A. Viết Công Thức Cấu Tạo đầy đủ Và Thu Gọn Dạng Mạch Thẳng Của ...
Có thể bạn quan tâm


Tìm kiếm với hình ảnh
Vui lòng chỉ chọn một câu hỏi
Tìm đáp án
Đăng nhập- |
- Đăng ký


Hoidap247.com Nhanh chóng, chính xác
Hãy đăng nhập hoặc tạo tài khoản miễn phí!
Đăng nhậpĐăng ký

Lưu vào
+
Danh mục mới


- dfvcgvt

- Chưa có nhóm
- Trả lời
0
- Điểm
5
- Cảm ơn
0
- Hóa Học
- Lớp 9
- 30 điểm
- dfvcgvt - 10:52:07 25/03/2020
- Hỏi chi tiết
Báo vi phạm
Hãy luôn nhớ cảm ơn và vote 5* nếu câu trả lời hữu ích nhé!
TRẢ LỜI


- diemspbook

- Chưa có nhóm
- Trả lời
33
- Điểm
1496
- Cảm ơn
67
- diemspbook
- 06/05/2020

Đây là câu trả lời đã được xác thực
Câu trả lời được xác thực chứa thông tin chính xác và đáng tin cậy, được xác nhận hoặc trả lời bởi các chuyên gia, giáo viên hàng đầu của chúng tôi.
b) C3H8 không có đồng phân dạng phân nhánh
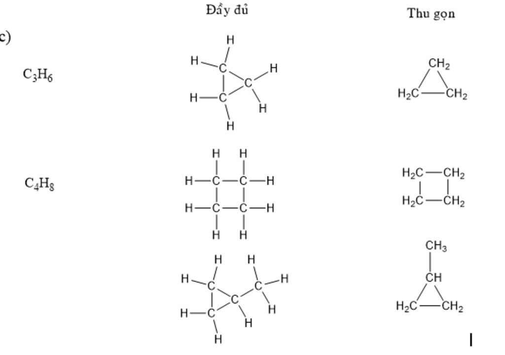
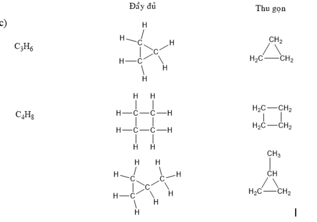
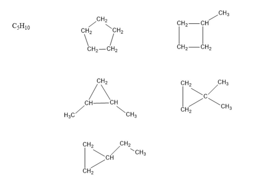
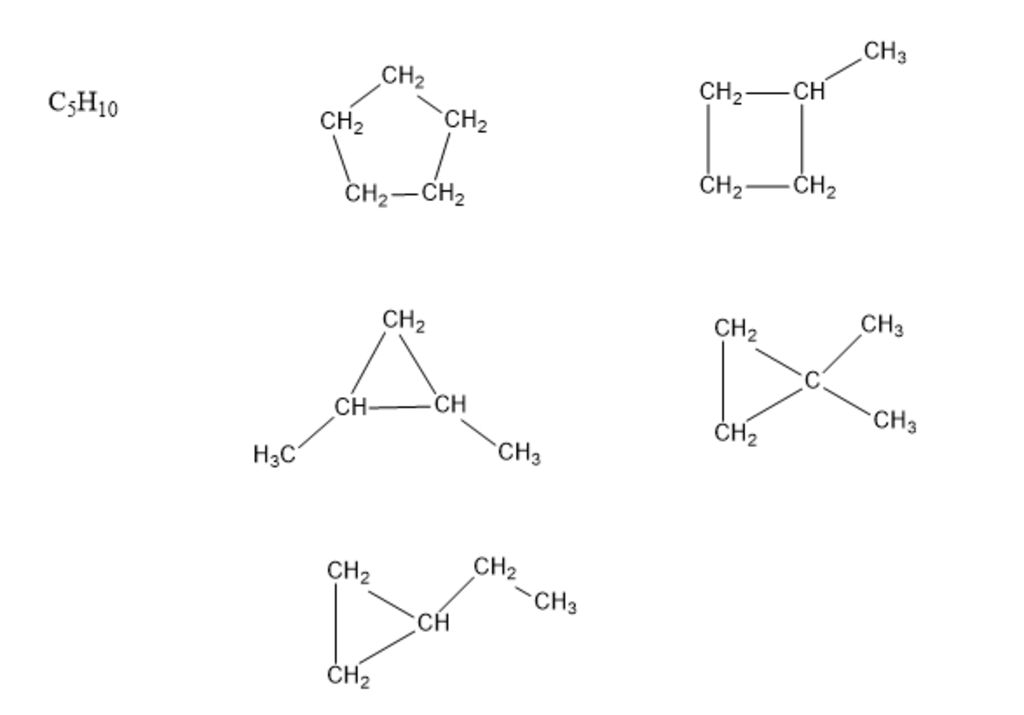
Bạn xem hình lần lượt nhé!





Hãy giúp mọi người biết câu trả lời này thế nào?
starstarstarstarstarstarstarstarstarstarstarstarstarstarstarstarstarstarstarstarstarstarstarstarstarstarstarstarstarstar4.8starstarstarstarstar12 voteGửiHủy
Cảm ơn 7


- nguyenhoang0527

- Chưa có nhóm
- Trả lời
199
- Điểm
10415
- Cảm ơn
333
C6H14 mà vẽ CT cấu tạo có 5C & 12H
- nguyenhoang0527
Xem thêm:
- >> Tuyển tập 100+ đề bài đọc hiểu Ngữ Văn lớp 9


- quangcuong347

- Chưa có nhóm
- Trả lời
53468
- Điểm
3081
- Cảm ơn
52955
- quangcuong347
- 25/03/2020
Đây là một chuyên gia không còn hoạt độngBạn xem hình





Hãy giúp mọi người biết câu trả lời này thế nào?
starstarstarstarstarstarstarstarstarstarstarstarstarstarstarstarstarstarstarstarstarstarstarstarstarstarstarstarstarstar4.1starstarstarstarstar7 voteGửiHủy
Cảm ơn 4
Báo vi phạm


- diemhuongsphh

- Chưa có nhóm
- Trả lời
714
- Điểm
26715
- Cảm ơn
1000
Cường viết thừa rồi e, đề bài câu a nói viết mạch thẳng thôi
- diemhuongsphh


- quangcuong347

- Chưa có nhóm
- Trả lời
53468
- Điểm
3081
- Cảm ơn
52955
Vâng ah
- quangcuong347
Bạn muốn hỏi điều gì?
Tham Gia Group Dành Cho Lớp 9 - Ôn Thi Vào Lớp 10 Miễn Phí

Bảng tin
Bạn muốn hỏi điều gì?
Lý do báo cáo vi phạm?
Gửi yêu cầu Hủy

Cơ quan chủ quản: Công ty Cổ phần Công nghệ Giáo dục Thành Phát
Tải ứng dụng


- Hướng dẫn sử dụng
- Điều khoản sử dụng
- Nội quy hoidap247
- Góp ý
Inbox: m.me/hoidap247online
Trụ sở: Tầng 7, Tòa Intracom, số 82 Dịch Vọng Hậu, Cầu Giấy, Hà Nội.
Từ khóa » Công Thức Electron C3h8
-
Công Thức Cấu Tạo Của C 3 H 8 Và Gọi Tên
-
Công Thức Cấu Tạo Của C 3 H 8 Và Gọi Tên - Haylamdo
-
Công Thức Cấu Tạo Của C3H8 Và Gọi Tên
-
Công Thức Cấu Tạo Của C3H8 Là
-
[LỜI GIẢI] Số Công Thức Cấu Tạo ứng Với CTPT C3H8 - Tự Học 365
-
Công Thức Cấu Tạo đầy đủ Của C3H8 Là
-
Viết Công Thức Electron Của C3H4 , C3H6 - Hoc24
-
Số Công Thức Cấu Tạo ứng Với Công Thức Phân Tử C3H8 Là A. 1 ...
-
[PDF] ANKEN Câu 1. Viết Công Thức Cấu Tạo Các đồng Phân Ankan ứng Với ...
-
Công Thức Cấu Tạo đầy đủ Của C3H8 Là
-
C3H8 → CH4 + C2H4 - C3H8 Ra CH4
-
Công Thức Cấu Tạo Của C3h8
-
Môn Hóa Học Lớp 9 A. Viết Công Thức Cấu Tạo đầy đủ Và Thu Gọn ...