Căn Bậc Hai 3x+7 Tìm X Câu Hỏi 121682
Có thể bạn quan tâm


Tìm kiếm với hình ảnh
Vui lòng chỉ chọn một câu hỏi
Tìm đáp án
Đăng nhập- |
- Đăng ký


Hoidap247.com Nhanh chóng, chính xác
Hãy đăng nhập hoặc tạo tài khoản miễn phí!
Đăng nhậpĐăng ký

Lưu vào
+
Danh mục mới
- thieuky

- Chưa có nhóm
- Trả lời
1
- Điểm
80
- Cảm ơn
0
- Toán Học
- Lớp 9
- 10 điểm
- thieuky - 19:36:04 29/11/2019
- Hỏi chi tiết
Báo vi phạm
Hãy luôn nhớ cảm ơn và vote 5* nếu câu trả lời hữu ích nhé!
TRẢ LỜI


- thuhien58

- Chưa có nhóm
- Trả lời
918
- Điểm
7389
- Cảm ơn
817
- thuhien58
- 11/01/2020
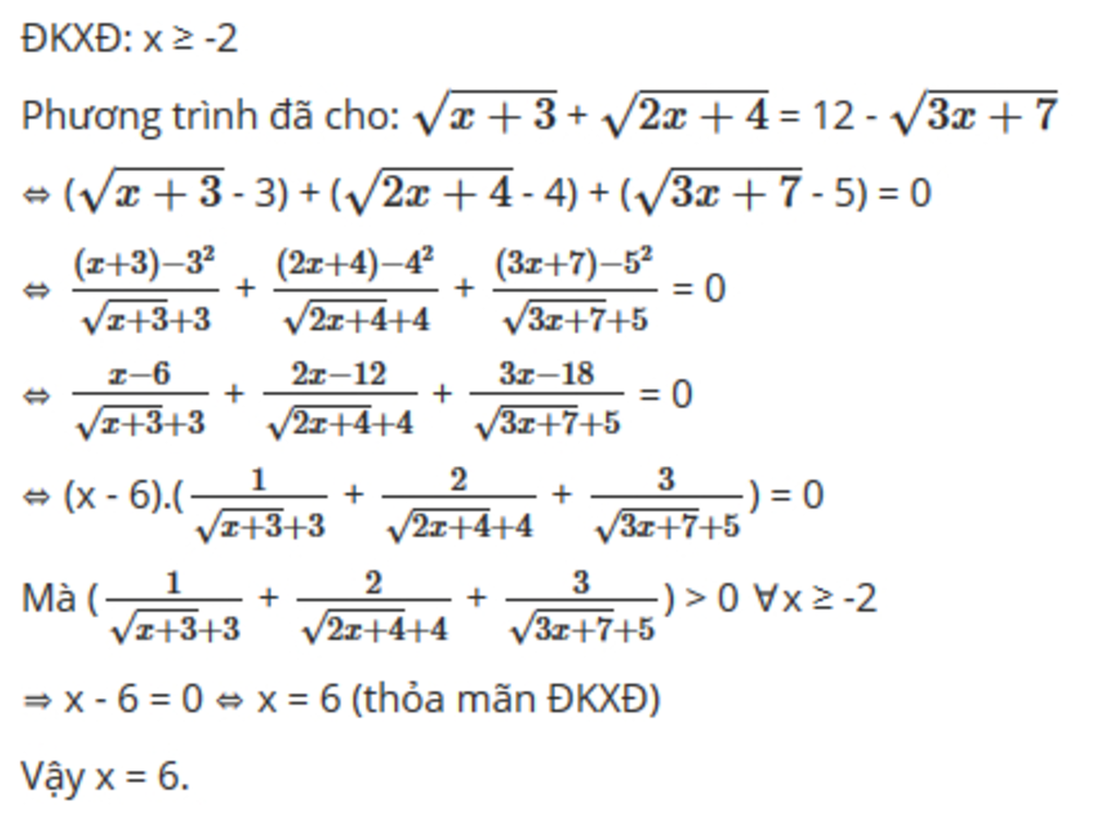
Đây là một chuyên gia không còn hoạt độngĐáp án: x = 6
Giải thích các bước giải:
ĐKXĐ: x ≥ -2
Phương trình đã cho: $\sqrt[]{x+3}$ + $\sqrt[]{2x+4}$ = 12 - $\sqrt[]{3x+7}$
⇔ ($\sqrt[]{x+3}$ - 3) + ($\sqrt[]{2x+4}$ - 4) + ($\sqrt[]{3x+7}$ - 5) = 0
⇔ $\frac{(x+3)- 3^{2}}{\sqrt[]{x+3} + 3}$ + $\frac{(2x+4)- 4^{2}}{\sqrt[]{2x+4} + 4}$ + $\frac{(3x+7)- 5^{2}}{\sqrt[]{3x+7} + 5}$ = 0
⇔ $\frac{x-6}{\sqrt[]{x+3} + 3}$ + $\frac{2x-12}{\sqrt[]{2x+4} + 4}$ + $\frac{3x-18}{\sqrt[]{3x+7} + 5}$ = 0
⇔ (x - 6).($\frac{1}{\sqrt[]{x+3} + 3}$ + $\frac{2}{\sqrt[]{2x+4} + 4}$ + $\frac{3}{\sqrt[]{3x+7} + 5}$) = 0
Mà ($\frac{1}{\sqrt[]{x+3} + 3}$ + $\frac{2}{\sqrt[]{2x+4} + 4}$ + $\frac{3}{\sqrt[]{3x+7} + 5}$) > 0 ∀x ≥ -2
⇒ x - 6 = 0 ⇔ x = 6 (thỏa mãn ĐKXĐ)
Vậy x = 6.
Hãy giúp mọi người biết câu trả lời này thế nào?
starstarstarstarstarstarstarstarstarstarstarstarstarstarstarstarstarstarstarstarstarstarstarstarstarstarstarstarstarstarstarstarstarstarstarGửiHủy
Cảm ơn
Báo vi phạm
Xem thêm:
- >> Tuyển tập 100+ đề bài đọc hiểu Ngữ Văn lớp 9


- quangvinh20072010

- Chưa có nhóm
- Trả lời
1447
- Điểm
28105
- Cảm ơn
1095
- quangvinh20072010
- 12/03/2020

Đáp án:
Giải thích các bước giải:

Hãy giúp mọi người biết câu trả lời này thế nào?
starstarstarstarstarstarstarstarstarstarstarstarstarstarstarstarstarstarstarstarstarstarstarstarstarstarstarstarstarstarstarstarstarstarstarGửiHủy
Cảm ơn
Báo vi phạm
Bạn muốn hỏi điều gì?
Tham Gia Group Dành Cho Lớp 9 - Ôn Thi Vào Lớp 10 Miễn Phí

Bảng tin
Bạn muốn hỏi điều gì?
Lý do báo cáo vi phạm?
Gửi yêu cầu Hủy

Cơ quan chủ quản: Công ty Cổ phần Công nghệ Giáo dục Thành Phát
Tải ứng dụng


- Hướng dẫn sử dụng
- Điều khoản sử dụng
- Nội quy hoidap247
- Góp ý
Inbox: m.me/hoidap247online
Trụ sở: Tầng 7, Tòa Intracom, số 82 Dịch Vọng Hậu, Cầu Giấy, Hà Nội.
Từ khóa » Căn Bậc 2 Của 2x 4
-
Giải X Căn Bậc Hai Của 2x=4 | Mathway
-
Tìm Tập Xác Định Căn Bậc Hai Của 2x-4 | Mathway
-
Tìm Số X Không âm, Biết: Căn 2x < 4
-
Tìm X để √2x-4 Xác định - Hoc24
-
Tìm X để √(2x - 4) Có Nghĩa. Rút Gọn Biểu Thức A - Toán Học Lớp 9
-
Căn (2x -4) =2 Tìm X Biết
-
[LỜI GIẢI] Tập Nghiệm Của Phương Trình Căn X^2 + 2x + 4 = Căn 2 - X Là
-
Bài 4 Trang 7 Sgk Toán 9 – Tập 1, Bài 4. Tìm Số X Không âm, Biết
-
Rút Gọn Biểu Thức A= Căn(x+2căn(2x−4)) + Căn(x-2căn(2x−4))
-
Cho Hàm Số Y = (căn 3 +2) X – 4
-
Phương Trình (căn 2 (x^4)
-
Giải Phương Trình Căn(2x+4)=6x−4/căn(x^2+4)+2căn(2−x)Giải Pt
-
Giải Pt X^3-3x^2 6x 2=căn Bậc Ba (2x^2-2x-4) - Olm
-
Hãy áp Dụng Căn Bậc Hai để Giải Phương Trình Bậc Hai 2x^2-9x+4=0