Bộ đề Thi Giữa Học Kì 2 Môn Toán Lớp 10 (Có đáp án)
Có thể bạn quan tâm
-
user Free Nâng cấp PRO Đăng nhập Thành viên
-
Mầm non -
Lớp 1 -
Lớp 2 -
Lớp 3 -
Lớp 4 -
Lớp 5 -
Lớp 6 -
Lớp 7 -
Lớp 8 -
Lớp 9 -
Lớp 10 -
Lớp 11 -
Lớp 12 -
Thi vào lớp 6 -
Thi vào lớp 10 -
Thi Tốt Nghiệp THPT -
Đánh giá năng lực -
Đại Học - Cao Đẳng -
Hỏi bài -
Trắc nghiệm Online -
Tiếng Anh -
Thư viện Học liệu -
Bài tập cuối tuần -
Bài tập Hàng ngày -
Thư viện Đề thi -
Giáo Án - Bài Giảng -
Giải bài tập -
Xem tất cả danh mục
-
- Hôm nay +3
- Ngày 2 +3
- Ngày 3 +3
- Ngày 4 +3
- Ngày 5 +3
- Ngày 6 +3
- Ngày 7 +5
Nâng cấp gói Pro để trải nghiệm website VnDoc.com KHÔNG quảng cáo, và tải file cực nhanh không chờ đợi.
Tìm hiểu thêm » Mua ngay Từ 79.000đ Hỗ trợ Zalo
VnDoc-Tảitàiliệu,vănbảnphápluật,biểumẫumiễnphíSỞGIÁODỤCVÀĐÀOTẠOTHANHHÓATrườngTHPTĐàoDuyTừĐỀKIỂMTRACHẤTLƯỢNGGIỮAKÌIINĂMHỌC2014-2015Mônthi:Toánhọc-Khối:10Thờigianlàmbài:90phút(khôngkểthờigiangiaođề)CâuI.(2,0điểm).Chobấtphươngtrình:0452 mxmx(1)1.Giảibấtphươngtrình(1)vớim=12.Tìmmđểbấtphươngtrình(1)nghiệmđúngRxCâuII.(3,0điểm).Giảicácphươngtrìnhvàbấtphươngtrìnhsau:1.2822xxx2.21234xxxx3.xxx7122CâuIII.(1,0điểm).Giảihệphươngtrìnhsau:8411yxyxCâuIV.(2,0điểm).TrongmặtphẳngvớihệtọađộOxychođiểmM(2;-3)vàhaiđườngthẳngd1:tytx121d2:x+y+1=01.LậpphươngtrìnhtổngquátcủađườngthẳngđiquaMvàvuônggócvớid22.TìmtọađộđiểmIthuộcđườngthẳngd1saochokhoảngcáchtừIđếnđườngthẳngd2bằng21CâuV.(1,0điểm).TrongmặtphẳngvớihệtọađộOxy,chođiểmM23;23vàđườngthẳng(d):033yx.TìmtọađộhaiđiểmA,BthuộcđườngthẳngdsaochotamgiácMABvuôngtạiMvàgóc060MAB,biếtrằnghoànhđộcủađiểmAnhỏhơnđiểmB.CâuVI.(1,0điểm).Choa,b,clàbasốthựcdươngthỏamãnabc=1.Chứngminhrằng:1111111333333accbba---Hết---Cánbộcoithikhônggiảithíchgìthêm.Họvàtênthísinh:………………...........………….Sốbáodanh……………………
VnDoc-Tảitàiliệu,vănbảnphápluật,biểumẫumiễnphíĐÁPÁN–THANGĐIỂM(Đápángồm02trang)CÂU,ÝNỘIDUNGĐIỂMI(2,0đ)12Vớim=1,(1):x2–5x+44,10xx1.0*m=0,(1))(04Rx*m0,(1)nghiệmđúngRx251602516000162502mmmmmmVậy25160m0.50.5II(3,0đ)125;3;20)3)(5()2(2)2()82(0228222222xxxxxxxxxxxx-----------------------------------------------------------------------------------------------------------Đặt0,)2)(1(ttxx,PTtrởthành t2-t–6=0)(23loaittVớit=3suyra:237323730739233)2)(1(22xxxxxxxx1.01.031361431361347)7(12012077122222xxxxhoăoxxxxxxxxxxx1.0III(1.0đ)Đk:11yx,Đặt)0,(11vuvyuxHệtrởthành53228)4(4842222yxvuuuuvvuvu1.01)1;1()3;2(:2nvtptMquađidcóphươngtrìnhlà:1(x-2)-1(y+3)=0Hayx–y–5=00,50,5
VnDoc-Tảitàiliệu,vănbảnphápluật,biểumẫumiễnphíIVb(2,0đ)23201132121121),()1;21(21tttttdIdttIdI)35;31()1;1(II0.50.5V(1,0đ)MH=d(M;d)=1sin23MAHMHMA,364);33(22aaMAaaAdATađưavềphươngtrình2a2-3a+1=0211aaVớia=1);33(),1;0(bbBdBA,)23;323(),21;23(bbMBMATừđótìmđượcb=0)0,3(BVớia=21);33(),21;23(bbBdBA,)23;323(),1;0(bbMBMATừđótìmđượcb=23)23;23(B(loại).VậyA(0;1),B(3;0)0,50,5VI(1,0đ)Tacó:a3+b3+1=a3+b3+abc=(a+b)(a2-ab+b2)+abc(a+b)ab+abc=ab(a+b+c)>0(1)Từ(1),tacó:cbaccbaabcccbaabba)()(11133Tươngtự:cbaacb3311,cbabac3311Suyra:1111111333333accbba0,50,5Chúý:+Nếuthísinhgiảibằngcáchkhácmàđúngthivẫnchođiểmtốiđa. Bộ đề thi giữa học kì 2 môn Toán lớp 10
Bộ đề thi giữa học kì 2 môn Toán lớp 10 (Có đáp án) được VnDoc sưu tầm và đăng tải xin gửi tới bạn đọc cùng tham khảo. Bài viết được tổng hợp các đề thi giữa học kì 2 môn Toán lớp 10 và có kèm lời giải chi tiết cho các bạn đánh giá so sánh và trau dồi nội dung kiến thức học tập, hy vọng tài liệu này sẽ giúp ích cho các bạn học tốt môn Toán lớp 10 này. Mời các bạn cùng tham khảo chi tiết và tải về bài viết dưới đây nhé.
- Các dạng phương trình đường thẳng
Ngoài ra, VnDoc.com đã thành lập group chia sẻ tài liệu học tập THPT miễn phí trên Facebook: Tài liệu học tập lớp 10. Mời các bạn học sinh tham gia nhóm, để có thể nhận được những tài liệu mới nhất.
- Bộ đề thi học kì 2 môn Toán lớp 10 - Có đáp án
- Đề thi giữa học kì 2 lớp 10 môn Toán năm 2018 - 2019 trường THPT Ngô Quyền - Hải Phòng
- Đề thi giữa học kì 2 lớp 10 môn Toán năm 2018 - 2019 trường THPT Lý Thái Tổ - Bắc Ninh
1. Đề thi giữa học kì 2 môn Toán lớp 10 trường THPT Đào Duy Từ, Thanh Hóa năm học 2014 - 2015
| SỞ GIÁO DỤC VÀ ĐÀO TẠO THANH HÓA Trường THPT Đào Duy Từ | ĐỀ KIỂM TRA CHẤT LƯỢNG GIỮA KÌ II NĂM HỌC 2014 - 2015 Môn thi: Toán học - Khối: 10 Thời gian làm bài: 90 phút (không kể thời gian giao đề) |
Câu I. (2,0 điểm). Cho bất phương trình: mx2 - 5mx + 4 ≥ 0 (1)
- Giải bất phương trình (1) với m = 1
- Tìm m để bất phương trình (1) nghiệm đúng ∀x ∈ R.
Câu II. (3,0 điểm). Giải các phương trình và bất phương trình sau:

Câu III. (1,0 điểm). Giải hệ phương trình sau: ![]()
Câu IV. (2,0 điểm). Trong mặt phẳng với hệ tọa độ Oxy cho điểm M(2; -3) và hai đường thẳng
![]()
- Lập phương trình tổng quát của đường thẳng đi qua M và vuông góc với d2
- Tìm tọa độ điểm I thuộc đường thẳng d1 sao cho khoảng cách từ I đến đường thẳng d2 bằng 1/√2.
Câu V. (1,0 điểm). Trong mặt phẳng với hệ tọa độ Oxy, cho điểm và đường thẳng (d): x + √3y - √3 = 0. Tìm tọa độ hai điểm A, B thuộc đường thẳng d sao cho tam giác MAB vuông tại M và góc MAB = 60o, biết rằng hoành độ của điểm A nhỏ hơn điểm B.
Câu VI. (1,0 điểm). Cho a, b, c là ba số thực dương thỏa mãn abc = 1. Chứng minh rằng:
![]()
Đáp án đề thi giữa học kì 2 môn Toán lớp 10


2. Đề thi giữa học kì 2 môn Toán lớp 10 trường THPT Đa Phúc, Hà Nội năm học 2014 - 2015
| TRƯỜNG THPT ĐA PHÚC | ĐỀ KIỂM TRA LỚP 10 |
| Năm học 2014-2015 | Môn: Toán |
| --------š&›--------- | (Thời gian: 45 phút) |
Câu 1: (6,0 điểm).
Giải các bất phương trình sau:
![]()
Câu 2: (2,0 điểm).
Cho f(x) = 4x2 + 2(1 - m)x + m2 - 3m + 1
a. Tìm các giá trị của tham số m để phương trình f(x) = 0 có hai nghiệm trái dấu.
b. Tìm các giá trị của tham số m để hàm số y= √f(x) có tập xác định là D = R.
Câu 3: (2,0 điểm).
a. Giải bất phương trình sau:
.
b. Cho a, b > 0 và a + b = 1. Tìm giá trị nhỏ nhất của biểu thức: 
Đáp án đề thi giữa học kì 2 môn Toán lớp 10




3. Đề thi giữa học kì 2 môn Toán lớp 10 (cơ bản) trường THPT Phan Văn Trị, Cần Thơ năm học 2015 - 2016
KIỂM TRA: 60 PHÚTMÔN: TOÁN (10 CƠ BẢN)Đề 1:
Câu 1 (2.0 điểm): Xét dấu biểu thức f(x) = (-3x + 1) (x2 + x - 6)
Câu 2: (6.0 điểm): Giải các bất phương trình và hệ bất phương trình sau:

Câu 3 (2.0 điểm): Cho phương trình -3x2 + 2(m - 1)x + 4m2 - 5m - 6 = 0 (1).
Tìm các giá trị của tham số m để phương trình (1) có hai nghiệm trái dấu.
KIỂM TRA 60 PHÚTMÔN: TOÁN (10 CƠ BẢN)Đề 2
Câu 1 (2.0 điểm): Xét dấu biểu thức f(x) = (4x - 3) (-x2 + 3x + 10)
Câu 2: (6.0 điểm): Giải các bất phương trình và hệ bất phương trình sau:

Câu 3 (2.0 điểm): Cho phương trình 3x2 - 2(m - 1)x - 4m2 + 5m + 6 = 0 (1).
Tìm các giá trị của tham số m để phương trình (1) có hai nghiệm trái dấu.
Đáp án đề thi giữa học kì 2 môn Toán lớp 10


4. Đề thi giữa học kì 2 môn Toán lớp 10 (nâng cao) trường THPT Phan Văn Trị, Cần Thơ năm học 2015 - 2016
ĐỀ KIỂM TRA CHUNG KHỐI 10 NÂNG CAOThời gian: 60 phútĐỀ 1
Câu 1/(5đ) Giải phương trình và bất phương trình sau:

Câu 2/ (2,5đ) Cho phương trình x2 - 6mx + 2 - 2m + 9m2 = 0 (1)
Tìm các giá trị của tham số m để phương trình (1) có hai nghiệm dương phân biệt.
Câu 3/ (2,5đ) Tìm các giá trị của tham số m để hệ bất phương trình sau vô nghiệm.
![]()
ĐỀ KIỂM TRA CHUNG KHỐI 10 NÂNG CAOThời gian: 60 phútĐỀ 2
Câu 1/ (5đ) Giải phương trình và bất phương trình sau:

Câu 2/ (2,5đ) Cho phương trình x2 - 6mx + 2 - 2m + 9m2 = 0 (1)
Tìm các giá trị của tham số m để phương trình (1) có hai nghiệm âm phân biệt.
Câu 3/ (2,5đ) Tìm các giá trị của tham số m để hệ bất phương trình sau vô nghiệm
![]()
Đáp án đề thi giữa học kì 2 môn Toán lớp 10


5. Đề thi giữa học kì 2 môn Toán lớp 10 trường THPT Hiệp Bình, Hồ Chí Minh năm 2014 - 2015
TRƯỜNG THPT HIỆP BÌNH
TỔ TOÁN
ĐỀ KIỂM TRA GIỮA HỌC KÌ II - NĂM HỌC 2014 - 2015
MÔN TOÁN – KHỐI 10
Thời gian: 60 phút (không kể thời gian phát đề)
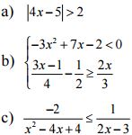
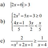
Bài 1 (4điểm ): Giải các bất phương trình sau:

Bài 2 (1 điểm): Giải hệ bất phương trình sau:

Bài 3 (1 điểm): Cho phương trình: x2 - 4mx + m + 3 = 0
Định m để phương trình trên có 2 nghiệm phân biệt
Bài 4 (1 điểm): Cho tam giác ABC biết cạch BC = a = 7, CA = b = 6, C^ = 60o
Tính độ dài cạch AB và diện tích của tam giác ABC.
Bài 5 (2 điểm): Trong mặt phẳng Oxy, cho tam giác ABC có A (-2;3), B (1;-1), C (2;1).
a. Viết phương trình tham số đường thẳng chứa cạnh BC của tam giác ABC.
b. Viết phương trình tổng quát đường thẳng d đi qua A và vuông góc với d': 3x - 2y + 1 =0.
Bài 6 (1 điểm): Cho f(x) = (-1 + m2)x2 - (1 + m)x - m - m2
Tìm tất cả các giá trị của tham số m để f(x) ≤ 0, ∀x ∈ R
Đáp án đề thi giữa học kì 2 môn Toán lớp 10
Bài 1.a

Bài 1.b

Bài 1.c

Bài 1.d

Bài 2

Bài 3

Bài 4

Bài 5.a

Bài 5.b
Đường thẳng (d') có vtpt là (3;-2) suy ra vtcp của đường thẳng (d') là (2;3)
Đường thẳng (d) đia qua A(-2;3) có vtpt là (2;3)
Vậy phương trình tổng quát của (d) là 2x + 3y - 5=0
Bài 6

.........................................
Trên đây VnDoc.com vừa gửi tới bạn đọc bài viết Bộ đề thi giữa học kì 2 môn Toán lớp 10 (Có đáp án). Chắc hẳn qua bài viết bạn đọc đã nắm được những ý chính cũng như trau dồi được nội dung kiến thức của bài học rồi đúng không ạ? Bài viết được tổng hợp các đề thi giữa học kì 2 môn Toán lớp 10 giúp bạn đọc có thể trau dồi luyện tập được nội dung kiến thức về cách giải phương trình và bất phương trình, cách lập phuong trình tổng quát, cách tính tọa độ hai điểm, cách tính giá trị của tham số.... Hi vọng qua bài viết bạn đọc có thêm nhiều tài liệu để học tập tốt hơn. Để giúp bạn đọc có thêm nhiều tài liệu học tập, VnDoc.com mời các bạn học sinh còn có thể tham khảo các Đề thi giữa kì 2 lớp 10, đề thi học kì 2 lớp 10 các môn Toán, Văn, Anh, Lý, Địa, Sinh mà chúng tôi đã sưu tầm và chọn lọc. Với tài liệu lớp 10 này giúp các bạn rèn luyện thêm kỹ năng giải đề và làm bài tốt hơn. Chúc các bạn ôn thi tốt
Để giúp bạn đọc có thể giải đáp được những thắc mắc và trả lời được những câu hỏi khó trong quá trình học tập. VnDoc.com mời bạn đọc cùng đặt câu hỏi tại mục hỏi đáp học tập của VnDoc. Chúng tôi sẽ hỗ trợ trả lời giải đáp thắc mắc của các bạn trong thời gian sớm nhất có thể nhé.
Tham khảo thêm
-
Đề thi học kì 2 môn Toán lớp 10 trường THPT Đoàn Thượng, Hải Dương năm học 2015 - 2016
-
Đề thi học kì 2 môn Toán lớp 10 tỉnh Nam Định năm học 2015 - 2016
Bộ đề thi giữa học kì 2 môn Toán lớp 10 (Có đáp án)
866,1 KB Đóng Chỉ thành viên VnDoc PRO/PROPLUS tải được nội dung này! Đóng 79.000/ tháng Mua ngay Đặc quyền các gói Thành viên PROPLUS PRO Phổ biến nhất Tải tài liệu Cao cấp 1 Lớp 30 lượt tải tài liệu Trải nghiệm Không quảng cáo Làm bài trắc nghiệm không giới hạn Tìm hiểu thêm Mua cả năm Tiết kiệm tới 48%- Chia sẻ bởi:
Vũ Thị thái Lan
Có thể bạn quan tâm
Xác thực tài khoản!Theo Nghị định 147/2024/ND-CP, bạn cần xác thực tài khoản trước khi sử dụng tính năng này. Chúng tôi sẽ gửi mã xác thực qua SMS hoặc Zalo tới số điện thoại mà bạn nhập dưới đây:
Số điện thoại chưa đúng định dạng! Xác thực ngay Số điện thoại này đã được xác thực! Bạn có thể dùng Sđt này đăng nhập tại đây! Lỗi gửi SMS, liên hệ Admin 1 Bình luận Sắp xếp theo Mặc định Mới nhất Cũ nhất-
huynh ly 😍
Thích Phản hồi 2 30/01/21
-
Lớp 10 -
Đề thi giữa kì 2 lớp 10 -
Toán lớp 10
Toán lớp 10
-
Tìm tham số m để bất phương trình chứa căn có nghiệm
-
Hệ bất phương trình bậc hai một ẩn và các bài toán liên quan
-
Bất phương trình chứa căn có đáp án
-
Bất phương trình chứa dấu giá trị tuyệt đối
-
Tìm m để bất phương trình nghiệm đúng với mọi x
-
Tìm tham số m để hệ bất phương trình vô nghiệm
Gợi ý cho bạn
-
Chúc đầu tuần bằng tiếng Anh hay nhất
-
Mẫu đơn xin học thêm
-
Bảng công thức lượng giác dùng cho lớp 10 - 11 - 12
-
Bài tập Toán lớp 10 chương 2: Hàm số bậc nhất - bậc hai
-
Giải Toán 10 bài 1: Mệnh đề
-
Bài tập câu điều kiện có đáp án
-
Bài tập cuối tuần Tiếng Việt lớp 4 Kết nối tri thức Tuần 21 Nâng cao
-
Đề thi khảo sát chất lượng đầu năm lớp 10 trường THPT Văn Quán, Vĩnh Phúc
Từ khóa » đề Kiểm Tra Lớp 10 Giữa Kì 2
-
Đề Thi Giữa HK2 Toán 10
-
Đề Thi Giữa Kì 2 Lớp 10 Môn Toán
-
Đề Kiểm Tra Giữa Kì 2 Toán 10 Có Lời Giải Chi Tiết
-
Đề Thi Toán Lớp 10 Giữa Kì 2 Năm 2021 - 2022 Có đáp án (30 đề)
-
Đề Thi Giữa Học Kì 2 Toán 10
-
Bộ Đề Kiểm Tra Giữa Học Kỳ 2 Môn Toán 10 Năm 2022 Có Đáp Án
-
Đề Kiểm Tra Giữa Kì 2 Sinh 10 Năm 2021 - 2022 (5 Đề)
-
Đề Thi Giữa Kì 2 Toán 10 Năm 2021 - 2022 (2 Đề)
-
Đề Thi Giữa Kì 2 Lớp 10.pdf (.docx) | Tải Miễn Phí
-
Đề Thi Giữa Học Kì 2 Lớp 10 Môn Toán (có đáp án) Sở GD&ĐT Bắc ...
-
Đề Thi Giữa Kì 2 Lớp 10
-
Đề Thi Giữa Kì 2 Lớp 10 - Mới Nhất - MarvelVietnam
-
Nội Dung ôn Tập Kiểm Tra Giữa Học Kì 2 Lớp 10 Môn Toán, Lý, Hóa ...
-
Bộ đề Thi Giữa Học Kì 2 Môn Toán Lớp 10 (Có đáp án) - Thư Viện Đề Thi
-
Đề Thi Giữa Kì 2 Lớp 10 - Mới Nhất
-
Đề Kiểm Tra Tin Học 10 Giữa Học Kì 2 Có đáp án (4 đề)
-
ĐỀ KIỂM TRA GIỮA HỌC KÌ II LỚP 10 CẤU TRÚC HUẾ