

- Chemistry: Structure and Properties

Chemistry: Structure and Properties

Nivaldo Tro 2nd Edition achievement 1,768 solutions Chemistry The Central Science

Chemistry The Central Science

Theodore L. Brown 14th Edition achievement 1,044 solutions Chemistry

Chemistry

Steven S. Zumdahl, Susan A. Zumdahl, Donald J. DeCoste 10th Edition achievement 1,949 solutions Need help? Use Ace Ace is your personal tutor. It breaks down any question with clear steps so you can learn. Start Using Ace Ace is your personal tutor for learning Step-by-step explanations Instant summaries Summarize YouTube videos Understand textbook images or PDFs Study tools like quizzes and flashcards Listen to your notes as a podcast

What our educators say

25992 Students Helped in Chemistry 101 “Numerade has a great goal - to increase people's educational levels all around the world. Educators do not complete student's personal homework tasks. We create video tutorials that may be used for many years in the future.” Dr. Mei Lin Chen PhD in Chemistry 101

44601 Students Helped in Chemistry 101 "The format has forced me to think about what knowledge is needed by the student to solve a problem and present it concisely and understandably within the time constraint of the video." Dr. Emily Green PhD in Chemistry 101

30417 Students Helped in Chemistry 101 “Explaining topics while I make Numerade videos has helped me deepen my own understanding and come up with new ways to help my students grasp concepts while I'm teaching.” Professor Jonathan Reed Master's in Chemistry 101

Numerade Get step-by-step video solutionfrom top educators Start your free 7-day trial, Sign up now. Continue with Facebook Continue with Apple Continue with Clever or Name Email Password Create Account By creating an account, you agree to the Terms of Service and Privacy Policy Already have an account? Log In A free answerjust for you

Watch the video solution with this free unlock.

View the Answer Numerade

Log in to watch this video ...and 100,000,000 more!

EMAIL

PASSWORD

Log in OR Continue with Facebook Continue with Apple Continue with Clever Don't have an account? Sign Up

Từ khóa » C6h5nh3cl And C6h5nh2