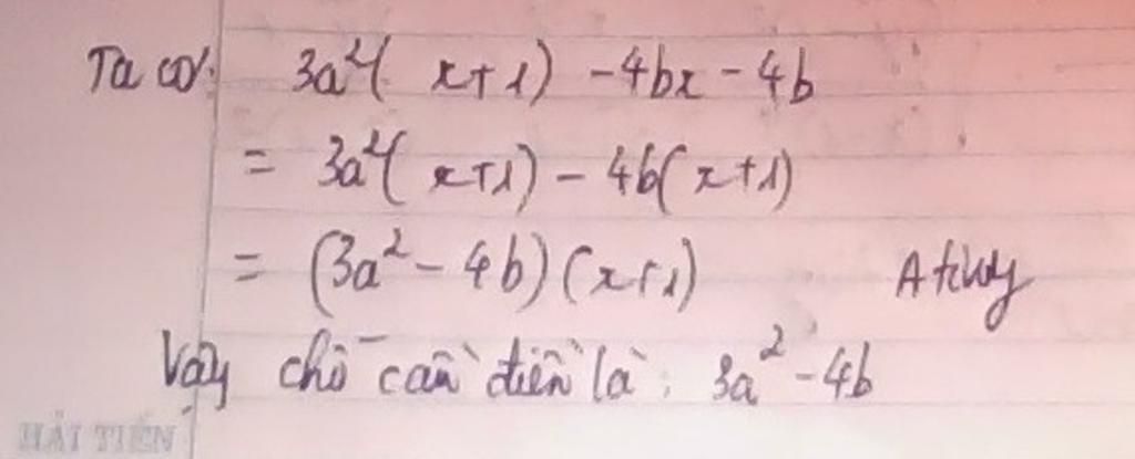
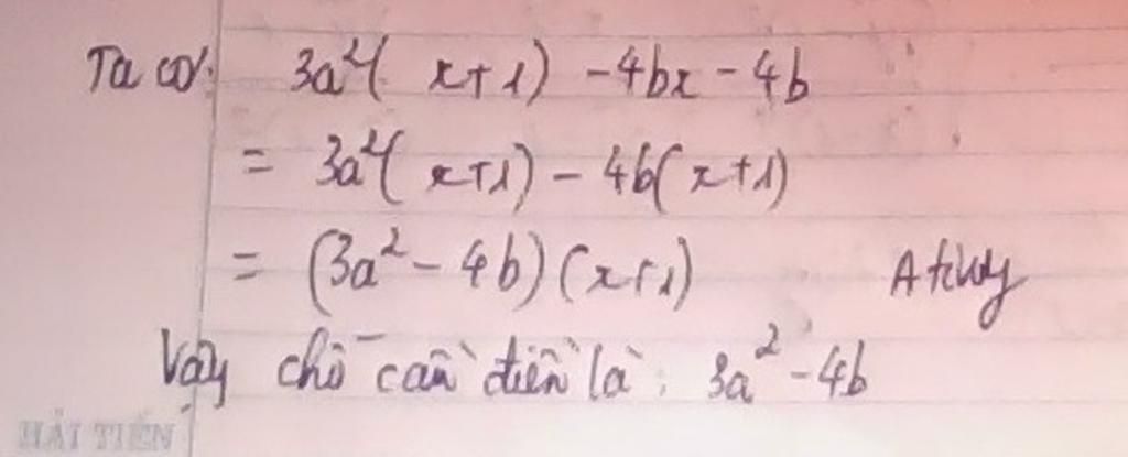
Cho 3a^2 (x+1)-4bx-4b=(x+1)(..) Điền Biểu Thức Thích Hợp Vào Chỗ ...
Có thể bạn quan tâm


Tìm kiếm với hình ảnh
Vui lòng chỉ chọn một câu hỏi
Tìm đáp án
Đăng nhập- |
- Đăng ký


Hoidap247.com Nhanh chóng, chính xác
Hãy đăng nhập hoặc tạo tài khoản miễn phí!
Đăng nhậpĐăng ký

Lưu vào
+
Danh mục mới
- Meicut

- Chưa có nhóm
- Trả lời
0
- Điểm
56
- Cảm ơn
0
- Toán Học
- Lớp 8
- 30 điểm
- Meicut - 13:50:09 06/08/2022
- Hỏi chi tiết
Báo vi phạm
Hãy luôn nhớ cảm ơn và vote 5* nếu câu trả lời hữu ích nhé!
TRẢ LỜI
- Ativity

- Chưa có nhóm
- Trả lời
5160
- Điểm
2782
- Cảm ơn
4574
- Ativity
- Câu trả lời hay nhất!

- 06/08/2022

Đáp án:
Giải thích các bước giải:

Hãy giúp mọi người biết câu trả lời này thế nào?
![]()
Cảm ơn
Báo vi phạm


- KaKarotBestmaths

- Chưa có nhóm
- Trả lời
483
- Điểm
490
- Cảm ơn
305
- KaKarotBestmaths
- 08/08/2022

Đáp án:
`( x + 1 ) . ( 3a^2 - 4b )`
Giải thích các bước giải:
`3a^2 . ( x + 1 ) - 4bx - 4b` `= 3a^2 . ( x + 1 ) - 4b . ( x + 1 )` `= ( x + 1 ) . ( 3a^2 - 4b )`
Hãy giúp mọi người biết câu trả lời này thế nào?
starstarstarstarstarstarstarstarstarstarstarstarstarstarstarstarstarstarstarstarstarstarstarstarstarstarstarstarstarstarstarstarstarstarstarGửiHủy
Cảm ơn
Báo vi phạm
Bạn muốn hỏi điều gì?
Tham Gia Group Dành Cho Lớp 8 Chia Sẻ, Trao Đổi Tài Liệu Miễn Phí

Bảng tin
Bạn muốn hỏi điều gì?
Lý do báo cáo vi phạm?
Gửi yêu cầu Hủy

Cơ quan chủ quản: Công ty Cổ phần Công nghệ Giáo dục Thành Phát
Tải ứng dụng


- Hướng dẫn sử dụng
- Điều khoản sử dụng
- Nội quy hoidap247
- Góp ý
Inbox: m.me/hoidap247online
Trụ sở: Tầng 7, Tòa Intracom, số 82 Dịch Vọng Hậu, Cầu Giấy, Hà Nội.
Từ khóa » Cho 3a2 (x + 1) – 4bx – 4b = (x + 1)(...)
-
Cho 3a2(x + 1) – 4bx – 4b = (x + 1)(…). Điền Biểu Thức Thích Hợp Vào ...
-
Cho 3a2(x + 1) - 4bx - 4b = (x + 1)(...). Điền Biểu Thức Thích Hợp Vào ...
-
Cho (3(a^2)( (x + 1) ) - 4bx
-
Cho 3a^2(x + 1) – 4bx – 4b = (x + 1)(…)....
-
Cho 3a2(x + 1) – 4bx – 4b = (x + điền Biểu Thức Thích Hợp Vào Dấu …
-
Cho 3a2(x + 1) – 4bx – 4b = (x + 1)(…). Điền ... - Lớp 7 - Haylamdo
-
4bx – 4b = (x + 1)(…). Điền Biểu Thức Thích Hợp... - Hoc24
-
Cho 3a2(x + 1) – 4bx – 4b = (x + 1)(…). Điền Biểu ... - Vietjack.online
-
Cho 3a2(x + 1) – 4bx – 4b = (x + 1)(…). Điền Biểu ...
-
Cho 3a2(x + 1) – 4bx – 4b = (x + 1)(…). Điền Biểu ...
-
Cho 3a2(x + 1) – 4bx – 4b = (x + 1)(…).
-
4bx – 4b = (x + 1)(…). Điền Biểu Thức Thích Hợp Vào Dấu...
-
Điền Biểu Thức Thích Hợp Vào Dấu … - Trang Lan - Hoc247