Câu 1. ( 3 đ )Viết Công Thức Cấu Tạo Của Các Chất Có CTPT Sau
Có thể bạn quan tâm


Tìm kiếm với hình ảnh
Vui lòng chỉ chọn một câu hỏi
Tìm đáp án
Đăng nhập- |
- Đăng ký


Hoidap247.com Nhanh chóng, chính xác
Hãy đăng nhập hoặc tạo tài khoản miễn phí!
Đăng nhậpĐăng ký

Lưu vào
+
Danh mục mới
- nhocga

- Chưa có nhóm
- Trả lời
0
- Điểm
10
- Cảm ơn
0
- Hóa Học
- Lớp 9
- 20 điểm
- nhocga - 20:41:39 10/04/2020
- Hỏi chi tiết
Báo vi phạm
Hãy luôn nhớ cảm ơn và vote 5* nếu câu trả lời hữu ích nhé!
TRẢ LỜI
- pentane205

- Chưa có nhóm
- Trả lời
8770
- Điểm
18140
- Cảm ơn
5342
- pentane205
- 25/04/2024

Đây là câu trả lời đã được xác thực
Câu trả lời được xác thực chứa thông tin chính xác và đáng tin cậy, được xác nhận hoặc trả lời bởi các chuyên gia, giáo viên hàng đầu của chúng tôi.
Câu 1:
$\rm a)$
Công thức cấu tạo của $\rm CH_4$:
$\rm\hspace{1cm}H\\\hspace{1,055cm}|\\H-C-H\\\hspace{1,055cm}|\\\hspace{1cm}H$
Công thức cấu tạo của $\rm C_2H_6$:
$\rm \hspace{1cm}H\hspace{,55cm}H\\\hspace{1,1cm}|\hspace{,75cm}|\\H-C-C-H\\\hspace{1,1cm}|\hspace{,75cm}|\\\hspace{1cm}H\hspace{,55cm}H$
Công thức cấu tạo của $\rm CH_4O$:
$\rm\hspace{1cm}H\\\hspace{1,055cm}|\\H-C-O-H\\\hspace{1,055cm}|\\\hspace{1cm}H$
Công thức cấu tạo của $\rm CH_3Cl$:
$\rm\hspace{1cm}H\\\hspace{1,055cm}|\\H-C-Cl\\\hspace{1,055cm}|\\\hspace{1cm}H$
Công thức cấu tạo của $\rm C_2H_5ONa$:
$\rm \hspace{1cm}H\hspace{,55cm}H\\\hspace{1,1cm}|\hspace{,75cm}|\\H-C-C-O-Na\\\hspace{1,1cm}|\hspace{,75cm}|\\\hspace{1cm}H\hspace{,55cm}H$
Công thức cấu tạo của $\rm C_2H_5Br$:
$\rm \hspace{1cm}H\hspace{,55cm}H\\\hspace{1,1cm}|\hspace{,75cm}|\\H-C-C-Br\\\hspace{1,1cm}|\hspace{,75cm}|\\\hspace{1cm}H\hspace{,55cm}H$
$\rm b)$
Công thức cấu tạo (thu gọn) của $\rm C_4H_{10}$:
$\rm H_3C-CH_2-CH_2-CH_3$
$\rm H_3C-CH-CH_3\\\hspace{1,6cm}|\\\hspace{1,5cm}CH_3$
$\rm c)$
Hình 1: mạch vòng của $\rm C_3H_6$
Hình 2: mạch vòng của $\rm C_4H_8$
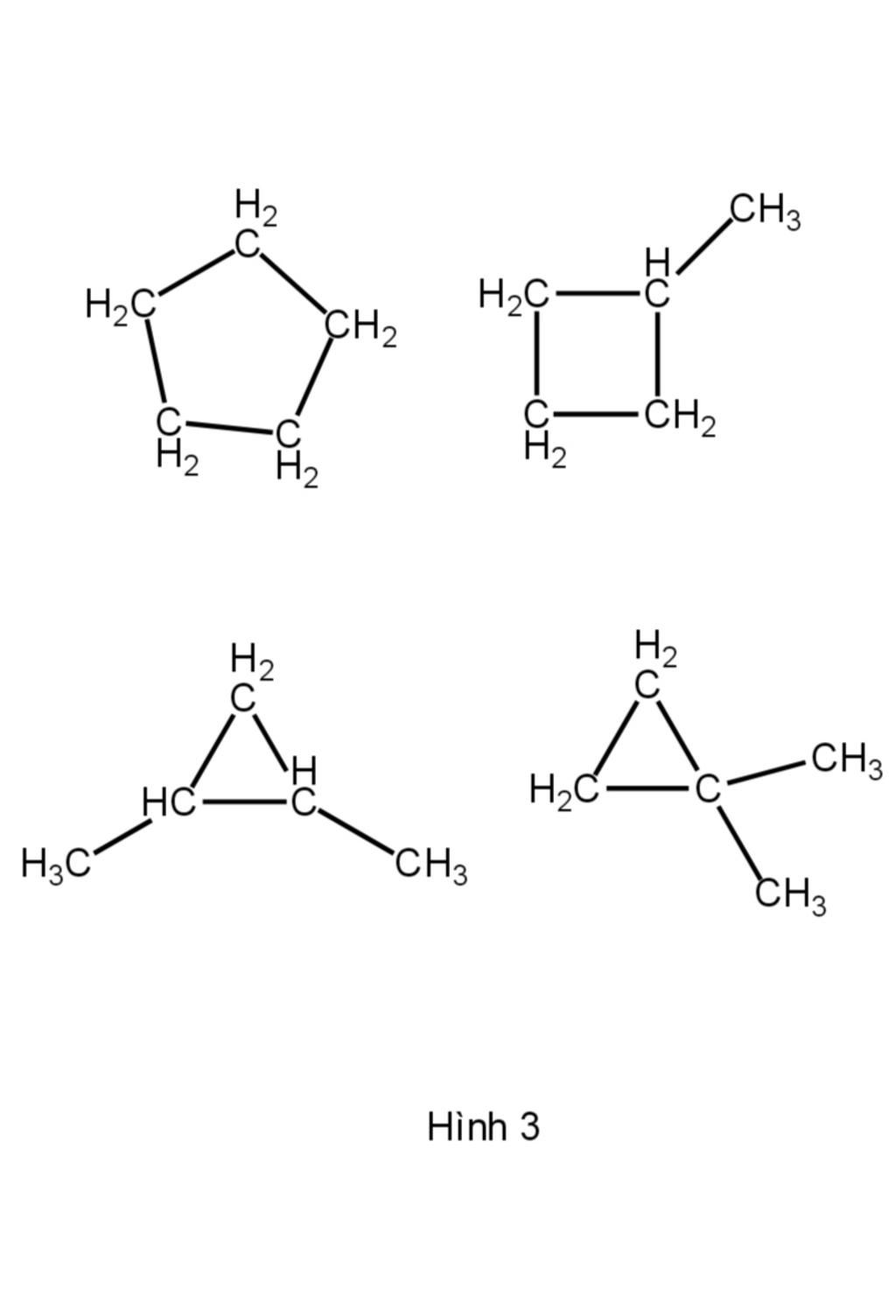
Hình 3: mạch vòng của $\rm C_5H_{10}$
Câu 2:
Hình 4.
Khái niệm:
Hợp chất hữu cơ: là hợp chất của carbon (trừ monoxide, carbon dioxide, cacbonic acid, muối: carbonate, carbide, cyanide…).
Dẫn xuất hydrocarbon: là hợp chất mà trong phân tử ngoài C, H ra còn có một hay nhiều nguyên tử của các nguyên tố khác.
Hợp chất vô cơ: là hợp chất không có mặt carbon (trừ monoxide, carbon dioxide, cacbonic acid, muối: carbonate, carbide, cyanide…).
Câu 3:
$\rm a)$
Bảo toàn nguyên tố H:
$\rm n_H=2n_{H_2O}=\dfrac{8,1×2}{18}=0,9\ (mol)$
$\rm n_C=\dfrac{4,5-0,9}{12}=0,3\ (mol)$
Tỉ lệ: $\rm n_C:n_H=0,3:0,9=1:3$
Công thức nguyên: $\rm (CH_3)_n$
$\rm M_A=(12+3)×n=30\ (g/mol)$
$\rm\to n=2$
CTPT của A: $\rm C_2H_6$
CTCT của A:
$\rm \hspace{1cm}H\hspace{,55cm}H\\\hspace{1,1cm}|\hspace{,75cm}|\\H-C-C-H\\\hspace{1,1cm}|\hspace{,75cm}|\\\hspace{1cm}H\hspace{,55cm}H$
$\rm b)$
$\rm n_A=\dfrac{4,5}{30}=0,15\ (mol)$
Phản ứng xảy ra:
$\rm C_2H_6+\dfrac{7}{2}O_2\xrightarrow{t^°}2CO_2+3H_2O$
Theo phương trình:
$\rm n_{O_2}=\dfrac{7}{2}n_{C_2H_6}=0,525\ (mol)$
$\rm V_{kk}=5V_{O_2}=0,525×22,4×5=58,8\ (L)$
Câu 4:
$\rm a)$
Phản ứng xảy ra:
$\rm CH_4+2O_2\xrightarrow{t^°}CO_2+2H_2O$
Theo phương trình:
$\rm V_{CH_4}=V_{CO_2}=5,6\ (L)$
$\rm b)$
Theo phương trình:
$\rm V_{O_2}=2V_{CO_2}=11,2\ (L)$





Hãy giúp mọi người biết câu trả lời này thế nào?
starstarstarstarstarstarstarstarstarstarstarstarstarstarstarstarstarstarstarstarstarstarstarstarstarstarstarstarstarstarstarstarstarstarstarGửiHủy
Cảm ơn


- minhtridhqt

- Chưa có nhóm
- Trả lời
4779
- Điểm
3725
- Cảm ơn
2644
Quá ghê.
- minhtridhqt


- pentane205

- Chưa có nhóm
- Trả lời
8770
- Điểm
18140
- Cảm ơn
5342
Quá mệt mỏi
- pentane205


- minhtridhqt

- Chưa có nhóm
- Trả lời
4779
- Điểm
3725
- Cảm ơn
2644
Ko bằng xác xuất nha .
- minhtridhqt


- pentane205

- Chưa có nhóm
- Trả lời
8770
- Điểm
18140
- Cảm ơn
5342
Mess mess
- pentane205
Xem thêm:
- >> Tuyển tập 100+ đề bài đọc hiểu Ngữ Văn lớp 9


- dtmyvien

- Chưa có nhóm
- Trả lời
253
- Điểm
2845
- Cảm ơn
144
- dtmyvien
- 10/04/2020

Đáp án:
Giải thích các bước giải:



Hãy giúp mọi người biết câu trả lời này thế nào?
Cảm ơn 1
Báo vi phạm


- dtmyvien

- Chưa có nhóm
- Trả lời
253
- Điểm
2845
- Cảm ơn
144
Mình giải hết cho bạn luôn á. Cho mình câu trả loief hay nhất nha
- dtmyvien
- nhocga

- Chưa có nhóm
- Trả lời
0
- Điểm
10
- Cảm ơn
0
oke
- nhocga
Bạn muốn hỏi điều gì?
Tham Gia Group Dành Cho Lớp 9 - Ôn Thi Vào Lớp 10 Miễn Phí

Bảng tin
Bạn muốn hỏi điều gì?
Lý do báo cáo vi phạm?
Gửi yêu cầu Hủy

Cơ quan chủ quản: Công ty Cổ phần Công nghệ Giáo dục Thành Phát
Tải ứng dụng


- Hướng dẫn sử dụng
- Điều khoản sử dụng
- Nội quy hoidap247
- Góp ý
Inbox: m.me/hoidap247online
Trụ sở: Tầng 7, Tòa Intracom, số 82 Dịch Vọng Hậu, Cầu Giấy, Hà Nội.
Từ khóa » C2h5ona Công Thức Cấu Tạo
-
Môn Hóa Học Lớp 9 Câu 1. ( 3 đ )Viết Công Thức Cấu Tạo Của Các ...
-
C2H5ONa - Sodium Ethoxide - Chất Hoá Học
-
[PDF] Vẽ Công Thức Cấu Tạo Và Công Thức Cấu Tạo Thu Gọn (vẽ 2 Công Thức ...
-
Bài 35. Cấu Tạo Phân Tử Hợp Chất Hữu Cơ - Tài Liệu Text - 123doc
-
C2H5OH + Na → C2H5ONa + H2 - THPT Sóc Trăng
-
Thông Tin Cụ Thể Về C2H5ONa (Sodium Ethoxide) - Chất Hóa Học
-
Rượu Etylic Có Công Thức Là - A. CH3OH
-
C2H5OH + Na → C2H5ONa + H2
-
C2H5ONa - Natri Etylat - Chất Hoá Học - MarvelVietnam
-
Ai Làm Dc Câu Nào Thì Làm Cho Em Với ạ ! Câu 2.. Hợp Chất Hữu ...
-
Trong Các Chất Sau: CH4, CO, C2H6, K2CO3, C2H5ONa Có...
-
Viết Công Thức Cấu Tạo Của Hợp Chất Hữu Cơ BT) Viết Công ... - Hoc24