Biết Sin3x Là Một Nguyên Hàm Của Hàm Số F(x).e^x, Họ Tất Các Nguyên ...
Có thể bạn quan tâm


Tìm kiếm với hình ảnh
Vui lòng chỉ chọn một câu hỏi
Tìm đáp án
Đăng nhập- |
- Đăng ký


Hoidap247.com Nhanh chóng, chính xác
Hãy đăng nhập hoặc tạo tài khoản miễn phí!
Đăng nhậpĐăng ký

Lưu vào
+
Danh mục mới
- nguyenxuanduc1826

- Chưa có nhóm
- Trả lời
0
- Điểm
5
- Cảm ơn
0
- Toán Học
- Lớp 12
- 50 điểm
- nguyenxuanduc1826 - 09:23:04 19/03/2021
- Hỏi chi tiết
Báo vi phạm
Hãy luôn nhớ cảm ơn và vote 5* nếu câu trả lời hữu ích nhé!
TRẢ LỜI


- giakhanhduong

- Chưa có nhóm
- Trả lời
6391
- Điểm
81375
- Cảm ơn
4323
- giakhanhduong
- 19/03/2021

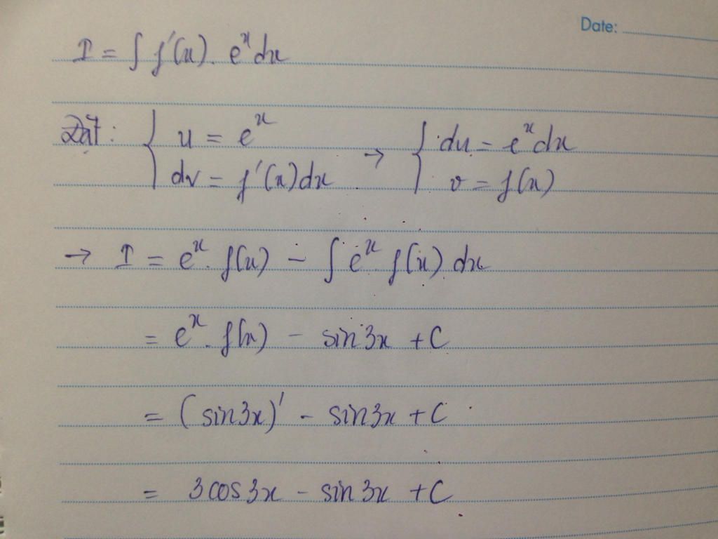
Đáp án:
Giải thích các bước giải:



Hãy giúp mọi người biết câu trả lời này thế nào?
Cảm ơn 1
Báo vi phạm


- gainhangheo2506

- Chưa có nhóm
- Trả lời
8101
- Điểm
162171
- Cảm ơn
5586
- gainhangheo2506
- 22/07/2021
Đây là một chuyên gia không còn hoạt độngBạn tham khảo nhé:

Hãy giúp mọi người biết câu trả lời này thế nào?
starstarstarstarstarstarstarstarstarstarstarstarstarstarstarstarstarstarstarstarstarstarstarstarstarstarstarstarstarstarstarstarstarstarstarGửiHủy
Cảm ơn
Báo vi phạm
Bạn muốn hỏi điều gì?
Group 2K8 ôn Thi ĐGNL & ĐGTD Miễn Phí

Bảng tin
Bạn muốn hỏi điều gì?
Lý do báo cáo vi phạm?
Gửi yêu cầu Hủy

Cơ quan chủ quản: Công ty Cổ phần Công nghệ Giáo dục Thành Phát
Tải ứng dụng


- Hướng dẫn sử dụng
- Điều khoản sử dụng
- Nội quy hoidap247
- Góp ý
Inbox: m.me/hoidap247online
Trụ sở: Tầng 7, Tòa Intracom, số 82 Dịch Vọng Hậu, Cầu Giấy, Hà Nội.
Từ khóa » Sin3x Nguyên Hàm
-
Tìm Nguyên Hàm F(x)=sin(3x) | Mathway
-
[LỜI GIẢI] Tìm Nguyên Hàm Của Hàm Số F( X ) = Sin 3x. - Tự Học 365
-
Họ Nguyên Hàm Của Hàm Số F(x)= Sin3x Là
-
Tìm Nguyên Hàm Của Hàm Số F(x) = Sin3x Tích Phân Của Sin3xdx
-
Họ Nguyên Hàm Của Hàm Số F(x) = Sin3x Là: - HOC247
-
Tìm Nguyên Hàm Của Hàm Số Fx=sin3x
-
Họ Nguyên Hàm Của Hàm Số F(x)= Sin3x Là
-
Họ Nguyên Hàm Của Hàm Số F(x)= Sin3x Là... - Vietjack.online
-
Câu Hỏi: Tìm Nguyên Hàm Của Hàm Số F(x) = Sin 3x. - Học Môn Toán
-
Mệnh đề Nào Sau đây đúng A. Tích Phân Sin3x...
-
Tìm Nguyên Hàm Của Hàm Số F(x)=sin^n3x
-
Tìm Nguyên Hàm Của Hàm Số Sau:∫sin3xcos5xdx - Selfomy Hỏi Đáp
-
Hàm Số F( X )=cos 3x Là Nguyên Hàm Của Hàm Số: - Sách Toán