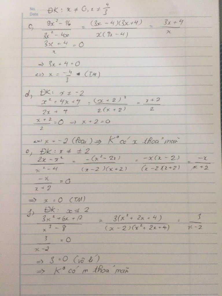
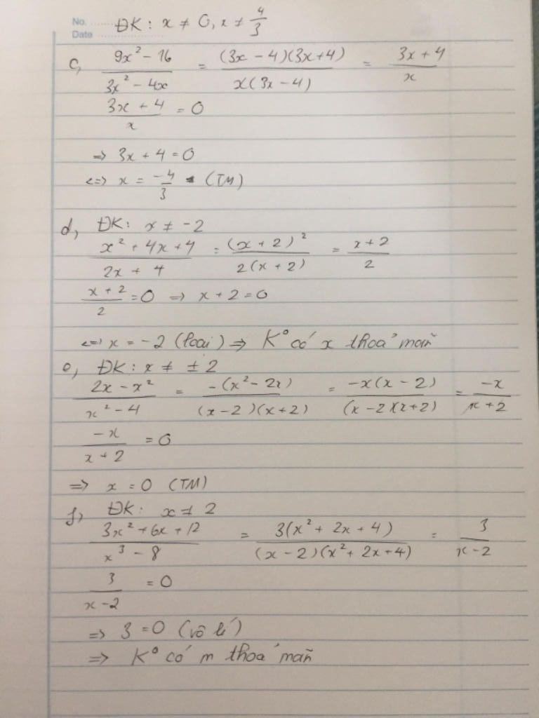
C=9x^2-16/3x^2-4x D=x^2+4x+4/2x+4 E=2x-x^2/x ...


Tìm kiếm với hình ảnh
Vui lòng chỉ chọn một câu hỏi
Tìm đáp án
Đăng nhập- |
- Đăng ký


Hoidap247.com Nhanh chóng, chính xác
Hãy đăng nhập hoặc tạo tài khoản miễn phí!
Đăng nhậpĐăng ký

Lưu vào
+
Danh mục mới


- thuynga69048

- Chưa có nhóm
- Trả lời
0
- Điểm
6
- Cảm ơn
0
- Toán Học
- Lớp 8
- 30 điểm
- thuynga69048 - 09:20:57 15/07/2020
- Hỏi chi tiết
Báo vi phạm
Hãy luôn nhớ cảm ơn và vote 5* nếu câu trả lời hữu ích nhé!
TRẢ LỜI


- quangcuong347

- Chưa có nhóm
- Trả lời
53468
- Điểm
3081
- Cảm ơn
52971
- quangcuong347
- Câu trả lời hay nhất!

- 15/07/2020
Đây là một chuyên gia không còn hoạt độngBạn xem hình

Hãy giúp mọi người biết câu trả lời này thế nào?

Cảm ơn 1
Báo vi phạm


- thuynga69048

- Chưa có nhóm
- Trả lời
0
- Điểm
6
- Cảm ơn
0
đkxđ
- thuynga69048


- thuynga69048

- Chưa có nhóm
- Trả lời
0
- Điểm
6
- Cảm ơn
0
chưa có bạn ơi
- thuynga69048


- quangcuong347

- Chưa có nhóm
- Trả lời
53468
- Điểm
3081
- Cảm ơn
52971
Có rồi bạn. Mình ghi ĐK ấy
- quangcuong347


- thuynga69048

- Chưa có nhóm
- Trả lời
0
- Điểm
6
- Cảm ơn
0
ok
- thuynga69048


- lemoncute

- Anh Em Siêu Nhân
- Trả lời
2977
- Điểm
75969
- Cảm ơn
2768
- lemoncute
- 15/07/2020
Đây là một chuyên gia không còn hoạt độngĐáp án:
Giải thích các bước giải:

Hãy giúp mọi người biết câu trả lời này thế nào?

Cảm ơn 2
Báo vi phạm
Bạn muốn hỏi điều gì?
Tham Gia Group Dành Cho Lớp 8 Chia Sẻ, Trao Đổi Tài Liệu Miễn Phí

Bảng tin
Bạn muốn hỏi điều gì?
Lý do báo cáo vi phạm?
Gửi yêu cầu Hủy

Cơ quan chủ quản: Công ty Cổ phần Công nghệ Giáo dục Thành Phát
Tải ứng dụng


- Hướng dẫn sử dụng
- Điều khoản sử dụng
- Nội quy hoidap247
- Góp ý
Inbox: m.me/hoidap247online
Trụ sở: Tầng 7, Tòa Intracom, số 82 Dịch Vọng Hậu, Cầu Giấy, Hà Nội.
Từ khóa » C=9x^2-16/3x^2-4x
-
Tìm điều Kiện Xác định A=9x^2-16/3x^2-4x - Anh Trần - Hoc247
-
Simplification Or Other Simple Results - Tiger Algebra
-
Find The LCM 9x^2-16 , 3x^2+x-4 | Mathway
-
9x^2 - 16/ 3x^2-4x A/ Với ĐK Nào Của X Thì Gtrị Của Các PT Trên ...
-
Tìm X để Các Phân Thức Sau Xác định : A = ( 9x2 - 16 ) / ( 3x2 - Hoc24
-
16/3x^2 - 4x,9x^2 - 16
-
Divide ( 9x^2 - 24x + 16 ) By ( 3x - 4 ) - Toppr
-
C =9x^2-16/3x^2-4xvoi Gia Tri Nao Cua X Thi Phan Thuc Tren Duoc Xac ...
-
9x^2 – 16/ 3x^2-4x A/ Với ĐK Nào Của X Thì Gtrị Của Các PT Trên đc Xd B
-
9x(x-6)-16=3x(2x+4)+3x(x-6) - Solution
-
If (x) = (9x^2-16/3x-4), What Value Does The Function Approach As X ...
-
EX 3.0 Q2F 3x^2 - X-4/9x^2 - 2x-1 Divide The Following And Write Your
-
[PDF] Untitled