Cho 2 điện Trở R1=20(ôm) Và R2=30(ôm)mắc Song Song Vào Hai ...
Có thể bạn quan tâm


Tìm kiếm với hình ảnh
Vui lòng chỉ chọn một câu hỏi
Tìm đáp án
Đăng nhập- |
- Đăng ký


Hoidap247.com Nhanh chóng, chính xác
Hãy đăng nhập hoặc tạo tài khoản miễn phí!
Đăng nhậpĐăng ký

Lưu vào
+
Danh mục mới


- thanhthuy771

- Chưa có nhóm
- Trả lời
295
- Điểm
2288
- Cảm ơn
219
- Vật Lý
- Lớp 9
- 10 điểm
- thanhthuy771 - 20:31:51 01/11/2019
- Hỏi chi tiết
Báo vi phạm
Hãy luôn nhớ cảm ơn và vote 5* nếu câu trả lời hữu ích nhé!
TRẢ LỜI


- nguyentruongan99

- Chưa có nhóm
- Trả lời
450
- Điểm
3170
- Cảm ơn
224
- nguyentruongan99
- Câu trả lời hay nhất!

- 01/11/2019
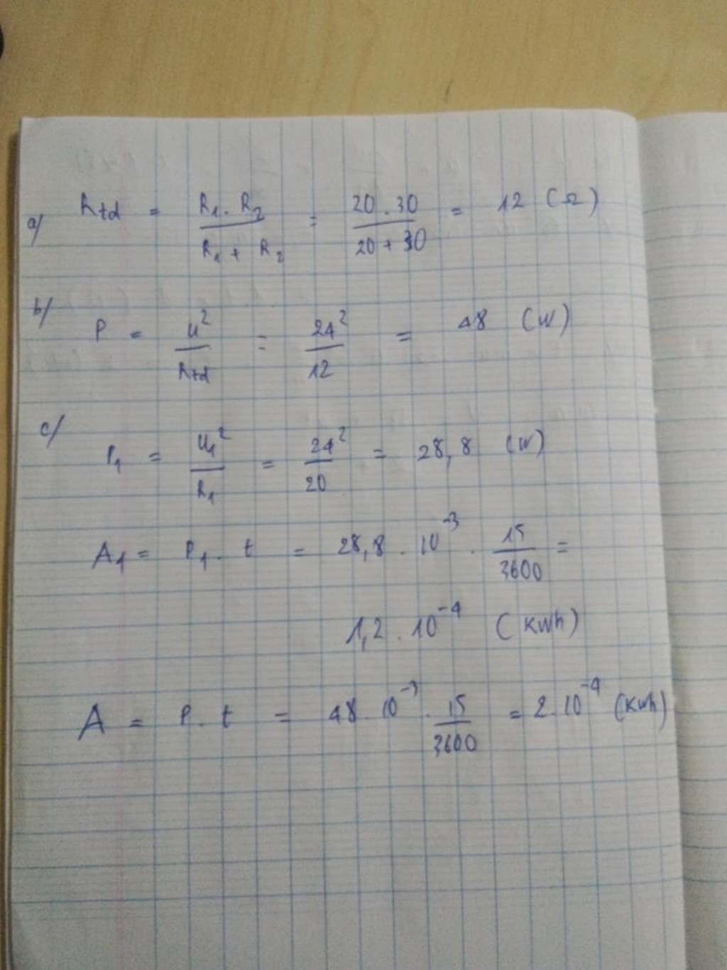
Đây là một chuyên gia không còn hoạt độngĐáp án:a,12 ôm
b, 48 W
c. trong hình
Giải thích các bước giải: trong hình

Hãy giúp mọi người biết câu trả lời này thế nào?
starstarstarstarstarstarstarstarstarstarstarstarstarstarstarstarstarstarstarstarstarstarstarstarstarstarstarstarstarstar5starstarstarstarstar2 voteGửiHủy
Cảm ơn 2
Báo vi phạm


- thanhthuy771

- Chưa có nhóm
- Trả lời
295
- Điểm
2288
- Cảm ơn
219
thank you
- thanhthuy771
Xem thêm:
- >> Tuyển tập 100+ đề bài đọc hiểu Ngữ Văn lớp 9
- daoquangdungsa

- Chưa có nhóm
- Trả lời
14
- Điểm
140
- Cảm ơn
6
- daoquangdungsa
- 01/11/2019

a) do R1 //R2
=>Rtd=R1xR2/R1+R2
=20x30/20+30
=12(ôm :v)
b) công suất tiêu thụ toàn mạch là
P=U2/R ( U bình nhé :v ko bt ghi kiểu j)
=576/12=48W
Hãy giúp mọi người biết câu trả lời này thế nào?
starstarstarstarstarstarstarstarstarstarstarstarstarstarstarstarstarstarstarstarstarstarstarstarstarstarstarstarstarstarstarstarstarstarstarGửiHủy
Cảm ơn
Báo vi phạm


- thanhthuy771

- Chưa có nhóm
- Trả lời
295
- Điểm
2288
- Cảm ơn
219
cảm ơn bạn
- thanhthuy771
Bạn muốn hỏi điều gì?
Tham Gia Group Dành Cho Lớp 9 - Ôn Thi Vào Lớp 10 Miễn Phí

Bảng tin
Bạn muốn hỏi điều gì?
Lý do báo cáo vi phạm?
Gửi yêu cầu Hủy

Cơ quan chủ quản: Công ty Cổ phần Công nghệ Giáo dục Thành Phát
Tải ứng dụng


- Hướng dẫn sử dụng
- Điều khoản sử dụng
- Nội quy hoidap247
- Góp ý
Inbox: m.me/hoidap247online
Trụ sở: Tầng 7, Tòa Intracom, số 82 Dịch Vọng Hậu, Cầu Giấy, Hà Nội.
Từ khóa » Hai điện Trở R1=20 R2=30
-
Có Hai điện Trở R1=20 ôm,R2=30 ôm Mắc Song Song Nhau Vào Hiệu ...
-
Có Hai điện Trở R1=20 ôm, R2= 30 ôm Mắc Nối Tiếp Vào 2 đầu ... - Hoc24
-
Cho 2 điện Trở R1=20 ôm , R2=30 ôm Mắc Nối Tiếp Với Nhau Và ...
-
Cho 2 điện Trở R1 = 20 ôm, R2 = 30 ôm được Mắc Nối Tiếp Vào 2 điểm ...
-
Cho 2 điện Trở. R1 = 20 ôm, R2 = 30 ôm được Mắc Nối Tiếp Nhau Vào ...
-
Tính điện Trở Tương đương Của đoạn Mạch Có Hai điện Trở R1=20 ...
-
Cho Hai điện Trở R1 = 20 ôm R2 = 30 ôm Vào Một Hiệu điện Thế
-
Cho Hai điện Trở R1 = 20 ôm R2 = 30 ôm Mắc Song Song Với Nhau Vào ...
-
Ba điện Trở R1 = 20 Ω, R2 = 30 Ω Và R3 = 60 Ω được Mắc Song Song ...
-
Hai điện Trở R1 = 20 ôm Chịu được Dòng điện 0,5 (A) - Vietjack.online
-
Cho Hai điện Trở R1=20 ôm R2 = 30 ôm
-
Cho Hai điện Trở R1 = 20Ω Mắc Nối Tiếp Với điện Trở R2 = 30Ω Vào ...