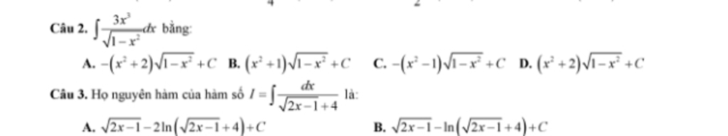
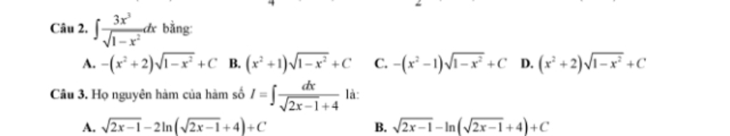
Câu 2. Nguyên Hàm Của 3x^3/căn(1-x^2)dx Bằng
Có thể bạn quan tâm


Tìm kiếm với hình ảnh
Vui lòng chỉ chọn một câu hỏi
Tìm đáp án
Đăng nhập- |
- Đăng ký


Hoidap247.com Nhanh chóng, chính xác
Hãy đăng nhập hoặc tạo tài khoản miễn phí!
Đăng nhậpĐăng ký

Lưu vào
+
Danh mục mới
- thuhuyen78

- Chưa có nhóm
- Trả lời
0
- Điểm
35
- Cảm ơn
0
- Toán Học
- Lớp 12
- 10 điểm
- thuhuyen78 - 20:54:22 11/01/2020

- Hỏi chi tiết
Báo vi phạm
TRẢ LỜI
thuhuyen78 rất mong câu trả lời từ bạn. Viết trả lờiXEM LỜI GIẢI SGK TOÁN 12 - TẠI ĐÂYBạn muốn hỏi điều gì?
Group 2K8 ôn Thi ĐGNL & ĐGTD Miễn Phí

Bảng tin
Bạn muốn hỏi điều gì?
Lý do báo cáo vi phạm?
Gửi yêu cầu Hủy

Cơ quan chủ quản: Công ty Cổ phần Công nghệ Giáo dục Thành Phát
Tải ứng dụng


- Hướng dẫn sử dụng
- Điều khoản sử dụng
- Nội quy hoidap247
- Góp ý
Inbox: m.me/hoidap247online
Trụ sở: Tầng 7, Tòa Intracom, số 82 Dịch Vọng Hậu, Cầu Giấy, Hà Nội.
Từ khóa » Nguyên Hàm 3x^2/ Căn 5+2x^3
-
Tìm Nguyên Hàm Của (x^2+3)/căn((2x-5)^3) - Thủy Tiên
-
Tìm Nguyên Hàm (3x^2-2x+3)/(x^3) | Mathway
-
Tìm Nguyên Hàm (x^3+2x^2)/( Căn Bậc Hai Của X) | Mathway
-
Tìm Nguyên Hàm Của Hàm Số F(x) = X^3/ Căn (4−x^2)
-
Tìm Nguyên Hàm Của Hàm Số F(x) = Căn (5−3x)
-
Tìm Họ Nguyên Hàm Của Hàm Số F(x)= Căn Bậc Hai Của 2x+3 ? Tích ...
-
[LỜI GIẢI] Tìm Nguyên Hàm Của Hàm Số F( X ) = Căn 2x - 1 - Tự Học 365
-
Cho (I=(((x)^(3))căn(((x)^(2))+5)) ), đặt (u=căn(((x)^(2))+5) )
-
Kết Quả Tính Nguyên Hàm Của 2x Căn (5−4x^2) Dx Bằng...
-
Nguyên Hàm I=(căn(9 3x^2))/x^2 - Hoc24