Chứng Tỏ Phương Trình Luôn Có Nghiệm Với Mọi M
Có thể bạn quan tâm
-
-
-
Mầm non
-
Lớp 1
-
Lớp 2
-
Lớp 3
-
Lớp 4
-
Lớp 5
-
Lớp 6
-
Lớp 7
-
Lớp 8
-
Lớp 9
-
Lớp 10
-
Lớp 11
-
Lớp 12
-
Thi vào lớp 6
-
Thi vào lớp 10
-
Thi Tốt Nghiệp THPT
-
Đánh Giá Năng Lực
-
Khóa Học Trực Tuyến
-
Hỏi bài
-
Trắc nghiệm Online
-
Tiếng Anh
-
Thư viện Học liệu
-
Bài tập Cuối tuần
-
Bài tập Hàng ngày
-
Thư viện Đề thi
-
Giáo án - Bài giảng
-
Tất cả danh mục
-
- Mầm non
- Lớp 1
- Lớp 2
- Lớp 3
- Lớp 4
- Lớp 5
- Lớp 6
- Lớp 7
- Lớp 8
- Lớp 9
- Lớp 10
- Lớp 11
- Lớp 12
- Thi Chuyển Cấp
-
- Hôm nay +3
- Ngày 2 +3
- Ngày 3 +3
- Ngày 4 +3
- Ngày 5 +3
- Ngày 6 +3
- Ngày 7 +5
Nâng cấp gói Pro để trải nghiệm website VnDoc.com KHÔNG quảng cáo, và tải file cực nhanh không chờ đợi.
Tìm hiểu thêm » Mua ngay Từ 79.000đ Hỗ trợ Zalo Phân loại: Tài liệu Tính phí
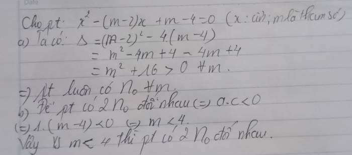
Ngọc Mỹ Nguyễn Toán học Lớp 9 Chứng tỏ phương trình luôn có nghiệm với mọi m Cho pt x2 - (m-2)x +m-4=0 (x ẩn; m tham số)
a.
b. Tìm giá trị của m để phương trình có 2 nghiệm đối nhau
23 3 Chia sẻ Xác thực tài khoản!Theo Nghị định 147/2024/ND-CP, bạn cần xác thực tài khoản trước khi sử dụng tính năng này. Chúng tôi sẽ gửi mã xác thực qua SMS hoặc Zalo tới số điện thoại mà bạn nhập dưới đây:
Số điện thoại chưa đúng định dạng! Xác thực ngay Số điện thoại này đã được xác thực! Bạn có thể dùng Sđt này đăng nhập tại đây! Lỗi gửi SMS, liên hệ Admin-
Mít
Trả lời hay 2 Trả lời 28/01/22
-
Củ Gấu
0 Trả lời 28/01/22
-
Nguyễnn Hiềnn Cho pt x2 - (m-2)x +m-4=0 (x ẩn; m tham số )
a chung to pt luôn có ng voi moi m
Xét Δ = (m- 2)2- 4*(m- 4)= m2- 4m+ 4- 4m+ 16= m2- 8m+ 20= (m- 4)2+ 4>= 4
Δ >= 4> 0 mọi m => pt luôn có hai nghiệm phân biệt với mọi m (đpcm)
b tim giá trị của m để.pt. có 2 ng đối nhau
pt có hai nghiệm đối nhau <=> x1+ x2= 0 <=> m- 2= 0 ==> m= 2
Vậy với m= 2 pt có 2 nghiệm đối nhau
0 Trả lời 28/01/22
Tham khảo thêm
-
Một người thợ ngày đầu tiên may được 20 chiếc. Số mũ ngày thứ hai người thợ đó làm được kém 2 lần
-
Viết số lớn nhất có 4 chữ số khác nhau mà có tổng các chữ số bằng 26
-
1 thùng dầu 37l được chia đều vào 5 can nhỏ
-
Viết tất cả các số có bốn chữ số, mỗi số đều có hàng nghìn là 2, các hàng đều có đủ ba chữ số 4; 6; 8
-
Nam có một đoạn dây dài 20cm. Bạn ấy muốn cắt một đoạn dây dài 5cm từ đoạn dây ban đầu
-
Nhìn tranh kể các vật dùng để đo đơn vị mi-li-lít
-
Một lớp học có 45 học sinh được cô giáo chia đều vào 3 hàng. Hỏi mỗi hàng có bao nhiêu học sinh?
-
Giải bài toán dựa vào tóm tắt:
-
Mẹ Hoa ra chợ mua 3 hộp sữa và 1 gói bánh. Biết 1 hộp sữa cân nặng 180g và 1 gói bánh cân nặng 320g
-
Trong các phép chia có dư với số chia là 5, số dư lớn nhất của các phép chia đó là?
-
Toán học
-
Văn học
-
Tiếng Anh
-
Vật Lý
-
Hóa học
-
Sinh học
-
Lịch Sử
-
Địa Lý
-
GDCD
-
Tin học
-
Công nghệ
-
Nhạc Họa
-
Hỏi Chung
-
Khoa Học Tự Nhiên
Câu hỏi mới
-
Viết số lớn nhất có 4 chữ số khác nhau mà có tổng các chữ số bằng 26
124 7 Lớp 3 -
Viết tất cả các số có bốn chữ số, mỗi số đều có hàng nghìn là 2, các hàng đều có đủ ba chữ số 4; 6; 8. Bạn nào giúp mình nhanh nhé!
128 9 Lớp 3 -
Nhìn tranh kể các vật dùng để đo đơn vị mi-li-lít
34 5 lớp 3 -
Giải phép tính bài toán và lời giải thích
49 7 Lớp 5 Lớp 4 -
Mẹ Hoa ra chợ mua 3 hộp sữa và 1 gói bánh. Biết 1 hộp sữa cân nặng 180g và 1 gói bánh cân nặng 320g. Hỏi mẹ Hoa mua được bao nhiêu gam bánh và sữa?
253 15 Lớp 3 -
Một người thợ ngày đầu tiên may được 20 chiếc. Số mũ ngày thứ hai người thợ đó làm được kém 2 lần số chiếc mũ người đó đã may được ở ngày thứ nhất. Hỏi trong hai ngày người đó đã may được bao nhiêu chiếc mũ?
186 10 Lớp 3 -
Một lớp học có 45 học sinh được cô giáo chia đều vào 3 hàng. Hỏi mỗi hàng có bao nhiêu học sinh?
54 4 Lớp 3 -
Trong các phép chia có dư với số chia là 5, số dư lớn nhất của các phép chia đó là? Giải gấp cho mình với nha!
274 10 Lớp 3 -
1 thùng dầu 37l được chia đều vào 5 can nhỏ. Hỏi mỗi can dầu nhỏ chứa bao nhiêu lít dầu? Thùng dầu còn thừa bao nhiêu lít dầu?
70 5 -
Nam có một đoạn dây dài 20cm. Bạn ấy muốn cắt một đoạn dây dài 5cm từ đoạn dây ban đầu mà không cần dùng thước có vạch chia xăng-ti-mét. Em hãy giúp Nam tìm một cách làm.
180 7
Gửi câu hỏi/bài tập
Toán học
-
Viết số lớn nhất có 4 chữ số khác nhau mà có tổng các chữ số bằng 26
Ngày hỏi: 6 ngày trước 7 câu trả lời -
Viết tất cả các số có bốn chữ số, mỗi số đều có hàng nghìn là 2, các hàng đều có đủ ba chữ số 4; 6; 8. Bạn nào giúp mình nhanh nhé!
Ngày hỏi: 18:03 20/01 9 câu trả lời -
Nhìn tranh kể các vật dùng để đo đơn vị mi-li-lít
Ngày hỏi: 16:03 09/12 5 câu trả lời -
Giải phép tính bài toán và lời giải thích
Ngày hỏi: 18:03 06/12 7 câu trả lời -
Mẹ Hoa ra chợ mua 3 hộp sữa và 1 gói bánh. Biết 1 hộp sữa cân nặng 180g và 1 gói bánh cân nặng 320g. Hỏi mẹ Hoa mua được bao nhiêu gam bánh và sữa?
Ngày hỏi: 14:03 06/12 15 câu trả lời -
Một người thợ ngày đầu tiên may được 20 chiếc. Số mũ ngày thứ hai người thợ đó làm được kém 2 lần số chiếc mũ người đó đã may được ở ngày thứ nhất. Hỏi trong hai ngày người đó đã may được bao nhiêu chiếc mũ?
Ngày hỏi: 22:03 25/11 10 câu trả lời
Từ khóa » Cm Pt Luôn Có Nghiệm Với Mọi M Lớp 10
-
Chứng Minh Phương Trình Luôn Có Nghiệm Với Mọi M
-
Toán 10 - Chứng Minh Phương Trình Luôn Có Nghiệm Với Mọi M
-
Chứng Minh Phương Trình Luôn Có Nghiệm Với Mọi M Ôn Tập Toán 9
-
Chứng Minh Phương Trình Luôn Có Nghiệm Với Mọi M Thuộc R
-
Chứng Tỏ Phương Trình Luôn Có Nghiệm Với Mọi M - Toán Học Lớp 9
-
Chứng Minh Phương Trình Luôn Có Nghiệm Với Mọi M | Thần Chiến
-
Chứng Minh Phương Trình Luôn Có Nghiệm Với Mọi M
-
Cách Chứng Minh Phương Trình Luôn Có Nghiệm Hay Nhất - TopLoigiai
-
Chứng Minh Phương Trình Luôn Có Nghiệm Với Mọi M Lớp 10
-
[LỜI GIẢI] Chứng Minh Rằng Phương Trình Luôn Có Nghiệm Với Mọi M.
-
Chứng Minh Phương Trình (1) Luôn Có Hai Nghiệm Phân Biệt Với Mọi ...
-
Chứng Minh Phương Trình Luôn Có Nghiệm Với Mọi M Lớp 9
-
X2-(m+1)x+m=0 A) CMR: Pt Luôn Có Nghiệm Với Mọi M. B) Tìm Hệ ...