Chứng Tỏ Phương Trình Luôn Có Nghiệm Với Mọi M
Có thể bạn quan tâm
-
-
-
Mầm non
-
Lớp 1
-
Lớp 2
-
Lớp 3
-
Lớp 4
-
Lớp 5
-
Lớp 6
-
Lớp 7
-
Lớp 8
-
Lớp 9
-
Lớp 10
-
Lớp 11
-
Lớp 12
-
Thi vào lớp 6
-
Thi vào lớp 10
-
Thi Tốt Nghiệp THPT
-
Đánh Giá Năng Lực
-
Khóa Học Trực Tuyến
-
Hỏi bài
-
Trắc nghiệm Online
-
Tiếng Anh
-
Thư viện Học liệu
-
Bài tập Cuối tuần
-
Bài tập Hàng ngày
-
Thư viện Đề thi
-
Giáo án - Bài giảng
-
Tất cả danh mục
-
- Mầm non
- Lớp 1
- Lớp 2
- Lớp 3
- Lớp 4
- Lớp 5
- Lớp 6
- Lớp 7
- Lớp 8
- Lớp 9
- Lớp 10
- Lớp 11
- Lớp 12
- Thi Chuyển Cấp
-
- Hôm nay +3
- Ngày 2 +3
- Ngày 3 +3
- Ngày 4 +3
- Ngày 5 +3
- Ngày 6 +3
- Ngày 7 +5
Nâng cấp gói Pro để trải nghiệm website VnDoc.com KHÔNG quảng cáo, và tải file cực nhanh không chờ đợi.
Tìm hiểu thêm » Mua ngay Từ 79.000đ Hỗ trợ Zalo Phân loại: Tài liệu Tính phí
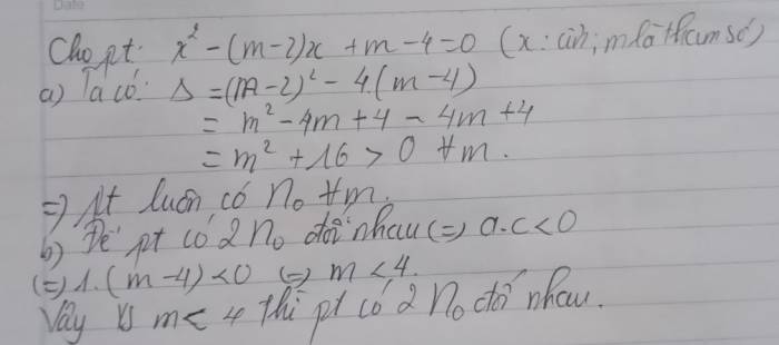
Ngọc Mỹ Nguyễn Toán học Lớp 9 Chứng tỏ phương trình luôn có nghiệm với mọi m Cho pt x2 - (m-2)x +m-4=0 (x ẩn; m tham số)
a.
b. Tìm giá trị của m để phương trình có 2 nghiệm đối nhau
23 3 Chia sẻ Xác thực tài khoản!Theo Nghị định 147/2024/ND-CP, bạn cần xác thực tài khoản trước khi sử dụng tính năng này. Chúng tôi sẽ gửi mã xác thực qua SMS hoặc Zalo tới số điện thoại mà bạn nhập dưới đây:
Số điện thoại chưa đúng định dạng! Xác thực ngay Số điện thoại này đã được xác thực! Bạn có thể dùng Sđt này đăng nhập tại đây! Lỗi gửi SMS, liên hệ Admin-
Mít
Trả lời hay 2 Trả lời 28/01/22
-
Củ Gấu
0 Trả lời 28/01/22
-
Nguyễnn Hiềnn Cho pt x2 - (m-2)x +m-4=0 (x ẩn; m tham số )
a chung to pt luôn có ng voi moi m
Xét Δ = (m- 2)2- 4*(m- 4)= m2- 4m+ 4- 4m+ 16= m2- 8m+ 20= (m- 4)2+ 4>= 4
Δ >= 4> 0 mọi m => pt luôn có hai nghiệm phân biệt với mọi m (đpcm)
b tim giá trị của m để.pt. có 2 ng đối nhau
pt có hai nghiệm đối nhau <=> x1+ x2= 0 <=> m- 2= 0 ==> m= 2
Vậy với m= 2 pt có 2 nghiệm đối nhau
0 Trả lời 28/01/22
Tham khảo thêm
-
Nhìn tranh kể các vật dùng để đo đơn vị mi-li-lít
-
Tìm số có ba chữ số, biết chữ số hàng trăm gấp đôi chữ số hàng chục, chữ số hàng chục gấp ba lần chữ số hàng đơn vị
-
Một lớp học có 45 học sinh được cô giáo chia đều vào 3 hàng. Hỏi mỗi hàng có bao nhiêu học sinh?
-
Tìm m biết: 45 67m < 45 671
-
Trong các phép chia có dư với số chia là 5, số dư lớn nhất của các phép chia đó là?
-
1 thùng dầu 37l được chia đều vào 5 can nhỏ
-
Nam có một đoạn dây dài 20cm. Bạn ấy muốn cắt một đoạn dây dài 5cm từ đoạn dây ban đầu
-
Một người thợ ngày đầu tiên may được 20 chiếc. Số mũ ngày thứ hai người thợ đó làm được kém 2 lần
-
Mẹ Hoa ra chợ mua 3 hộp sữa và 1 gói bánh. Biết 1 hộp sữa cân nặng 180g và 1 gói bánh cân nặng 320g
-
Giải bài toán dựa vào tóm tắt:
-
Toán học
-
Văn học
-
Tiếng Anh
-
Vật Lý
-
Hóa học
-
Sinh học
-
Lịch Sử
-
Địa Lý
-
GDCD
-
Tin học
-
Công nghệ
-
Nhạc Họa
-
Hỏi Chung
-
Khoa Học Tự Nhiên
Câu hỏi mới
-
Nhìn tranh kể các vật dùng để đo đơn vị mi-li-lít
33 4 lớp 3 -
Giải phép tính bài toán và lời giải thích
46 6 Lớp 5 Lớp 4 -
Mẹ Hoa ra chợ mua 3 hộp sữa và 1 gói bánh. Biết 1 hộp sữa cân nặng 180g và 1 gói bánh cân nặng 320g. Hỏi mẹ Hoa mua được bao nhiêu gam bánh và sữa?
253 15 Lớp 3 -
Một người thợ ngày đầu tiên may được 20 chiếc. Số mũ ngày thứ hai người thợ đó làm được kém 2 lần số chiếc mũ người đó đã may được ở ngày thứ nhất. Hỏi trong hai ngày người đó đã may được bao nhiêu chiếc mũ?
186 10 Lớp 3 -
Một lớp học có 45 học sinh được cô giáo chia đều vào 3 hàng. Hỏi mỗi hàng có bao nhiêu học sinh?
54 4 Lớp 3 -
Trong các phép chia có dư với số chia là 5, số dư lớn nhất của các phép chia đó là? Giải gấp cho mình với nha!
273 10 Lớp 3 -
1 thùng dầu 37l được chia đều vào 5 can nhỏ. Hỏi mỗi can dầu nhỏ chứa bao nhiêu lít dầu? Thùng dầu còn thừa bao nhiêu lít dầu?
70 5 -
Nam có một đoạn dây dài 20cm. Bạn ấy muốn cắt một đoạn dây dài 5cm từ đoạn dây ban đầu mà không cần dùng thước có vạch chia xăng-ti-mét. Em hãy giúp Nam tìm một cách làm.
180 7 -
Hãy tìm số có ba chữ số, biết chữ số hàng trăm gấp đôi chữ số hàng chục, chữ số hàng chục gấp ba lần chữ số hàng đơn vị
70 6 Lớp 3 -
Tìm m biết: a, 45 67m < 45 671 ........................................................................................................................................................ b, 27m 569 > 278 568 ........................................................................................................................................................
13 4
Gửi câu hỏi/bài tập
Toán học
-
Nhìn tranh kể các vật dùng để đo đơn vị mi-li-lít
Ngày hỏi: 5 ngày trước 4 câu trả lời -
Giải phép tính bài toán và lời giải thích
Ngày hỏi: 18:03 06/12 6 câu trả lời -
Mẹ Hoa ra chợ mua 3 hộp sữa và 1 gói bánh. Biết 1 hộp sữa cân nặng 180g và 1 gói bánh cân nặng 320g. Hỏi mẹ Hoa mua được bao nhiêu gam bánh và sữa?
Ngày hỏi: 14:03 06/12 15 câu trả lời -
Một người thợ ngày đầu tiên may được 20 chiếc. Số mũ ngày thứ hai người thợ đó làm được kém 2 lần số chiếc mũ người đó đã may được ở ngày thứ nhất. Hỏi trong hai ngày người đó đã may được bao nhiêu chiếc mũ?
Ngày hỏi: 22:03 25/11 10 câu trả lời -
Một lớp học có 45 học sinh được cô giáo chia đều vào 3 hàng. Hỏi mỗi hàng có bao nhiêu học sinh?
Ngày hỏi: 22:03 22/11 4 câu trả lời -
Trong các phép chia có dư với số chia là 5, số dư lớn nhất của các phép chia đó là? Giải gấp cho mình với nha!
Ngày hỏi: 06:03 22/11 10 câu trả lời
Từ khóa » Chứng Minh Pt Luôn Có Nghiệm
-
Cách Chứng Minh Phương Trình Luôn Có Nghiệm Hay Nhất - TopLoigiai
-
Chứng Tỏ Phương Trình Luôn Có Nghiệm Với Mọi M - Toán Học Lớp 9
-
Chứng Minh Phương Trình Luôn Có Nghiệm Với Mọi M Ôn Tập Toán 9
-
Chứng Minh Phương Trình Luôn Có Nghiệm Với Mọi M
-
Chứng Minh Phương Trình Luôn Có Nghiệm Với Mọi M | Thần Chiến
-
Toán 9 - Chứng Minh Phương Trình Luôn Có Nghiệm - YouTube
-
Cách Chứng Minh Phương Trình Có Nghiệm Cực Hay, Chi Tiết
-
Chứng Minh Phương Trình Luôn Có Nghiệm Với Mọi M
-
[LỜI GIẢI] Chứng Minh Rằng Phương Trình Luôn Có Nghiệm Với Mọi M.
-
Chứng Minh Phương Trình Luôn Có Nghiệm Với Mọi M Lớp 9
-
Chứng Minh Phương Trình Luôn Có Nghiệm
-
Cách Chứng Minh Phương Trình Luôn Có Nghiệm Với Mọi M Lớp 9
-
4.9 CHỨNG MINH PHƯƠNG TRÌNH CÓ NGHIỆM ml
-
X2-(m+1)x+m=0 A) CMR: Pt Luôn Có Nghiệm Với Mọi M. B) Tìm Hệ ...