Biết Hiệu điện Thế Giữa 2 đầu đoạn Mạch Uab = 60V R1 = 9 ôm R2 ...
Có thể bạn quan tâm


Tìm kiếm với hình ảnh
Vui lòng chỉ chọn một câu hỏi
Tìm đáp án
Đăng nhập- |
- Đăng ký


Hoidap247.com Nhanh chóng, chính xác
Hãy đăng nhập hoặc tạo tài khoản miễn phí!
Đăng nhậpĐăng ký

Lưu vào
+
Danh mục mới


- minhduc419

- Chưa có nhóm
- Trả lời
2
- Điểm
7
- Cảm ơn
3
- Vật Lý
- Lớp 9
- 30 điểm
- minhduc419 - 20:15:34 11/06/2021

- Hỏi chi tiết
Báo vi phạm
Hãy luôn nhớ cảm ơn và vote 5* nếu câu trả lời hữu ích nhé!
TRẢ LỜI


- nguyenngocminhchau97

- Chưa có nhóm
- Trả lời
7994
- Điểm
146130
- Cảm ơn
5649
- nguyenngocminhchau97
- 11/06/2021

Đây là câu trả lời đã được xác thực
Câu trả lời được xác thực chứa thông tin chính xác và đáng tin cậy, được xác nhận hoặc trả lời bởi các chuyên gia, giáo viên hàng đầu của chúng tôi.
Đáp án:
`U_{MN}=-\frac{15}{14}V`
Giải thích các bước giải:
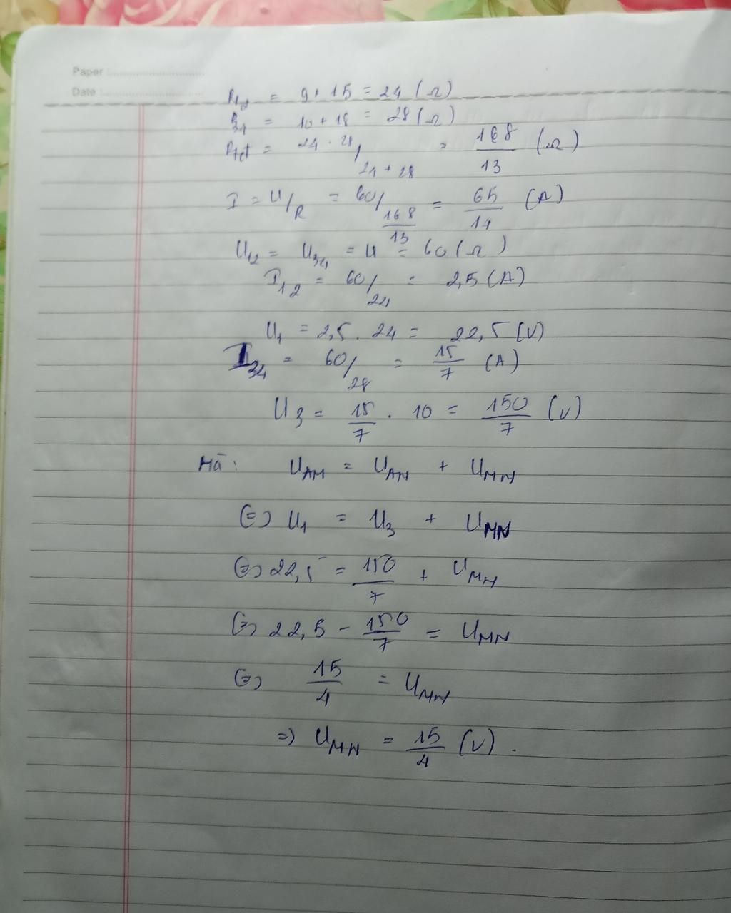
`R_{12}=R_1+R_2=9+15=24 \ (\Omega)`
Cường độ dòng điện qua điện trở `R_1` là:
`I_1=I_{12}=\frac{U_{AB}}{R_{12}}=\frac{60}{24}=2,5 \ (A)`
Hiệu điện thế giữa hai đầu điện trở `R_1` là:
`U_1=I_1R_1=2,5.9=22,5 \ (V)`
`R_{34}=R_3+R_4=10+18=28 \ (\Omega)`
Cường độ dòng điện qua điện trở `R_3` là:
`I_3=I_{34}=\frac{U_{AB}}{R_{34}}=\frac{60}{28}=\frac{15}{7} \ (A)`
Hiệu điện thế giữa hai đầu điện trở `R_3` là:
`U_3=I_3R_3=\frac{15}{7}.10=\frac{150}{7} \ (V)`
→ `U_{MN}=U_{MA}+U_{AN}=-U_1+U_3=-22,5+\frac{150}{7}=-\frac{15}{14} \ (V)`
Hãy giúp mọi người biết câu trả lời này thế nào?
starstarstarstarstarstarstarstarstarstarstarstarstarstarstarstarstarstarstarstarstarstarstarstarstarstarstarstarstarstar2.4starstarstarstarstar8 voteGửiHủy
Cảm ơn 1


- trenendheo

- Chưa có nhóm
- Trả lời
11
- Điểm
205
- Cảm ơn
8
Nhầm r kìa bạn êy
- trenendheo


- trenendheo

- Chưa có nhóm
- Trả lời
11
- Điểm
205
- Cảm ơn
8
Dẫn đến sai kết quả r nhé
- trenendheo


- annhienle

- Chưa có nhóm
- Trả lời
253
- Điểm
4820
- Cảm ơn
86
Sao ra số âm ạ?
- annhienle
Xem thêm:
- >> Tuyển tập 100+ đề bài đọc hiểu Ngữ Văn lớp 9
- trenendheo

- Chưa có nhóm
- Trả lời
11
- Điểm
205
- Cảm ơn
8
- trenendheo
- 11/06/2021


Hãy giúp mọi người biết câu trả lời này thế nào?
starstarstarstarstarstarstarstarstarstarstarstarstarstarstarstarstarstarstarstarstarstarstarstarstarstarstarstarstarstar3starstarstarstarstar5 voteGửiHủy
Cảm ơn 3
Báo vi phạm


- trenendheo

- Chưa có nhóm
- Trả lời
11
- Điểm
205
- Cảm ơn
8
Mấy chỗ Umn bạn sửa lại là Unm giúp mk nhé sr
- trenendheo
Bạn muốn hỏi điều gì?
Tham Gia Group Dành Cho Lớp 9 - Ôn Thi Vào Lớp 10 Miễn Phí

Bảng tin
Bạn muốn hỏi điều gì?
Lý do báo cáo vi phạm?
Gửi yêu cầu Hủy

Cơ quan chủ quản: Công ty Cổ phần Công nghệ Giáo dục Thành Phát
Tải ứng dụng


- Hướng dẫn sử dụng
- Điều khoản sử dụng
- Nội quy hoidap247
- Góp ý
Inbox: m.me/hoidap247online
Trụ sở: Tầng 7, Tòa Intracom, số 82 Dịch Vọng Hậu, Cầu Giấy, Hà Nội.
Từ khóa » Tính Unm
-
Mối Liên Hệ Giữa Hiệu điện Thế UMN - U MN - Khóa Học
-
Mối Liên Hệ Giữa Hiệu điện Thế UMN Và Hiệu điện Thế UNM Là
-
Mối Liên Hệ Giữa Hiệu điện Thế UMN Và Hiệu điện Thế UNM Là:
-
Unum Ước Tính Đồng Thuận (UNM)
-
Giá UNIUM | Giá UNM, Quy đổi Giá Sang USD, Biểu đồ Giá
-
Tính Giá Trị Của Unm - Vật Lí 11 - HOCMAI Forum
-
Mối Liên Hệ Giưa Hiệu điện Thế UMN Và Hiệu điện Thế UNM Là UMN ...
-
Hệ Thống Y Tế UNM | Albuquerque, New Mexico
-
Cho Mạch điện Như Hình Vẽ Biết Hiệu điện Thế Giữa Hai đầu đoạn ...
-
Curanderismo Class At UNM - Trang Chủ | Facebook
-
Trường University Of New Mexico ở United States | IDP Vietnam