Bài Tập Lực Ma Sát Dạng 2 - Tính Quãng đường, Thời Gian đi được ...
Nâng cấp gói Pro để trải nghiệm website VnDoc.com KHÔNG quảng cáo, và tải file cực nhanh không chờ đợi.
Tìm hiểu thêm » Mua ngay Từ 79.000đ Hỗ trợ ZaloChuyên đề Động lực học chất điểm
Bài tập Lực ma sát dạng 2 không chỉ hỗ trợ học sinh làm quen các dạng bài vận dụng trong chuyên đề Vật lý 10 mà còn ôn luyện trực tiếp nhằm nâng cao kết quả học tập của bản thân môn Lý 10.
Dạng 2: Tính quãng đường, thời gian đi được khi có lực ma sát
A. Phương pháp & Ví dụ
Các bước giải bài tập:
- Chọn hệ quy chiếu, chiều dương, gốc tọa độ, gốc thời gian
- Phân tích lực
- Viết phương trình định luật II Newton
- Chiếu phương trình lên chiều dương và tìm gia tốc của vật, từ đó suy ra quãng đường, thời gian vật đi được
Bài tập vận dụng
Bài 1: Một xe điện đang chạy với vận tốc 36 km/h thì bị hãm lại đột ngột. Bánh xe không lăn nữa mà chỉ trượt lên đường ray. Kể từ lúc hãm, xe điện còn đi được bao xa thì dừng hẳn? Biết hệ số ma sát trượt giữa bánh xe và đường ray là 0,2. Lấy g = 9,8 m/s2.
Hướng dẫn:
Đổi 36 km/h = 10 m/s
Kể từ lúc hãm xe, lực ma sát đóng vai trò cản trở chuyển động khiến xe dừng lại
Áp dụng định luật II Newton, ta có:
Fms→ + P→ + N→ = m.a→
Chiếu lên chiều chuyển động:
- Fms = ma ⇒ - μmg = ma
⇒ a = - μg = - 0,2.9,8 = - 1,96 m/s2
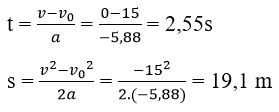
Quãng đường vật đi được kể từ lúc hãm phanh đến khi dừng hẳn:

Bài 2: Một ôtô m = 1,5 tấn chuyển động trên đường nằm ngang chịu tác dụng của lực phát động 3300 N. Cho xe chuyển động với vận tốc đầu 10 m/s. Sau khi đi 75 m đạt vận tốc 72 km/h. Tính lực ma sát giữa xe và mặt đường, thời gian ô tô chuyển động. Sau đó xe tắt máy hãm phanh sau 4s xe dừng hẳn. Tính hệ số ma sát trượt giữa xe và mặt đường (lúc này xe trượt mà không lăn)
Hướng dẫn:
Đổi 72 km/h = 20 m/s
Ta có: v2 – v02 = 2as

Áp dụng định luật II Newton và chiếu lên chiều chuyển động của vật:
⇒ - Fms + F = ma
⇒ Fms = 3300 - 1,5.103.2 = 300 N
Thời gian ô tô chuyển động:

Vận tốc của ô tô trước khi hãm phanh là v = 20 m/s
Gia tốc của vật từ khi hãm phanh đến khi dừng hẳn là:

Ta có: -Fms = ma ⇒ - μmg = ma

Bài 3: Một ô tô đang chuyển động với vận tốc 15 m/s thì tắt máy, hãm phanh. Tính thời gian và quãng đường ô tô đi thêm được cho đến khi dừng lại. Biết hệ số ma sát giữa bánh xe và mặt đường là 0,6. Lấy g = 9,8 m/s2
Hướng dẫn:
Áp dụng định luật II Newton và chiếu lên chiều chuyển động của vật:
⇒ -Fms = ma ⇒ a = - μg = -0,6.9,8 = -5,88 m/s2

Bài 4: Một vật trượt trên mặt phẳng nghiêng dài 5 m, cao 3 m. Tính gia tốc của vật trong 2 trường hợp:
a. Ma sát trên mặt phẳng nghiêng không đáng kể.
b. Hệ số ma sát lăn giữa vật và mặt phẳng nghiêng là 0,2.
Hướng dẫn:
a. Ma sát không đáng kể ⇒ Lực tác động làm vật trượt khỏi mặt phẳng nghiêng là thành phần trọng lực song song với bề mặt tiếp xúc
P1 = P.sinα = mgsinα
Áp dụng định luật II Newton và chiếu lên chiều chuyển động của vật: P1 = ma
⇒ g. sinα = a = 10.(3/5) = 6 m/s2
b. Khi có ma sát:
- Fms + P1 = ma
Và N = P2 = mgcosα
⇒ - μmgcosα + mgsinα = ma
⇒ a = - μgcosα + gsinα = 
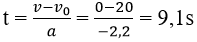
Bài 5: Một ôtô m = 1,5 tấn chuyển động trên đường nằm ngang chịu tác dụng của lực phát động 3300 N cho g = 10 m/s2. Xe đang chuyển động thẳng đều với vận tốc 72 km/h thì tắt máy. Hỏi thời gian từ lúc tắt máy đến khi xe dừng hẳn là bao lâu? Coi lực ma sát là đáng kể
Hướng dẫn:
Ban đầu, xe chuyển động thẳng đều ⇒ Fms = F = 3300 N
Khi tắt máy: - Fms = ma ⇒ -3300 = 1,5.103.a ⇒ a = - 2,2 m/s2
Thời gian từ lúc tắt máy đến khi dừng hẳn: 
B. Bài tập trắc nghiệm
Câu 1: Trên quãng đường AB, một ô tô đang chuyển động với vận tốc tại A là 72 km/h thì chết máy. Biết khi đến B, ô tô có vận tốc 21,6 km/h. Tính thời gian xe đi từ A đến B, coi ma sát đáng kể với hệ số μ = 0,2
A. 5s
B. 7s
C. 9s
D. 10s
Lời giải- Fms = ma ⇒ a = - μg = -0,2.10 = 2 = 
⇒ t = 7s
Câu 2: Một ô tô đang chuyển động với vận tốc 36 km/h thì tắt máy. Tính quãng đường ô tô đi được từ khi tắt máy đến khi dừng hẳn, biết hệ số ma sát giữa bánh xe và mặt đường là 0,4.
A. 12,5 m
B. 12m
C. 10 m
D. 15,4 m
Lời giải- Fms = ma ⇒ a = - μg = -0,4.10 = -4 m/s2
Câu 3: Chọn phát biểu đúng.
A. Khi có lực đặt vào vật mà vật vẫn đứng yên nghĩa là đã có lực ma sát.
B. Lực ma sát trượt luôn tỉ lệ với trọng lượng của vật.
C. Lực ma sát tỉ lệ với diện tích tiếp xúc.
D. Tất cả đều sai.
Lời giảiChọn D
Câu 4: Phát biểu nào sau đây là không chính xác?
A. Lực ma sát nghỉ cực đại lớn hơn lực ma sát trượt.
B. Lực ma sát nghỉ luôn luôn trực đối với lực đặt vào vật.
C. Lực ma sát xuất hiện thành từng cặp trực đối đặt vào hai vật tiếp xúc.
D. Khi vật chuyển động hoặc có xu hướng chuyển động đối với mặt tiếp xúc với nó thì phát sinh lực ma sát.
Lời giảiChọn B
Câu 5: Điều gì xảy ra đối với hệ số ma sát giữa 2 mặt tiếp xúc nếu diện tích tiếp xúc giữa hai mặt tăng lên?
A. tăng lên
B. giảm đi
C. không đổi
D. Tùy trường hợp, có thể tăng lên hoặc giảm đi
Lời giảiChọn C
Câu 6: Một ô tô đang chuyển động với vận tốc 15m/s thì tắt máy. Tính quãng đường ô tô đi được từ khi tắt máy đến khi dừng hẳn, biết hệ số ma sát giữa bánh xe và mặt đường là 0,06.
A. 110,5 m
B. 167,5 m
C. 187,5 m
D. 195,5 m
Lời giải- Fms = ma ⇒ a = - μg = -0,06.10 = -0,6 m/s2
Câu 7: Một ô tô đang chuyển động với vận tốc 24 m/s thì tắt máy. Tính thời gian ô tô đi từ khi tắt máy đến khi dừng hẳn, biết hệ số ma sát giữa bánh xe và mặt đường là 0,3.
A. 8s
B. 10s
C. 12s
D. 20s
Lời giải- Fms = ma ⇒ a = - μg = -0,3.10 = -3 m/s2
Câu 8: Chọn câu chính xác. Đặt vật trên sàn nằm ngang và tác dụng lực F→ không đổi lên vật làm cho gia tốc của vật bằng không:
A. tồn tại lực ma sát nghỉ Fmsn
B. Fmsn ≤ F
C. lực ma sát trượt bằng lực ma sát nghỉ
D. lực ma sát nhỏ hơn hoặc bằng với ngoại lực tác dụng
Lời giảiChọn A
Câu 9: Một vật trượt có ma sát trên một mặt tiếp xúc nằm ngang. Nếu vận tốc của vật đó tăng 2 lần thì độ lớn lực ma sát trượt giữa vật và mặt tiếp xúc sẽ:
A. tăng 2 lần
B. tăng 4 lần
C. giảm 2 lần
D. không đổi
Lời giảiChọn D
Câu 10: Một người đẩy một vật trượt thẳng nhanh dần đều trên sàn nhà nằm ngang với một lực nằm ngang có độ lớn 400 N. Khi đó, độ lớn lực ma sát trượt tác dụng lên vật sẽ:
A. lớn hơn 400 N
B. nhỏ hơn 400 N
C. bằng 400 N
D. bằng độ lớn phản lực của sàn nhà tác dụng lên vật
Lời giảiVì vật trượt thẳng nhanh dần đều nên F > Fms
Câu 11: Một ô tô đang chuyển động với vận tốc 25 m/s thì tắt máy. Tính quãng đường ô tô đi được từ khi tắt máy đến khi dừng hẳn, biết hệ số ma sát giữa bánh xe và mặt đường là 0,2
A. 170 m
B. 150,34 m
C. 156,25 m
D. 167,8 m
Lời giải- Fms = ma ⇒ a = - μg = -0,2.10 = -2 m/s2
Câu 12: Một vật trượt có ma sát trên một mặt tiếp xúc nằm ngang. Nếu khối lượng của vật đó giảm 2 lần thì hệ số ma sát trượt giữa vật và mặt tiếp xúc sẽ:
A. tăng 2 lần.
B. tăng 4 lần
C. giảm 2 lần
D. không đổi
Lời giảiChọn D
Câu 13: Một vật có vận tốc đầu có độ lớn là 10 m/s trượt trên mặt phẳng ngang. Hệ số ma sát trượt giữa vật và mặt phẳng là 0,1. Hỏi vật đi được quãng đường bao nhiêu thì dừng lại ? Lấy g = 10 m/s2
A. 20 m
B. 50 m
C. 100 m
D. 500 m
Lời giải- Fms = ma ⇒ a = - μg = -0,1.10 = -1 m/s2
Câu 14: Chọn phát biểu đúng:
A. Lực ma sát trượt phụ thuộc diện tích mặt tiếp xúc
B. Lực ma sát trượt phụ thuộc vào tính chất của các mặt tiếp xúc
C. Khi một vật chịu tác dụng của lực F mà vẫn đứng yên thì lực ma sát nghỉ lớn hơn ngoại lực
D. Vật nằm yên trên mặt sàn nằm ngang vì trọng lực và lực ma sát nghỉ tác dụng lên vật cân bằng nhau
Lời giảiChọn B
Câu 15: Phát biểu nào sau đây là không chính xác?
A. Lực ma sát nghỉ cực đại lớn hơn lực ma sát trượt.
B. Lực ma sát nghỉ luôn luôn trực đối với lực đặt vào vật.
C. Lực ma sát xuất hiện thành từng cặp trực đối đặt vào hai vật tiếp xúc.
D. Khi vật chuyển động hoặc có xu hướng chuyển động đối với mặt tiếp xúc với nó thì phát sinh lực ma sát.
Lời giảiChọn B
Mời bạn tham khảo
- Làm online: Bài tập Lực ma sát dạng 2
- Bài tập Lực ma sát dạng 1
- Bài tập Lực ma sát dạng 3
- Bài tập Chuyển động của vật bị ném dạng 2
Để có kết quả cao hơn trong học tập, VnDoc xin giới thiệu tới các bạn học sinh tài liệu Trắc nghiệm Vật lý 10, Giải bài tập Vật Lí 10, Giải bài tập Hóa 10 nâng cao, .... được biên soạn và đăng tải chi tiết.
Từ khóa » Bt Lực Ma Sát
-
Phương Pháp Giải Một Số Dạng Bài Tập Về Lực Ma Sát
-
Bài Tập Vật Lý Lớp 10 Lực Ma Sát, Lực Cản, Vật Lý Phổ Thông
-
Lý Thuyết Và Các Dạng Bài Tập Lực Ma Sát ( đầy đủ )
-
Bài Tập Lực Ma Sát Dạng 1
-
Cách Giải Bài Tập Về Lực Ma Sát Cực Hay
-
Giải SBT Vật Lí 8 Bài 6: Lực Ma Sát
-
Lực Ma Sát: Lý Thuyết Và Bài Tập Bài Tập Vật Lý 10
-
Giải Bài Tập Vật Lí 10 - Bài 20: Lực Ma Sát (Nâng Cao)
-
Phương Pháp Giải Các Dạng Bài Tập Về Lực Ma Sát Trượt - YouTube
-
Lực Ma Sát - Vật Lí 10. Thầy: Phạm Quốc Toản - YouTube
-
Bài Tập Về Lực Ma Sát Lớp 10 Nâng Cao - 123doc
-
Bài Tập Lực Ma Sát Cho Các Vật Chuyển động Trên Mặt Phẳng Ngang
-
Bài 13: Lực Ma Sát