Bài Tập Các định Luật Newton Dạng 2
Có thể bạn quan tâm
Nâng cấp gói Pro để trải nghiệm website VnDoc.com KHÔNG quảng cáo, và tải file cực nhanh không chờ đợi.
Tìm hiểu thêm » Mua ngay Từ 79.000đ Hỗ trợ ZaloChuyên đề Động lực học chất điểm
Nhằm giúp học sinh ôn luyện nâng cao kết quả học tập môn Lý 10, mời các bạn tham khảo Bài tập Các định luật Newton dạng 2 thuộc chương trình chuyên đề Vật lý 10.
Vật trượt trên mặt phẳng ngang, mặt phẳng nghiêng (Áp dụng định luật 3 Niutơn)
A. Phương pháp & Ví dụ
Áp dụng định luật
- Định luật III Niu Tơn
Vật m1 tương tác m2 thì: F12→ = - F21→
Độ lớn: F12 = F21 suy ra m2a2 = m1a1
Bài tập vận dụng
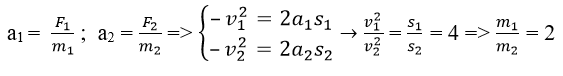
Bài 1: Hai quả cầu chuyển động trên mặt phẳng nằm ngang, quả cầu 1 chuyển động với vận tốc 4 m/s đến va chạm vào quả cầu 2 đang đứng yên. Sau va chạm cả hai quả cầu cùng chuyển động theo hướng cũ của quả cầu 1 với cùng vận tốc 2 m/s. Tính tỉ số khối lượng của hai quả cầu.
Hướng dẫn:
Ta có: v1 = 4 m/s và v'1 = 2 m/s
v2 = 0 m/s và v’2 = 2 m/s
Gọi t là thời gian tương tác giữa hai quả cầu và chọn chiều dương là chiều chuyển động của quả cầu 1. Áp dụng định luật 3 Niu Tơn ta có:
m2a2 = m1a1 suy ra m1(v’1 – v1)/t = m2(v’2 – v2)/t
Vậy m1/m2 = 1
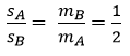
Bài 2: Hai xe A và B cùng đặt trên mặt phẳng nằm ngang, đầu xe A có gắn mộ lò xo nhẹ. Đặt hai xe sát nhau để lò xo bị nén rồi buông nhẹ để hai xe chuyển động ngược chiều nhau. Tính từ lúc thả tay, xe A và B đi được quãng đường lần lượt là 1 m và 2 m trong cùng một khoảng thời gian. Biết lực cản của môi trường tỉ lệ với khối lượng của xe. Tỉ số khối lượng của xe A và xe B là?
Hướng dẫn:
Vận tốc của vật bị bật bị bật ra sau khi buông tay là
F1 = F2 nên 
Do lực cản nên chuyển động chậm dần và lực cản tỉ lệ với khối lượng nên:

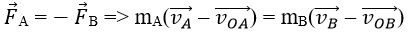
Theo định luật 3 Niu tơn ta có:
FAB = - FBA ⇒ mAaA = mBaB
Vậy mA/mB = aB/aA (1)
Lại có s = (1/2).at2 suy ra sB/sA = aB/aA = 2 (2)
Từ (1) và (2) suy ra 
Bài 3: Một viên bi A có khối lượng 300 g đang chuyển động với vận tốc 3 m/s thì va chạm vào viên bi B có khối lượng 600 g đang đứng yên trên mặt bàn nhẵn, nằm ngang. Biết sau thời gian va cham 0,2 s, bi B chuyển động với vận tốc 0,5 m/s cùng chiều chuyển động ban đầu của bi A. Bỏ qua mọi ma sát, tốc đọ chuyển động của bi A ngay sau va chạm là?
Hướng dẫn:
Gia tốc chuyển động của bi B

Lực tương tác giữa hai viên bi: FAB = - FBA = mBaB = 0,6.2,5 = 1,5 N
Định luật III Niu Tơn:

Chọn chiều dương cùng chiều chuyển động ban đầu của viên bi A
Chiếu lên chiều dương ta có: 0.3(vA – 3) = -0.6(0.5 – 0) ⇒ vA = 2 m/s
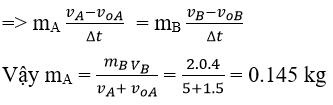
Bài 4: Trên mặt nằm ngang không ma sát xe một chuyển động với độ lớn vận tốc 5 m/s đến va chạm vào xe hai đang đứng yên. Sau va chạm xe một bật lại với vận tốc 150 cm/s; xe hai chuyển động với vận tốc 200 cm/s. Biết khối lượng xe hai là 400g; tính khối lượng xe một?
Hướng dẫn:
Ta có v1 = 5m/s; v’1 = 1.5 m/s; v2 = 0; v’2 = 2 m/s; m2 = 0.4 kg
Gọi t là thời gian tương tác giữa hai xe
Chọn chiều dương là chiều chuyển động của xe một trước va chạm
Áp dụng định luật 3 Niuton ta có:
FAB = - FBA ⇒ mAaA = mBaB

Bài 5: Một xe A đang chuyển động với vận tốc 3.6 km/h đến đụng vào mộ xe B đang đứng yên. Sau khi va chạm xe A dội ngược lại với vận tốc 0.1 m/s còn xe B chạy tiếp với vận tốc 0.55 m/s. Cho mB = 200g; tìm mA?
Hướng dẫn:
Chọn chiều dương là chiều chuyển động ban đầu của xe A
Áp dụng định luật 3 Niuton cho hai xe trên ta có
FAB = - FBA ⇒ mAaA = mBaB

B. Bài tập trắc nghiệm
Câu 1: Câu nào đúng? Trong một cơn lốc xoáy, một hòn đá bay trúng vào một cửa kính, làm vỡ kính.
A. Lực của hòn đá tác dụng vào tấm kính lớn hơn lực của tấm kính tác dụng vào hòn đá.
B. Lực của hòn đá tác dụng vào tấm kính bằng (về độ lớn) lực của tấm kính tác dụng vào hòn đá.
C. Lực của hòn đá tác dụng vào tấm kính nhỏ hơn lực của tấm kính tác dụng vào hòn đá.
D. Viên đá không tương tác với tấm kính khi làm vỡ kính.
Câu 2: Một người thực hiện động tác nằm sấp, chống tay xuống sàn nhà để nâng người lên. Hỏi sàn nhà đẩy người đó như thế nào?
A. Không đẩy gì cả.
B. Đẩy lên.
C. Đẩy xuống.
D. Đẩy sanh bên.
Câu 3: Câu nào đúng? Khi một con ngựa kéo xe, lực tác dụng vào con ngựa làm nó chuyển động về phía trước là
A. lực mà ngựa tác dụng vào xe.
B. lực mà xe tác dụng vào ngựa.
C. lực mà ngựa tác dụng vào mặt đất.
D. lực mà mặt đất tác dụng vào ngựa.
Câu 4: Câu nào đúng? Một người có trọng lượng 500 N đứng trên mặt đất. Lực mà mặt đất tác dụng lên người đó có độ lớn
A. bằng 500 N.
B. bé hơn 500 N.
C. lớn hơn 500 N.
D. phụ thuộc vào nơi mà người đó đứng trên Trái Đất.
Câu 5: Khi nói về một vật chịu tác dụng của lực, phát biểu nào sau đây đúng?
A. Khi không có lực tác dụng, vật không thể chuyển động.
B. Khi ngừng tác dụng lực lên vật, vật này sẽ dừng lại.
C. Gia tốc của vật luôn cùng chiều với chiều của lực tác dụng.
D. Khi có tác dụng lực lên vật, vận tốc của vật tăng
Câu 6: Một trái bóng bàn bay từ xa đến đập vao tường và bật ngược trở lại:
A. Lực của trái bóng tác dụng vào tường nhỏ hơn lực của tường tác dụng vào quả bóng.
B. Lực của trái bóng tác dụng vào tường bằng lực của tường tác dụng vào quả bóng.
C. Lực của trái bóng tác dụng vào tường lớn hơn lực của tường tác dụng vào quả bóng.
D. Không đủ cơ sở để kết luận.
Câu 7: Lực và phản lực không có tính chất sau:
A. luôn xuất hiện từng cặp
B. luôn cùng loại
C. luôn cân bằng nhau
D. luôn cùng giá ngược chiều
Câu 8: Điều nào sau đây là sai khi nói về lực về phản lực:
A. Lực và phản lực luôn xuất hiện và mất đi đồng thời.
B. Lực và phản lực bao giờ cũng cùng loại.
C. Lực và phản lực luôn cùng hướng với nhau.
D. Lực và phản lực không thể cân bằng nhau.
Câu 9: Một vật có khối lượng m = 1kg chuyển động với vận tốc 5 m/s đến va chạm vào vật thứ 2 đang đứng yên. Sau va chạm vật thứ nhất chuyển động ngược lại với vận tốc 1 m/s, còn vật thứ hai chuyển động với vận tốc 2 m/s. Hỏi khối lượng của vật thứ hai là bao nhiêu?
A. 1,5 kg
B. 3 kg
C. 2 kg
D. 2,5 kg
Lời giảiGọi t là thời gian tương tác giữa hai vật
Chọn chiều dương là chiều chuyển động của vật một trước va chạm
Áp dụng định luật 3 Niuton ta có:
FAB = - FBA suy ra mAaA = mBaB
Câu 10: Một quả bóng khối lượng 200 g bay với vận tốc 90 km/h đến đập vuông góc vào tường rồi bật trở lại theo phương cũ với vận tốc 54 km/h. Thời gian va chạm giữa bóng và tường là 0,05s. Độ lớn lực của tường tác dụng lên quả bóng là nhiêu?
A. 120 N
B. 210 N
C. 200 N
D. 160 N
Lời giảiChọn chiều dương cùng chiều chuyển động bật ra của quả bóng
Định luật III Niu Tơn ta có:
Câu 11: Một người có trọng lượng 500 N đứng trên mặt đất. Lực mà mặt đất tác dụng lên người đó có độ lớn?
A. Bằng 500 N.
B. Bé hơn 500 N.
C. Lớn hơn 500 N.
D. Phụ thuộc vào nơi mà ngừời đó đứng trên mặt đất.
Câu 12: Một quả bóng, khối lượng 500g bay với tốc độ 20 m/s đập vuông góc vào bức tường và bay ngược lại với tốc độ 20 m/s. Thời gian va đập là 0,02 s. Lực do bóng tác dụng vào tường có độ lớn và hướng:
A. 1000 N, cùng hướng chuyển động ban đầu của bóng
B. 500 N, cùng hướng chuyển động ban đầu của bóng
C. 1000 N, ngược hướng chuyển động ban đầu của bóng
D. 200 N, ngược hướng chuyển động ban đầu của bóng
Lời giảiTa có: a = v - vo/t = 1000 N
Vậy F = ma = 500 N
Câu 13: Một viên bi A có khối lượng 1kg đang chuyển động với vận tốc 5 m/s thì va chạm vào viên bi B có khối lượng 2kg đang đứng yên trên mặt bàn nhẵn, nằm ngang. Biết sau thời gian va cham 0.3 s, bi B chuyển động với vận tốc 2 m/s cùng chiều chuyển động ban đầu của bi A. Bỏ qua mọi ma sát, tốc độ chuyển động của bi A ngay sau va chạm là?
A. 2 m/s
B. 2.5 m/s
C. 1 m/s
D. 1.5 m/s
Lời giảiGia tốc chuyển động của bi B
Lực tương tác giữa hai viên bi: FAB = - FBA = mBaB = 2. 6.67 = 13.33 N
Định luật III Niu Tơn:
Chọn chiều dương cùng chiều chuyển động ban đầu của viên bi A
Chiếu lên chiều dương ta có: 1.(vA – 5) = - 2.(2 – 0) ⇒ vA = 1 m/s
Câu 14: Một A vật có khối lượng 1kg chuyển động với tốc độ 5 m/s va chạm vào một vật B có khối lượng 3kg đứng yên. Sau va chạm vật A chuyển động ngược trở lại với tốc độ 1 m/s, cho vật B chuyển động với tốc độ bao nhiêu?
A. 2 m/s
B. 3 m/s
C. 4 m/s
D. 5 m/s
Lời giảiGọi t là thời gian tương tác giữa hai vật
Chọn chiều dương là chiều chuyển động của vật A trước va chạm
Áp dụng định luật 3 Niuton ta có:
FAB = - FBA ⇒ mAaA = mBaB
Câu 15: Một quả bóng khối lượng 0,5kg đang bay theo phương ngang với vận tốc 20 m/s thì và theo phương vuông góc vào bức tường thẳng đứng và bay ngược trở lại với vận tốc 15 m/s. Thời gian va chạm giữa bóng và tường là 0,02s. Lực của quả bóng tác dụng vào tường là bao nhiêu?
A. 750 N
B. 375 N
C. 875 N
D. 575 N
Lời giảiChọn chiều dương cùng chiều chuyển động bật ra của quả bóng
Định luật III Niu Tơn ta có:
Mời bạn tham khảo
- Làm online: Bài tập Các định luật Newton dạng 2
- Bài tập Lực hấp dẫn dạng 1
- Bài tập Các định luật Newton dạng 1
Để có kết quả cao hơn trong học tập, VnDoc xin giới thiệu tới các bạn học sinh tài liệu Trắc nghiệm Vật lý 10, Giải bài tập Vật Lí 10, Giải bài tập Hóa 10 nâng cao, .... được biên soạn và đăng tải chi tiết.
Từ khóa » Cách Làm Bài Tập 3 định Luật Newton
-
Bài Tập Về Ba định Luật Niu-tơn Có Lời Giải - Vật Lý 10 Chuyên đề
-
Phương Pháp Giải Bài Tập Về Ba định Luật Niuton | SGK Vật Lí Lớp 10
-
Bài Tập Vật Lý Lớp 10 Các định Luật Newton Vật Lý Phổ Thông
-
Phương Pháp Giải Bài Tập Ba định Luật Newton
-
Bài Tập Ba định Luật NiuTon - Vật Lí 10 - Thầy Phạm Quốc Toản
-
Bài Tập Ba định Luật Niu Tơn - Lớp 10 Môn Vật Lý - YouTube
-
Phương Pháp Giải Bài Tập Ba định Luật Newton MÔN LÝ Lớp 10
-
Lý Thuyết Và Các Dạng Bài Tập Ba định Luật Niutơn ( Hay)
-
Ba định Luật Niu-tơn: Lý Thuyết Và Bài Tập
-
Lý Thuyết Và Các Dạng Bài Tập Ba định Luật Newton
-
Bài Tập định Luật III Newton: Dạng Bài Va Chạm Cơ Bản
-
Lý Thuyết 3 định Luật Niutơn Và Bài ... - ĐIỆN MÁY SHARP VIỆT NAM –
-
Lý Thuyết 3 định Luật Niutơn Và Bài Tập Có Lời Giải Từ ... - MarvelVietnam
-
Giải Vật Lí 10 Bài 10 : Ba định Luật Niu-tơn