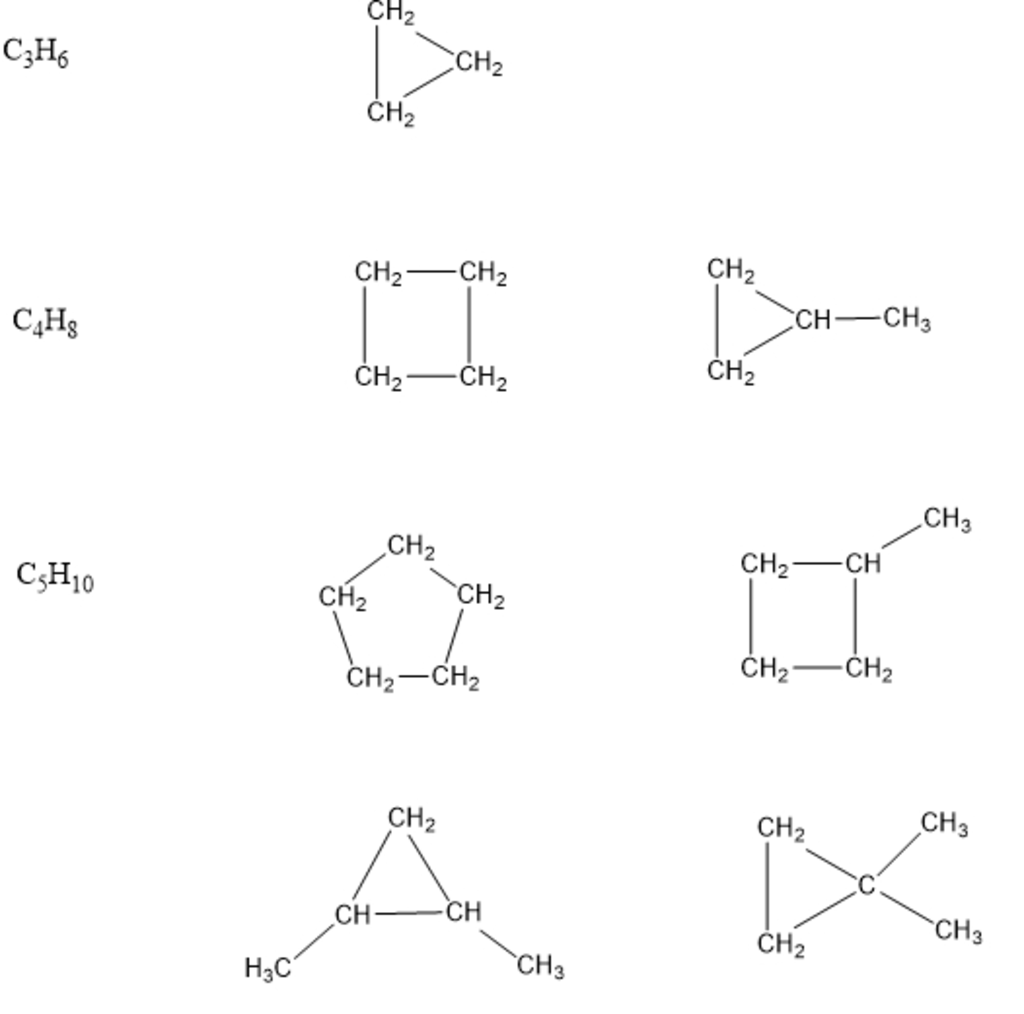
Bài Tập 18: Viết CTCT Mạch Vòng Của : C3H6 , C4H8 , C5H10
Có thể bạn quan tâm


Tìm kiếm với hình ảnh
Vui lòng chỉ chọn một câu hỏi
Tìm đáp án
Đăng nhập- |
- Đăng ký


Hoidap247.com Nhanh chóng, chính xác
Hãy đăng nhập hoặc tạo tài khoản miễn phí!
Đăng nhậpĐăng ký

Lưu vào
+
Danh mục mới


- minhchu1039

- Chưa có nhóm
- Trả lời
0
- Điểm
70
- Cảm ơn
0
- Hóa Học
- Lớp 9
- 10 điểm
- minhchu1039 - 09:28:21 01/03/2020
- Hỏi chi tiết
Báo vi phạm
Hãy luôn nhớ cảm ơn và vote 5* nếu câu trả lời hữu ích nhé!
TRẢ LỜI
minhchu1039 rất mong câu trả lời từ bạn. Viết trả lờiTRẢ LỜI


- diemhuongsphh

- Chưa có nhóm
- Trả lời
714
- Điểm
26715
- Cảm ơn
999
- diemhuongsphh
- 23/04/2020
Đây là một chuyên gia không còn hoạt độngĐây là câu trả lời đã được xác thực
Câu trả lời được xác thực chứa thông tin chính xác và đáng tin cậy, được xác nhận hoặc trả lời bởi các chuyên gia, giáo viên hàng đầu của chúng tôi.
Em xem trong hình vẽ nhé!
Hãy giúp mọi người biết câu trả lời này thế nào?
starstarstarstarstarstarstarstarstarstarstarstarstarstarstarstarstarstarstarstarstarstarstarstarstarstarstarstarstarstar5starstarstarstarstar4 voteGửiHủy
Cảm ơn 2


- diemhuongsphh

- Chưa có nhóm
- Trả lời
714
- Điểm
26715
- Cảm ơn
999
@@ ko e ơi ;'(
- diemhuongsphh


- Monster4800

- Chưa có nhóm
- Trả lời
220
- Điểm
214
- Cảm ơn
144
:( em chỉ muốn được xác thực thôi ạ!
- Monster4800


- diemhuongsphh

- Chưa có nhóm
- Trả lời
714
- Điểm
26715
- Cảm ơn
999
Có gì không hiểu e cứ gửi bài vào web, các bạn cùng các thầy cô sẽ giúp đỡ e nhé!
- diemhuongsphh


- Monster4800

- Chưa có nhóm
- Trả lời
220
- Điểm
214
- Cảm ơn
144
Dạ
- Monster4800


- diemhuongsphh

- Chưa có nhóm
- Trả lời
714
- Điểm
26715
- Cảm ơn
999
Em muốn xác thực câu nào nào?
- diemhuongsphh


- Monster4800

- Chưa có nhóm
- Trả lời
220
- Điểm
214
- Cảm ơn
144
https://hoidap247.com/cau-hoi/627533 câu này ạ Hóa học ạ
- Monster4800


- Monster4800

- Chưa có nhóm
- Trả lời
220
- Điểm
214
- Cảm ơn
144
cảm ơn chuyên gia rất rất rất nhiều lắm luôn
- Monster4800
- nguyenthoa457

- Chưa có nhóm
- Trả lời
0
- Điểm
50
- Cảm ơn
0
h3h9n
- nguyenthoa457
Xem thêm:
- >> Tuyển tập 100+ đề bài đọc hiểu Ngữ Văn lớp 9
Bạn muốn hỏi điều gì?
Tham Gia Group Dành Cho Lớp 9 - Ôn Thi Vào Lớp 10 Miễn Phí

Bảng tin
Bạn muốn hỏi điều gì?
Lý do báo cáo vi phạm?
Gửi yêu cầu Hủy

Cơ quan chủ quản: Công ty Cổ phần Công nghệ Giáo dục Thành Phát
Tải ứng dụng


- Hướng dẫn sử dụng
- Điều khoản sử dụng
- Nội quy hoidap247
- Góp ý
Inbox: m.me/hoidap247online
Trụ sở: Tầng 7, Tòa Intracom, số 82 Dịch Vọng Hậu, Cầu Giấy, Hà Nội.
Từ khóa » Cách Vẽ C5h10
-
Viết Công Thức Cấu Tạo Dạng Mạch Vòng Của Công Thức Hóa Học ...
-
Đồng Phân Của C 5 H 10 Và Gọi Tên
-
Công Thức Cấu Tạo Của C5H10 Và Gọi Tên
-
Đồng Phân Của C 5 H 10 Và Gọi Tên - Haylamdo
-
Viết Công Thức Cấu Tạo, Thu Gọn đầy đủ Của C5H10. Viết Rõ 5 Cách Hộ ...
-
C5H10 Công Thức Câú Tạo Về Mạch Thẳng Mạch Nhánh ... - MTrend
-
Phân Tử C5H10 Có Bao Nhiêu Công Thức Cấu Tạo Mạch Vòng? - Hoc247
-
Viết Công Thức Cấu Tạo đầy đủ Và Thu Gọn Của C5H10
-
Viết Công Thức Cấu Tạo Thu Gọn Của C5H10
-
Câu Hỏi Hợp Chất C5h10 Có Bao Nhiêu Công Thức Cấu Tạo Dạng Mạch
-
Cách đọc Tên 5 Công Thức Cấu Tạo Dạng Mạch Vòng Của C5H10
-
C5h10 Có Bao Nhiêu Công Thức Cấu Tạo
-
Hợp Chất C5H10 Có Bao Nhiêu đồng Phân Anken?