A)x^4-6x^3+12x^2-14x+3 (pp Hệ Số Bất điịnh) B) 4x^4+y^4
Có thể bạn quan tâm


Tìm kiếm với hình ảnh
Vui lòng chỉ chọn một câu hỏi
Tìm đáp án
Đăng nhập- |
- Đăng ký


Hoidap247.com Nhanh chóng, chính xác
Hãy đăng nhập hoặc tạo tài khoản miễn phí!
Đăng nhậpĐăng ký

Lưu vào
+
Danh mục mới


- oanhsub

- Chưa có nhóm
- Trả lời
0
- Điểm
8
- Cảm ơn
0
- Toán Học
- Lớp 9
- 40 điểm
- oanhsub - 16:00:34 11/01/2021
- Hỏi chi tiết
Báo vi phạm
Hãy luôn nhớ cảm ơn và vote 5* nếu câu trả lời hữu ích nhé!
TRẢ LỜI


- kaibaseto

- Chưa có nhóm
- Trả lời
2214
- Điểm
734
- Cảm ơn
2558
- kaibaseto
- Câu trả lời hay nhất!

- 11/01/2021

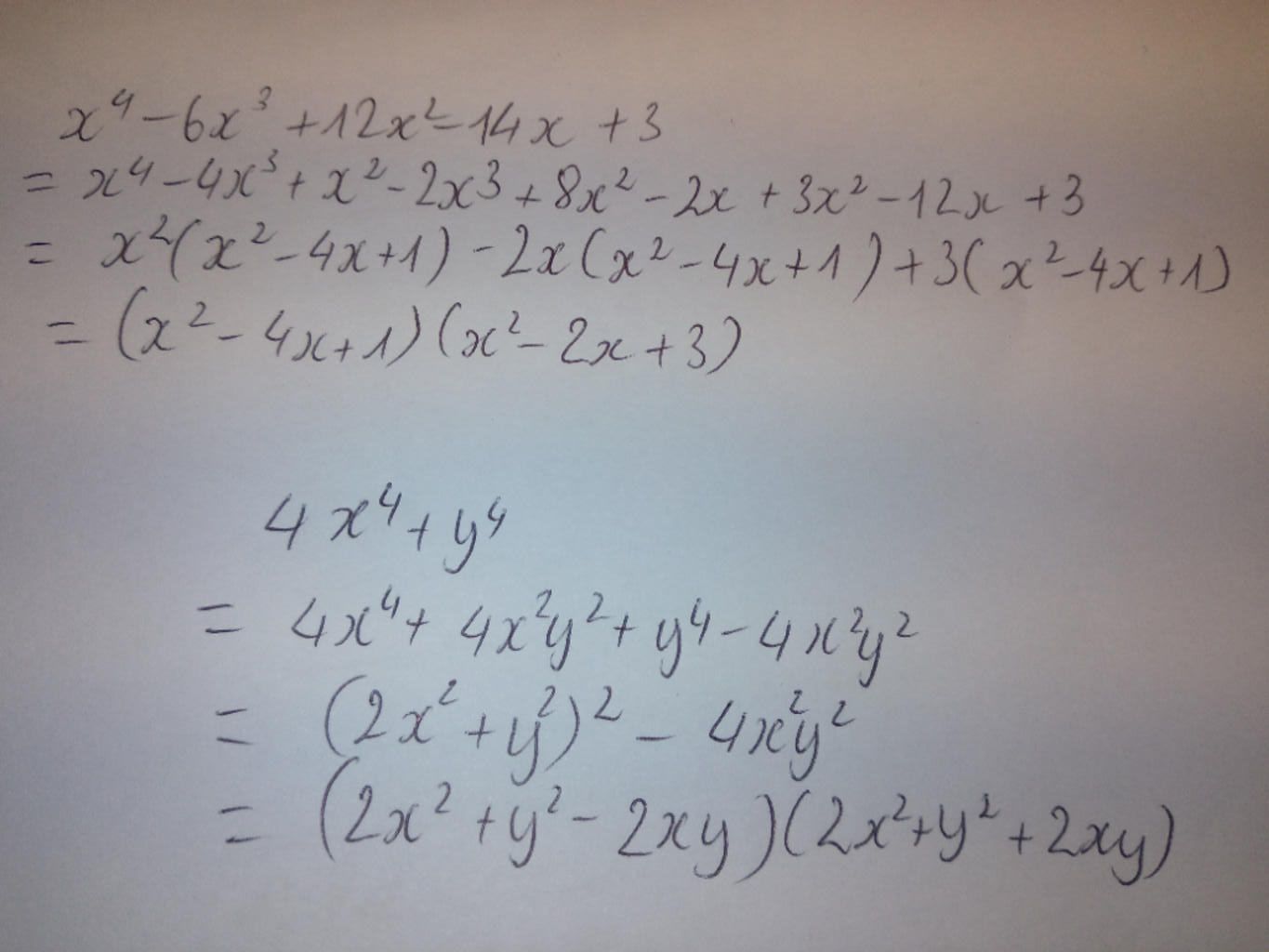
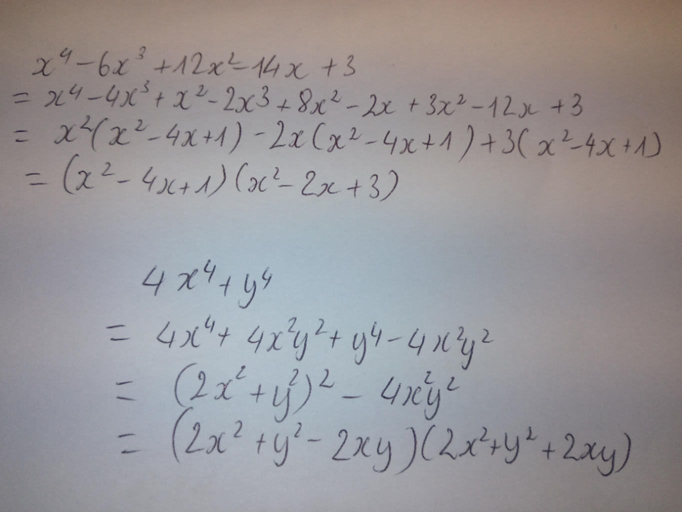
Đáp án:
Giải thích các bước giải:
Hết nè

Hãy giúp mọi người biết câu trả lời này thế nào?

Cảm ơn 1
Báo vi phạm


- azkiemphai

- DVS297
- Trả lời
4066
- Điểm
59133
- Cảm ơn
4034
đây là làm theo cách hệ số bất định hử
- azkiemphai


- kaibaseto

- Chưa có nhóm
- Trả lời
2214
- Điểm
734
- Cảm ơn
2558
Uh anh
- kaibaseto


- azkiemphai

- DVS297
- Trả lời
4066
- Điểm
59133
- Cảm ơn
4034
:v chúc có bt pp hệ số bất định ko
- azkiemphai


- kaibaseto

- Chưa có nhóm
- Trả lời
2214
- Điểm
734
- Cảm ơn
2558
Ko anh Cái này là e tách mò nó ra:v Hệ số bất định là cái gì chả hiểu
- kaibaseto
Xem thêm:
- >> Tuyển tập 100+ đề bài đọc hiểu Ngữ Văn lớp 9


- minhvanha2006

- Chưa có nhóm
- Trả lời
760
- Điểm
31024
- Cảm ơn
503
- minhvanha2006
- 11/01/2021

Đáp án:
Giải thích các bước giải:
a)x4 - 6x3 + 12x2 - 14x + 3
=x4 - 2x3 + 3x2 - 4x³ + 8x² - 12x + x² - 2x + 3
=x²(x² - 2x + 3) - 4x(x² - 2x + 3) + (x² - 2x + 3)
=(x² - 4x + 1)(x² - 2x + 3)
b)4x4 + y4 - 6x3 + 12x2 - 14x + 3
=4x4 + 4x²y² + y4 - 4x²y²
=(2x² + y²)² - (2xy)²
=(2x² + y² - 2xy)(2x² + y² + 2xy)
Hãy giúp mọi người biết câu trả lời này thế nào?

Cảm ơn 1
Báo vi phạm
Bạn muốn hỏi điều gì?
Tham Gia Group Dành Cho Lớp 9 - Ôn Thi Vào Lớp 10 Miễn Phí

Bảng tin
Bạn muốn hỏi điều gì?
Lý do báo cáo vi phạm?
Gửi yêu cầu Hủy

Cơ quan chủ quản: Công ty Cổ phần Công nghệ Giáo dục Thành Phát
Tải ứng dụng


- Hướng dẫn sử dụng
- Điều khoản sử dụng
- Nội quy hoidap247
- Góp ý
Inbox: m.me/hoidap247online
Trụ sở: Tầng 7, Tòa Intracom, số 82 Dịch Vọng Hậu, Cầu Giấy, Hà Nội.
Từ khóa » Phân Tích X^4-6x^3+12x^2-14x+3
-
Phân Tích đa Thức Thành Nhân Tử: X^4 -6x^3 +12x^2 -14x +3 - Khóa Học
-
Phân Tích đa Thức Thành Nhân Tử X4-6x3+12x2-14x+3 - Olm
-
Phân Tích X^4-6x^3+12x^2-14x+3 Thành Nhân Tử - Hoc247
-
Phân Tích đa Thức X^4-6x^3+12x^2-14x+3 Thành Nhân Tử - HOC247
-
Phân Tích đa Thức Thành Nhân Tử: P = X^4 - 6x^3 + 12x^2 - 14x + 3
-
Phân Tích đa Thức Thành Nhân Tử X4-6x3+12x2-14x+3 - Hoc24
-
Phân Tích đa Thức Thành Nhân Tử (sử Dụng Phương Pháp Hệ ... - Hoc24
-
Phân Tích đa Thức Thành Nhân Tử: X^4 -6x^3 +12x^2 -14x +3
-
Sử Dụng Phương Pháp Hệ Số Bất định để Phân Tích X^4 - 6x^3 + ...
-
[PDF] Bài 1. Phân Tích đa Thức Sau Thành Nhân Tử: X4 - 6x3 + 12x2 - Hocmai
-
Sử Dụng Phương Pháp Hệ Số Bất định để Phân Tích X^4 – 6x^3 + 12x^2
-
Chuyên đề: Phân Tích đa Thức Thành Nhân Tử - Giáo Án, Bài Giảng
-
Sử Dụng Phương Pháp Hệ Số Bất định để Phân Tích X^4 – 6x^3 + 12x^2