C4H9OH + O2 CO2 + H2O For This Problem, Enter ... - Numerade

Dinesh Singh verified This problem has been solved by verified expert Dinesh Singh 100% free to try See Answer

Question

Given the equation below for the combustion of butanol, set up the mole ratios of the following: C4H9OH + O2 CO2 + H2O For this problem, enter coefficients from the balanced chemical equation (do not reduce fractions) (b) H2O to O2 mol H2O mol O2 (c) CO2 to H2O mol CO2 mol H2O (d) C4H9OH to CO2 mol C4H9OH mol CO2 (e) H2O to C4H9OH mol H2O mol C4H9OH (f) CO2 to O2 mol CO2 mol O2 Given the equation below for the combustion of butanol, set up the mole ratios of the following: C4H9OH + O2 CO2 + H2O For this problem, enter coefficients from the balanced chemical equation (do not reduce fractions) (b) H2O to O2 mol H2O mol O2 (c) CO2 to H2O mol CO2 mol H2O (d) C4H9OH to CO2 mol C4H9OH mol CO2 (e) H2O to C4H9OH mol H2O mol C4H9OH (f) CO2 to O2 mol CO2 mol O2 Show more…

Added by Diane G.

Chemistry: Structure and Properties Chemistry: Structure and Properties Nivaldo Tro 2nd Edition

Step 1

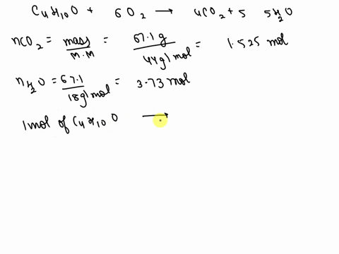
Step 1: Determine the coefficients from the balanced chemical equation: C4H9OH + 6O2 -> 4CO2 + 5H2O Show more…

Show all steps

lock AceChat toggle button Close icon Ace pointing down

Please give Ace some feedback

Your feedback will help us improve your experience

Thumb up icon Thumb down icon Submit Thanks for your feedback! Profile picture Given the equation below for the combustion of butanol, set up the mole ratios of the following: C4H9OH + O2 CO2 + H2O For this problem, enter coefficients from the balanced chemical equation (do not reduce fractions) (b) H2O to O2 mol H2O mol O2 (c) CO2 to H2O mol CO2 mol H2O (d) C4H9OH to CO2 mol C4H9OH mol CO2 (e) H2O to C4H9OH mol H2O mol C4H9OH (f) CO2 to O2 mol CO2 mol O2 Close icon Play audio Feedback Upload button Send button Powered by NumerAI David Collins Danielle Fairburn Kathleen Carty verified

Dinesh Singh and 72 other subject Chemistry 101 educators are ready to help you.

Ask a new question

*

Labs

-

Want to see this concept in action?

NEW

Explore this concept interactively to see how it behaves as you change inputs.

View Labs *

Key Concepts

- Key Concept Premium Feature Explore the core concept behind this problem. View Video Play button View Video Key Concept Premium Feature Explore the core concept behind this problem. Your browser does not support the video tag. Close Try it Now *

Recommended Videos

- during-the-combustion-of-butanol-c4h10o-what-mass-in-g-of-butanol-must-be-reacted-to-produce-671-g-of-products-nb-combustion-is-the-reaction-of-a-substance-with-molecular-oxygen-o2-to-produc-47905

During the combustion of butanol (C4H10O), what mass (in g) of butanol must be reacted to produce 67.1 g of products? N.B. Combustion is the reaction of a substance with molecular oxygen (O2) to produce water and carbon dioxide. (They didn't say which product is 67.1g, CO2 or H2O. They only said products, so the final product of everything after the combustion of butanol)

Supreeta N.

and-set-up-the-mole-ratio-of-a-o2-to-c4h9oh-b-h2o-to-o2-c-co2-to-h2o-d-c4h9oh-to-co2-e-h2o-to-c4h9oh-f-co2-to-o2-37342

And set up the mole ratio of (a.) O2 to C4H9OH (b.) H2O to O2 (c.) CO2 to H2O (d.) C4H9OH to CO2 (e.) H2O to C4H9OH (f.) CO2 to O2

Sri K.

write-the-balanced-chemical-equation-for-the-complete-combustion-of-heptene-mathrmc_7-mathrmh_14-in-

Write the balanced chemical equation for the complete combustion of heptene, $\mathrm{C}_{7} \mathrm{H}_{14}$. In combustion, heptene reacts with oxygen to produce carbon dioxide and water. What is the mole ratio that would enable you to calculate the number of moles of oxygen needed to react exactly with a given number of moles of heptene? What mole ratios would you use to calculate how many moles of each product form from a given number of moles of heptene?

Introductory Chemistry *

Recommended Textbooks

- Chemistry: Structure and Properties

Chemistry: Structure and Properties

Nivaldo Tro 2nd Edition achievement 1,135 solutions Chemistry The Central Science

Chemistry The Central Science

Theodore L. Brown 14th Edition achievement 1,709 solutions Chemistry

Chemistry

Steven S. Zumdahl, Susan A. Zumdahl, Donald J. DeCoste 10th Edition achievement 1,847 solutions *

Transcript

- 00:01 Hello question is we have given the equation for the combustion of butanol. 00:05 Set up the mole ratios for this reaction. 00:07 Okay, butanol is the c4h9 -oh... Need help? Use Ace Ace is your personal tutor. It breaks down any question with clear steps so you can learn. Start Using Ace Ace is your personal tutor for learning Step-by-step explanations Instant summaries Summarize YouTube videos Understand textbook images or PDFs Study tools like quizzes and flashcards Listen to your notes as a podcast

What our educators say

25992 Students Helped in Chemistry 101 “Numerade has a great goal - to increase people's educational levels all around the world. Educators do not complete student's personal homework tasks. We create video tutorials that may be used for many years in the future.” Dr. Mei Lin Chen PhD in Chemistry 101

44601 Students Helped in Chemistry 101 "The format has forced me to think about what knowledge is needed by the student to solve a problem and present it concisely and understandably within the time constraint of the video." Dr. Emily Green PhD in Chemistry 101

30417 Students Helped in Chemistry 101 “Explaining topics while I make Numerade videos has helped me deepen my own understanding and come up with new ways to help my students grasp concepts while I'm teaching.” Professor Jonathan Reed Master's in Chemistry 101

Numerade Get step-by-step video solutionfrom top educators Start your free 7-day trial, Sign up now. Continue with Facebook Continue with Apple Continue with Clever or Name Email Password Create Account By creating an account, you agree to the Terms of Service and Privacy Policy Already have an account? Log In A free answerjust for you

Watch the video solution with this free unlock.

View the Answer Numerade

Log in to watch this video ...and 100,000,000 more!

EMAIL

PASSWORD

Log in OR Continue with Facebook Continue with Apple Continue with Clever Don't have an account? Sign Up

Từ khóa » C4h9oh+o2=co2+h2o