Chứng Minh Công Thức độc Lập Thời Gian: V^2 - V0^2= 2as
Có thể bạn quan tâm
Quảng cáo
2 câu trả lời 43882
Chứng minh công thức độc lập thời gian:
Phân tích bài toánTrong chuyển động thẳng biến đổi đều, các đại lượng:
- vo : vận tốc ban đầu của vật,
- v: vận tốc của vật sau khoảng thời gian t,
- a : gia tốc của vật (hằng số),
- s : quãng đường đi được trong khoảng thời gian t.
Công thức cần chứng minh:
![]()
Công thức vận tốc và quãng đườngTrong chuyển động thẳng biến đổi đều, vận tốc được tính theo công thức:
![]()
Quãng đường đi được sau thời gian t là:
![]()
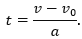
Chứng minh công thứcTừ phương trình (1), ta có:
![]()
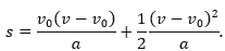
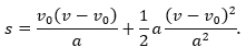
Thay t từ (3) vào phương trình quãng đường (2):
![]()
Thay
, ta được:
![]()
Rút gọn từng thành phần:
![]()
Đưa về mẫu số chung a:
![]()
Kết hợp hai số hạng:
![]()
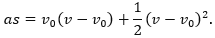
Nhân a vào vế phải:
![]()
Rút gọn:
![]()
Phân tích cụ thể:
![]()
Gom các hệ số:
![]()
Nhân cả hai vế với 2 để khử mẫu:
![]()
Kết luậnVậy công thức độc lập thời gian được chứng minh:
![]()
ko bt
0 bình luận Đăng nhập để hỏi chi tiếtQuảng cáo
Bạn hỏi - Chuyên gia trả lời
Bạn cần hỏi gì?
Gửi câu hỏiCâu hỏi hot cùng chủ đề
-
Đã trả lời bởi chuyên gia Một vật được ném thẳng đứng lên cao với vận tốc là 20m/s từ độ cao h so với mặt đất. Khi chạm đất vậntốc của vật là 30m/s, bỏ qua sức cản không khí. Lấy g = 10m/s 2 . Hãy tính:a. Độ cao h.b. Độ cao cực đại mà vật đạt được so với mặt đất.c. Vận tốc của vật khi động năng bằng 3 lần thế năng.
Từ khóa » Chứng Minh V^2-v0^2=2as
-
Chứng Minh V^2-v0^2=2as Câu Hỏi 11636
-
Chứng Minh : \(v^2-v_o^2=2as\) Giúp Mình Với M.n >////< ~!!!! - Hoc24
-
Chứng Minh V^2-v0^2=2as
-
Chứng Minh Công Thức Sau | Cộng đồng Học Sinh Việt Nam
-
Chứng Minh Công Thức: V^2 - Vo^2 = 2 A.s - MTrend
-
Tại Sao Từ Công Thức V = V0 + At Và S = V0t + 1/2at^2 Lại Suy Ra được ...
-
Chứng Minh V^2-v0^2=2as - Lời Giải 247
-
Chứng Minh S Và V2-Vo2=2as - YouTube
-
Hệ Thống Lý Thuyết, Phương Pháp Giải, Bài Tập Lý 10 - Tài Liệu Text
-
Môn Vật Lý Lớp 10 Từ Công Thức V=v0+at Và S=v0t+1/2at^2 Hãy ...
-
Chương I: Bài Tập Chuyển động Thẳng Biến đổi đều - SoanBai123
-
Làm Thế Nào để Suy Ra Công Thức Sau:s=v2-v02/2a Từ Các Công Thức ...