Chương 5: Cân Bằng Dung Dịch: Axit Và Bazơ | Blog Của Chiến
Có thể bạn quan tâm
Trở về Mục lục cuốn sách
Các từ “axit” và “bazơ” là những tính từ, chứ không phải danh từ. Chúng mô tả xem một chất có công dụng gì, chứ không phải chất đó là gì.
R. von Handler (sn. 1931)
5-1 Giới thiệu 5-2 Cân bằng trong dung dịch nước 5-3 Sự ion hóa nước và thang pH 5-4 Axit mạnh và axit yếu 5-5 Bazơ mạnh và bazơ yếu 5-6 Dung dịch của các axit và bazơ mạnh: sự trung hòa và chuẩn độ 5-7 Cân bằng với các axit và bazơ yếu 5-8 Các axit yếu cùng muối của chúng 5-9 Các muối tạo bởi axit yếu và bazơ mạnh: hiện tượng thủy phân 5-10 Các axit đa: axit giải phòng ra nhiều ion hydro 5-11 Cân bằng với các muối tan yếu 5-12 Tóm tắt
5.1 Giới thiệu
Gần như mọi phản ứng được nhà hóa học quan tâm đều diễn ra trong dung dịch thay vì trong thể khí hoặc rắn. Hầu hết những phản ứng đó xảy ra trong dung dịch nước, với nước là dung môi. Việc chọn môi trường nước có những lý do chính đáng. Các phân tử cần phải tiếp xúc với nhau thì mới phản ứng được, và tốc độ di chuyển của các nguyên tử hoặc phân tử trong tinh thể đều quá chậm. Ngược lại, các phân tử khí thì linh động rồi, nhưng thể tích khí lại lớn đến mức bất tiện, và nhiều chất không thể đưa về thể khí mà tránh bị phân tách được. Các dung dịch chứa những phân tử chất phản ứng cho ta một sự kết hợp tối ưu giữa mức độ gọn nhẹ, dễ thao tác, và sự nhanh chóng trong việc trộn lẫn các chất. Như đã thấy ở Chương 1, nước có những ưu điểm khi đóng vai trò là dung môi. Nó có tính phân cực, theo nghĩa như đã minh họa ở Hình 5-1. Nguyên tử oxy kéo các electron trong liên kết O – H về phía nó, đạt được một điện tích hơi âm và để lại phần diện tích hơi dương cho hai nguyên tử hydro còn lại. Do vậy, nước có thể tương tác với những phân tử phân cực khác. Hơn nữa, các phân tử nước phần nào phân ly thành các ion H+ và OH–, một đặc tính quan trọng trong các phản ứng axit-bazơ. Chương này đề cập đến các phản ứng và cân bằng trong dung dịch nước, đặc biệt là những dung dịch axit và bazơ.
5.2 Cân bằng trong dung dịch nước

Nếu các chất phản ứng và sản phẩm trong một phản ứng hóa học đều nằm trong dung dịch, thì dạng của biểu thức hằng số cân bằng cũng giống như với các phản ứng khí, nhưng các đơn vị logic của nồng độ là mol / lit dung dịch (các đơn vị molar).
aA + bB
(4-8) Một số phản ứng trong dung dịch nước đã coi như là một chất tham gia. Ví dụ thường được tìm hiểu là phản ứng thủy phân (“phân tách bằng nước”) của phân tử etyl axetat để cho ra axit axetic và etyl ancol (etanol):
Vì tất cả những phân tử chất tham gia khác, bản thân chúng đều có tính phân cực, nên tan tốt trong nước, do đó là tác nhân lan tỏa. Ngoài ra, nước còn đóng vai trò trực tiếp như là phân tử chất tham gia. Biểu thức hằng số cân bằng cho phản ứng này, về nguyên tắc, sẽ là
(5-2) Tuy nhiên, vì nước có dư rất nhiều với vai trò dung môi, nên nồng độ của nước gần như không đổi trong quá trình phản ứng. Trong những dung dịch loãng, nồng độ nêu trên gần bằng nồng độ của nước trong trạng thái tự nhiên của nó.
H2O =
55,6 mol lit-1 (5-3) Giá trị không đổi này của nồng độ nước có thể được đưa sang vế trái của phương trình 5-2 và ghép với hằng số cân bằng, như ta đã thấy với các pha rắn trong Chương 4, như vậy biểu thức hằng số cân bằng trở thành
Keq = K'eq[H2O] =
(5-4) Những phản ứng khác trong dung dịch nước đều liên quan đến ion; một ví dụ là sự kết tủa ion bạc với ion clorua, dưới dạng bạc clorua không tan:
Ag+ + Cl–Ở quá trình này, nước không phải là một chất tham gia hay sản phẩm trực tiếp, song nó có tác dụng với các ion để giữ chúng trong dung dịch. Bất kì ion nào trong dung dịch nước thì đều bị hydrat hóa, hay bị vây quanh bởi các phân tử nước phân cực như trên Hình 5-1d. Nếu ion trung tâm mang điện dương (một cation), thì các nguyên tử oxy nhiễm điện âm của các phân tử nước sẽ chĩa vào nó; nếu ion trung tâm mang điện âm (một anion), thì các nguyên tử hydro nhiễm điện dương của các phân tử nước sẽ sát vào nó. Mỗi ion hydrat hóa, do vậy, đều được ổn định bởi một môi trường kế bên mang điện tích trái dấu với điện tích của chính nó. Khi một tinh thể muối ăn tan trong nước, lực hấp dẫn giữa các ion mang điện trái dấu trong tinh thể này bị phá vỡ. Bù lại, những lực hấp dẫn tương tự được thiết lập giữa các ion và các phân tử nước được hydrat hóa. Tính tan của tinh thể muối là kết quả của một cân bằng hoặc sự đua tranh giữa các lực liên kết tinh thể và lực hydrat. Đây là lý do tại sao các muối không tan trong những dung môi không phân cực như benzen, vốn không cung cấp những lực hấp dẫn hydrat.
5-3 Sự ion hóa của nước và thang pH
Bản thân nước phần nào đã ion hóa:
H2O(l)Mỗi ion bị vây quanh bởi các phân tử nước phân cực (như các ion Na+ và OH– trên Hình 5-1d). Trạng thái hydrat hóa của proton, H+, đôi khi được biểu diễn thành H3O+, nghĩa là H+ • H20. Song điều này là không cần thiết và thậm chí còn là cách viết dễ gây nhầm lẫn. Một cách biểu diễn chính xác hơn cho proton được hydrat hóa phải là H9O
, hay H+ • (H20)4, để biểu diễn cho cả cụm:
Ta sẽ coi rằng H+ và OH–, cũng như tất cả các ion khác, đều bị hydrat hóa trong dung dịch nước, và do vậy sẽ được biểu diễn đơn giản là H+ và OH–.
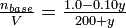
| Kw = [H+][OH–] | ||||
| T (°C): | 0 | 25 | 40 | 60 |
| Kw | 0,115 10-14 | 1,008 10-14 | 2,95 10-14 | 9,5 10-14 |
Biểu thức hằng số cân bằng cho sự phân li của nước là
K'eq
(5-6) Dạng hằng số [H2O] này có thể được kết hợp với K’eq như trước đây, cho ta
Kw = 55,6K'eq = [H+][OH-] (5-7)Hằng số cân bằng mới này, Kw, được gọi là hằng số tích ion của nước. Cũng như hầu hết các hằng số cân bằng, Kw thay đổi theo nhiệt độ. Một số giá trị thực nghiệm của hằng số tích ion được cho ở Bảng 5-1.
| Từ số liệu trong Bảng 5-1 và nguyên lý Le Chatelier, hãy dự đoán xem sự phân ly của nước sẽ tỏa nhiệt hay thu nhiệt. |
| Lời giải. Vì nhiệt độ cao hơn sẽ thuận lợi cho sự phân ly, nên phân ly là quá trình thu nhiệt. Từ Phụ lục 3, ΔH(phân ly H20) = +55,90 kJ mol-1. Đây là năng lượng cần để phá vỡ một liên kết O—H, bằng cách đó đưa lại cả hai electron cho nguyên tử oxy. |
Giá trị Kw = 1,00
10-14 thường được coi là đủ chính xác cho những tính toán cân bằng ở nhiệt độ phòng. (Khi tính toán cân bằng axit – bazơ, người ta cũng hay viết Kw như thể nó là một con số đúng, 10-14 thay vì 1,00
10-14.) Điều này nghĩa là trong nước tinh khiết, khi các nồng độ của ion hydro và ino hydroxit bằng nhau, thì

Vì những số mũ của 10 thì tính toán rất phiền phức, nên người ta đưa ra cách kí hiệu logarit, được gọi là thang pH (Hình 5-2). (Kí hiệu pH là để chỉ “lũy thừa âm của nồng độ hydro.”) pH chính là logarit âm của [H+]:
pH = -log10[H+] (5-9)Nếu nồng độ của ion hydro là 10-7 mol lit-1, thì
pH = -log10(10-7) = +7Bằng cách định nghĩa tương tự,
pOH = -log10[OH-] (5-10)và pOH của nước tính khiết cũng bằng +7. Hằng số cân bằng Kw cũng có thể được biểu diễn dưới dạng logarit:
pKw = -log10Kw = +14 (5-11)Sau cùng, biểu thức cân bằng cho sự phân ly của nước,
[H+][OH-] = Kw = 10-14 (5-12)có thể được viết thành
pH + pOH = 14 (5-13)Trong dung dịch axit, [H+] lớn hơn 10-7, vì vậy pH nhỏ hơn 7. Cân bằng tích ion vẫn đúng, và [OH–] có thể được tìm ra từ biểu thức
[OH-] =
(5-14) hay
pOH = pKw - pH = 14 - pH (5-15)Giá trị xấp xỉ của pH với một số dung dịch thông dụng được cho trên Bảng 5-2.
| Chất | pH |
|---|---|
| HCl đậm đặc trong công nghiệp (37% theo khối lượng) | ~ -1.1 |
| dung dịch HCl 1M | 0.0 |
| Dịch dạ dày | 1.4 |
| Nước chanh | 2.1 |
| Nước cam | 2.8 |
| Rượu vang | 3.5 |
| Nước cà chua | 4.0 |
| Cà phê đen | 5.0 |
| Nước tiểu | 6.0 |
| Nước mưa | 6.5 |
| Sữa | 6.9 |
| Nước tinh khiết ở 24°C | 7.0 |
| Máu | 7.4 |
| Dung dịch natri bicacbonat | 8.5 |
| Dung dịch borac | 9.2 |
| Nước vôi | 10.5 |
| Ammoniac gia dụng | 11.9 |
| Dung dịch NaOH 1M | 14.0 |
| Dung dịch NaOH bão hòa | ~15.0 |
| Từ Bảng 5-2, nồng độ ion hydro của nước cam bằng bao nhiêu? Nồng độ ion hydroxit của nó bằng bao nhiêu? |
Lời giải. Vì pH của nước cam là 2,8, nên nồng độ ion hydro sẽ bằng [H+] = 10-2.8 = 10+0.2 10-3 = 1.6 10-3 = 0.0016 mol lit-1 Nồng độ ion hydroxit có thể tính được từ một trong hai cách tương đương sau: [OH–] = 6.3 10-12 mol lit-1 hay pOH = 14 – pH = 11.2 [OH–] = 10-11.2 = 10+0.8 10-12 = 6.3 10-12 mol lit-1 |
| Tỉ số của các ion hydro trên các ion hydroxit trong nước tinh khiết bằng bao nhiêu? Trong nước cam bằng bao nhiêu? |
Lời giải. Trong nước tinh khiết, tỉ số này bằng 10-7 trên 10-7 hay 1 trên 1. Trong nước cam, từ Bảng 5-2, tỉ số này bằng 1,6 10-3 trên 6,3 10-12 hay 250.000.000 trên 1. |
Để duy trì cân bằng, các ion H+ bổ sung từ nước quả đã đẩy phản ứng phân ly nước về hướng H20 không bị phân ly, bằng cách này loại bỏ các ion OH– ra khỏi dung dịch. Nước cam không chỉ là một axit đặc biệt mạnh, và các tỉ số ion biến động mạnh trong ví dụ này cho thấy sự hữu dụng của cách kí hiệu lũy thừa mười và logarit (pH, pOH, pK).
5-4 Các axit mạnh và yếu


| Sulfuric: | HSO Ka | = ![]() |
| (ion hóa lần thứ 2) | = 1.2 10-2 (5-16) | |
| Hydrofloric: | HF Ka | = ![]() |
= 3.5 10-4 (5-17) | ||
| Axetic: | CH3COOH Ka | = ![]() |
= 1.76 10-5 (5-18) | ||
| Hydroxyanic: | HCN Ka | = ![]() |
= 4.9 10-10 (5-19) |
Sự khác biệt giữa axit mạnh và yếu phần nào chỉ do ta quy định. Sự ion hóa của HCl không chỉ đơn thuần là phân ly; thay vào đó là kết quả của sự cạnh tranh thành công của các phân tử H2O so với các ion Cl– trong việc giành proton, H+:
HCl + xH2OTheo thuyết Bronsted-Lowry, bất kì chất nhường proton nào đều là axit, và bất kì chất nhận proton nào cũng là bazơ (Hình 5-3). Do vậy, HCl là axit, còn Cl– là bazơ liên hợp với nó. Do HCl sẵn sàng mất proton nên nó là một axit mạnh, và vì Cl– có ít ái lực với proton nêu trên nên nó là bazơ yếu. Ngược lại, HCN là một axit rất yếu, bởi có tương đối ít phân tử HCN nhả proton của chúng. Bazơ liên hợp của nó, CN–, là một bazơ mạnh bởi ái lực mạnh của nó với proton. Nước là một bazơ phần nào mạnh hơn Cl–, và khi tồn tại dư, như trong một dung dịch nước của HCl, nước sẽ lấy gần như tất cả các proton từ HCl, leaving it completely ionized. CN- là một bazơ mạnh hơn nhiều so với H2O, bởi vậy chỉ có một phần nhỏ các proton từ HCN trở nên gắn với các phân tử nước. Nói cách khác, HCN chỉ hơi bị ion hóa trong dung dịch nước, như con số Ka bằng 4.9
10-10 của nó cho thấy. Vì nước tồn tại dư rất nhiều, nên bất kì axit nào có baz ơ lien hợp yếu hơn nước (tức là có ái lực với proton yếu hơn so với H2O) thì sẽ bị ion hóa bần như hoàn toàn trong dung dịch nước. Ta không thể phân biệt ứng xử của HCl và HClO4 (axit percloric) trong dung dịch nước. Cả hai đều phân ly hoàn toàn và do vậy đều là axit mạnh. Tuy nhiên, với một dung môi với ái lực proton yếu hơn so với nước, ta sẽ phát hiện ra sự khác biệt giữa HCl và HClO4. Với dung môi là dietyl ête, axit percloric vẫn là một axit mạnh, nhưng HCl chỉ phân ly một phần và do đó là axit yếu. Dietyl ête không solvat hóa proton mạnh như nước từng làm (Hình 5-4). (Solvat là khái quát của khái niệm hydrat, vốn áp dung cho các dung môi không phải là nước.) Điểm cân bằng trong phản ứng
nằm cách xa phía trái, bởi vậy HCl chỉ bị phân ly một phần trong ête. Chỉ trong một axit cực mạnh như axit percloric acid, thì anion mới có it ái lực với proton đến nỗi nó sẽ nhả proton cho ête với vai trò dung môi tiếp nhận. Rõ ràng là bằng cách dung dung môi khác ngoài nước, ta có thể thấy sự khác biệt về tính axit (hay ái lực proton) vốn bị lu mờ trong dung dịch nước. Sự che giấu độ mạnh tương đối của axit kiểu như vậy, bằng những dung môi như nước được gọi là hiệu ứng cào bằng.

Hằng số phân ly của một số axit trong dung dịch nước được liệt kê trên Bảng 5-3, với các giá trị ước tính Ka của những axit mạnh vốn bị “cào bằng” bởi dung môi trong dung dịch nước. Sự phân ly của dung môi được proton hóa, H3O+, thành các proton được hydrat hóa và H2O, biểu thị đơn thuần một sự xáo trộn proton từ một nhóm phân tử nước này sang nhóm khác, và phải có một giá trị Keq bằng 1,00. Trong ammoniac lỏng đóng vai trò dung môi, tất cả những axit nào với bazơ liên hợp yếu hơn NH3 sẽ bị cào bằng bởi dung môi và sẽ thành những axit mạnh bị ion hóa hoàn toàn. Bởi vậy axit flohydric và axit axetic đều là những axit mạnh trong ammoniac lỏng. Hiệu ứng cào bằng và nguồn gốc của những axit mạnh và yếu đều được tóm tắt trong Hình 5-4. Điểm khác biệt giữa các axit mạnh và yếu thì phụ thuộc vào dung môi cũng nhiều như sự phụ thuộc vào đặc tính cố hữu của axit đó. Mặc dù vậy, trong dung dịch nước thì sự khác biệt trên là có thật. Miễn là ta chỉ giới hạn bàn luận trong các dung dịch nước (như sẽ làm từ giờ trở đi), thì việc phân biệt riêng hai cấp bậc axit như vậy thì sẽ hữu ích.
5-5 Các bazơ mạnh và yếu
Theo thuật ngữ của Arrhenius thì baz ơ là chất làm giảm nồng độ ion hydro trong dung dịch. Natri hydroxit, kali hydroxit, và các hợp chất tương tự đều là bazơ vì chúng hòa tan và phân ly hoàn toàn trong dung dich nước để sinh ra các ion hydroxit:
NaOHNhững ion hydroxit dư này sẽ làm xáo trộn cân bằng phân ly của nước, và kết hợp với một số proton thường thấy trong nước tinh khiết:
H+ + OH-
10-7 (5-23) Trong định nghĩa tổng quát hơn của Bronsted-Lowry defnition, bản thân ion hydroxit là bazơ, vì nó là chất kết hợp với proton. Các ion Na+ và K+ chỉ cung cấp những ion dương cần cho việc trung hòa điện tổng thể cho hóa chất.
Các hydroxit thường gặp của những kim loại kiềm (Li, Na, K) đều tan và phân ly hoàn toàn để tạo ra cùng một loại bazơ theo Bronsted-Lowry, đó là OH–. Các hydroxit này đều là bazơ mạnh, tương tự với axit mạnh kiểu như HCl và HNO3. Những chất khác như ammoniac và nhiều hợp chất nitơ hữu cơ cũng có thể kết hợp với các proton trong dung dịch và đóng vai trò như các bazơ Bronsted-Lowry. Các hợp chất này nói chung đều là bazơ yếu hơn các ion hydroxit, vì chúng có ái lực với proton yếu hơn. Chẳng hạn, khi ammoniac tranh proton với OH– trong dung dịch nước, thì nó chỉ giành được một phần nào. Nó có thể kết hợp với một phần trong số các ion H+, do vậy sẽ có một hằng số cân bằng đo được.
NH3 + H+
(5-24) Không có lý do nào logic để giải thích tại sao phản ứng này không thể diễn tả bởi một hằng số phân ly axit, như trong Bảng 5-3. Ion amoni, NH
, theo thuyết Bronsted-Lowry, là axit liên hợp với bazơ NH3. Không có lý do nào giải thích tại sao, trong một cặp axit-bazơ, chính axit phải là trung hòa về điện và bazơ thì nhiễm điện, như với các cặp HCl/Cl– và HCN/CN–. Ion NH
đáng xem là axit, cũng như HCl hay HCN, và dù có yếu hơn HCl, song thực ra nó còn mạnh hơn cả HCN. Do vậy, ta có thể miêu tả phản ứng ammoniac như thể một sự phân ly axit:
10-10 (theo Bảng 5-3) (5-25) hoặc, nếu ta muốn tập trung vào ứng xử cơ bản của NH3,
NH3 + H+
Keq =
= 1.8
10+9 (5-26) Tuy nhiên, ngôn ngữ trong hóa học đã trở nên bị giam giữ bởi các thuật ngữ axit-bazơ cổ hơn đã được Arrhenius đưa vào, và bạn cần phải biết điều này. Arrhenius đã coi rằng bazơ là chất nhả ra ion OH– vào trong dung dịch nước. Với các hydroxit kim loại kiềm như NaOH thì quá trình này đã rõ ràng:
NaOHNhưng còn NH3 thì sao? Các ion hydroxit này từ đâu tới? Arrhenius đã giả thiết rằng khi ammoniac tan trong nước, phản ứng là
NH3 + H2O
+ OH- (5-28) Bằng cách này, NH3 đã được xếp vào hàng ngũ của các bazơ qua việc giả thiết một bazơ hydroxit ammoni trung gian; bazơ này có thể phân ly hoàn toàn. Amoni hydroxit sẽ là một bazơ yếu chỉ phân ly một phần. Arrhenius đã định nghĩa một hằng số phân ly bazơ, Kb, là
BOH
(5-29) trong đó B thường biểu diễn một kim loại. Với ammoniac, Ka và Kb sẽ được liên hệ bởi
Kb =
(5-30) Kb =
1.8
10-5 (5-31) Thật không may cho lý thuyết của Arrhenius, không có bằng chứng nào cho thấy rằng amoni hydroxit, NH4OH, tồn tại như một hợp chất thực sự. Chính xác hơn là nói rằng phân tử amoniac phân cực phân cực bị hydrat hóa như thể bất kì phân tử phân cực nào khác: NH3 • (H20)x. Amoniac, NH3, kết hợp trực tiếp với một proton và với các phân tử nước:
NH3 + H+O + xH2
(trong dung dịch axit) (5-32) NH3 + xH2O
+ OH- (trong dung dịch axit) Mặc dù vậy, kí hiệu của Arrhenius đã quá ăn sâu vào cội rễ của hóa học đến nỗi không thể dứt bỏ được, và ta sẽ thường dùng Kb cho các bazơ yếu thay vì Ka cho các axit liên hợp với nó. Nói chung, các bazơ phân ly hoàn toàn mà ta sẽ gặp bao gồm các hợp chất hydroxit, và các bazơ yếu sẽ gồm có amoniac và các hợp chất nitơ hữu cơ như được liệt kê trong Bảng 5-4. Kb luôn có thể được tính từ Ka và Kw theo biểu thức
Ka
Kb = Kw (5-33) 
Bảng 5-4. Các hằng số phân ly của một số baz ơ yếu ở 25°C
Chú thích: nếu B biểu diễn cho baz ơ, thì phương trình cân bằng là B + H2O
BH+ + OH-, trong đó BH+ là axit liên hợp. Độ mạnh của bazơ tăng dần từ đầu bảng xuống cuối, còn độ mạnh của axit liên hợp giảm dần. Biểu thức hằng số cân bằng là Kb = …, pKb = …
5-6 Dung dịch của các axit và bazơ mạnh: trung hòa và chuẩn độ
Khi một lượng axit mạnh được thêm vào nước, thì hiệu ứng của việc này cũng như thêm cùng một lượng các ion hydro, vì axit đó phân ly hoàn toàn.
| Nồng độ ion hydro của dung dịch axit nitric 0.0100M thì bằng bao nhiêu? Độ pH bằgn bao nhiêu? |
| Lời giải [H+] = 0,010 mol lit-1 pH = -log10(10-2) = 2,00 Dung dịch này có tính axit mạnh. |
| Nồng độ ion hydro và độ pH của dung dịch natri hydroxit 0.0050M thì bằng bao nhiêu? |
| Lời giải Lượng ion hydroxit đóng góp từ việc NaOH phân ly hoàn toàn là [OH–] = 0.0050 mol lit-1 Lượng rất lớn các ion hydroxit này sẽ hạn chế sự phân ly thường có ở nước và thúc đẩy phản ứng chuyển dịch sang phía trái: H2ONồng độ ion hydro đượ ctính qua biểu thức cân bằng nước: [H+] = 2.0 10-12 mol lit-1 pH = -log10(2.0) – log10(10-12) = -0.30 + 12.0 = 11.7 Dung dịch này có tính bazơ mạnh. |
| Nếu ta trộn những thể tích bằng nhau của các dung dịch trong hai ví dụ trên, thì dung dịch thu được sẽ có pH bằng bao nhiêu? | ||||||
Lời giải Nếu các thể tích bằng nhau được trộn lại, thì nồng độ của từng chất tan sẽ giảm đi một nửa, vì thể tích sau cùng sẽ gấp đôi mỗi thể tích ban đầu. Dung dịch sau cũng sẽ là 0.0050M về axit nitric và 0.0025M về natri hydroxit. Nhưng axit và bazơ sẽ phản ứng và trung hòa lẫn nhau đến khi một trong hai chất bị tác dụng hết: H+ + NO + Na+ + OH– + Na+ hoặc đơn giản là H+ + OH–vì các ion natri và nitrat không tham gia gì vào phản ứng trung hòa. Trong trường hợp này, natri hydroxit bị thiếu. Khi tất cả bazơ đã bị trung hòa hết, ta vẫn còn
|
| Phải thêm vào bao nhiêu mililit HCl 0.10M vào 200 ml KOH 0.0050M KOH để đưa pH của dung dịch về 10,0? |
Lời giải Nếu không có HCl, độ pH của dung dịch kali hydroxit sẽ là 11,7, như trong Ví dụ 5. Đặt y bằng số mililit dung dịch HCl cần để đưa đến độ pH bằng 10,0. Vì 0,0050 mol lit-1 cũng giống như 0,0050 milimol ml-1, nên tổng số milimol (m mol) KOH là nKOH = 0,0050 m mol ml-1 200 ml = 1,00 m mol Tổng số milimol HCl cần được bổ sung là nHCl = 0,10 m mol ml-1 y ml = 0,10y m mol Vì dung dịch cuối cùng mang tính bazơ, nên nKOH > nHCl. Lượng ion hydroxit còn lại sau khi trung hòa một phần bởi HCl là nbazơ = nKOH – nHCl = 1,0 – 0,10yThể tích cuối cùng bằng V = 200 + y mlvà don đó nồng độ ion hydroxit cuối cùng là [OH–] = Một độ pH bằng 10,0 đồng nghĩa với pOH bằng 4,0 và [OH–] = 10-4 mol lit-1, bởi vậy = 10-4 và y = 9,8 ml HCl 0,10M cần được bổ sung. |
Chuẩn độ và đường cong chuẩn độ
Nếu ta bổ sung cùng số đương lượng của một axit mạnh và một bazơ mạnh, thì chúng sẽ trung hòa lẫn nhau hoàn toàn, và pH sẽ bằng 7,0. Như ta đã thấy trong Chương 2, điều này giúp thiết lập phương pháp chuẩn độ cho việc đo đạc các lượng axit hoặc bazơ.
| 150 mililit dung dịch HCl có nồng độ chưa biết trước được chuẩn độ với NaOH 0,10M. Cần phải lấy 80 mililit dung dịch baz ơ để trung hòa lượng axit này. Hỏi ban đầu có bao nhiêu mol HCl, và nồng độ của dung dịch axit bằng bao nhiêu? |
Lời giải Số milimol bazơ được dùng bằng nNaOH = 0,10 m mol ml-1 80 ml = 8.0 m mol Con số này phải bằng số milimol của axit ban đầu, nếu như sự trung hòa là hoàn toàn. Do vậy nồng độ ban đầu của HCl là [HCl]0 = 0.053 m mol ml-1 hay mol lit-1 |
Một cách thường dùng để xác định điểm tương đương của chuẩn độ (điểm mà tại đó sự trung hòa xảy ra) là theo một chất chỉ thị axitway of determining bazơ. Chất chỉ thị là các axit hoặc bazơ hữu cơ yếu mà có những màu khác nhau khi bị ion hóa và khi trong trạng thái trung hòa (hay màu khác nhau trong hai trạng thái ion hóa). Nếu sựt hay đổi màu của chất chỉ thị xảy ra ở lân cận pH bằng 7, và nếu ta nhỏ thêm vài giọt dung dịch chất chỉ thị vào dung dịch đang được chuẩn độ, thì ta sẽ thấy sự đổi màu này ở điểm cuối quá trình của chuẩn độ. Ta sẽ thảo luận một số chất chỉ thị thông dụng trong mục nói về axit yếu. Sự phù hợp giữa điểm đổi màu chất chỉ thị và điểm cuối của quá trình chuẩn độ không nhất thiết phải chính xác, bởi độ pH thay đổi mạnh qua vài bậc trong khi sự trung hòa đang được hoàn thành. Điều này có thể khiến cho công việc của nhà hóa học phân tích trở nên dễ dàng hơn, và rất nên tìm hiểu về ứng xử của pH trong quá trình chuẩn độ. Để minh họa cho điều vừa nói, ta hãy tính toán đường cong chuẩn độ cho một axit mạnh và bazơ mạnh điển hình.
| 50 mililit HNO3 0.10M được chuẩn độ với KOH 0.10M, trong một thí nghiệm như cách làm trên Hình 2-3. Hãy tính pH của dung dịch như là hàm số của thể tích dung dịch KOH được thêm vào (v, tính bằng mililit). | ||||||||||||||||||||||||||||||
Lời giải Cách giải dễ nhất là coi phép tính này gồm 3 phần: trước khi trung hòa, tại điểm trung hòa (điểm tương đương), và sau khi trung hòa. Trước điểm tương đương, cần tính bao nhiêu bazơ phải thêm vào, nếu coi rằng tất cả lượng bazơ này được dùng để trung hòa một phần axit, và tính xem bao nhiêu axit vẫn còn lại chưa bị trung hòa, lượng này như một hàm của thể tích dung dịch bazơ thêm vào.![]() Hình 5-5 Đường cong chuẩn độ của axit và baz ơ mạnh điển hình. 50 ml HNO3 0,10M được chuẩn độ bằng lượng tăng dần KOH 0,10M. Dữ liệu được cho trong Bảng 5-5. Lưu ý rằng pH thay đổi nhanh mức nào ở khu vực điểm cuối, hay ở chính xác điểm trung hòa axit bởi bazơ. Bất kì chất chỉ thị axit-bazơ nào đổi màu giữa pH 4 và pH 10 đều có thể dùng được để phát hiện điểm tương đương trong phép chuẩn độ này.
Việc tính ra [H+] cho nhiều giá trị của v được liệt kê trong Bảng 5-5, và những kết quả này được vẽ đồ thị với các điểm tròn bên trái Hình 5-5. Tại điểm tương đương, các lượng axit và baz ơ bằng nahu vào độ pH bằng 7,0. Sau điểm tương đương, ta chỉ cần tính xem có bao nhiêu bazơ được thêm vào hơn sơ với lượng cần để trung hòa axit, và dùng kết quả này để tính [OH–], pOH, và pH:
Kết quả tính toán cho vài giá trị của v cùng độ pH tương ứng được liệt kê trong Bảng 5-5 và được vẽ đồ thị thành các điểm đen trên phần bên phải của Hình 5-5. Bây giờ đã thấy rõ tạsi ao việc chọn chất chỉ thị màu không phải quá khắt khe trong một phép chuẩn độ như vậy. Bất kì chất chỉ thị nào đổi màu giữa pH 4 và pH 10 đều dùng được. |
Việc chuẩn độ một axit yếu bằng một bazơ mạnh, hoặc bazơ yếu bằng axit mạnh thì sẽ phức tạp hơn bởi chất yếu hơn sẽ chỉ phân ly một phần. Trường hợp này phải dùng đến cân bằng phân ly của loại đề cập trong mục tới. Ta sẽ không quan tâm đến những phép chuẩn độ như vậy trong chương này, song chúng được đề cập trong Phụ lục 5, với một ví dụ về đường cong chuẩn độ tương ứng với Hình 5-5.
5-7 Cân bằng với các axit và bazơ yếu
Vì các axit yếu chi phân ly một phần trong nước, nên sự đóng góp của một axit yếu như axit axetic đối với nồng độ ion hydro thì nhỏ hơn tổng nồng độ của lượng axit được thêm vào. Biểu thức hằng số cân bằng của axit này phải được sử dụng một cách tường minh. Những nguyên tắc chung này có thể được minh họa bằng một ví dụ cụ thể, đó là tính pH của một dung dịch axit axetic 0,0100M. Như ta đã thấy ở Ví dụ 5-4 với axit nitric, một axit mạnh, dung dịch 0,0100M thì có độ pH bằng 2,00. Vì axit axetic là axit yếu và chỉ phân ly một phần, nên một dung dịch 0,0100M sẽ có nồng độ ion hydro nhỏ hơn 0,0100M, và độ pH lớn hơn 2,0.
Người ta thường biểu diễn ion axetat này, CH3COO–, đơn giản bằng Ac–, và phân tử axit axetic chưa phân ly, CH3COOH, bằng HAc như thể nó là một axit vô cơ đơn giản. (Các dạng thức OAc– và HOAc cũng được sử dụng, để chỉ định rằng axit axetic là một oxyaxit với proton phân ly được gắn với một nguyên tử oxy.) Sự phân ly của HAc là không hoàn toàn:
HAcvà biểu thức cân bằng mô tả sự phân ly là
Ka =
= 1.76
10-5 (từ Bảng 5-3) Ta biết rằng nồng độ tổng thể ban đầu, c0, của axit axetic:
c0 = 0.0100 mol lit-1và ta biết rằng tại điểm cân bằng một phần lượng axit axetic này vẫn còn nguyên không bị phân ly và một phần thì bị ion hóa thành các ion axetat, Ac–:
c0 = [HAc] + [Ac–] (phương trình cân bằng khối)Đây được gọi là phương trình cân bằng khối, bởi vì nó phát biểu rằng tổng axetat thì không được tạo nên cũng không bị phân hủy trong quá trình phân ly. Ta cũng biết rằng nồng độ của các ion hydro và ion axetat thì bằng nhau, bởi sự phân ly của HAc là nguồn duy nhất để tạo ra H+. (Hoàn toàn hợp lý khi ta bỏ qua H+ có được từ sự phân ly của nước, vì axit axetic áp đảo sự phân ly của nước đẩy nó xuống dưới cả mức phân ly vốn đã ít ỏi.) Do vậy
[H+] = [Ac–] (phương trình cân bằng điện tích)Phương trình trên được biết đến với tên gọi là phương trình cân bằng điện tích, bởi nó phát biểu rằng tổng điện tích dương tring dung dịch phải bằng tổng điện tích âm. Bây giờ ta có thể dùng các dữ liệu này về sự bảo toàn axetat và tính trung hòa của dung dịch để giản hóa biểu thức hằng số cân bằng. Đặt nồng độ ion hydro mà ta cần tìm là [H+] = y, và triệt tiêu [Ac–] lập tức bằng cách dùng phương trình cân bằng điện tích:
Ka =
(phương trình cân bằng) c0 = [HAc] + y (phương trình cân bằng khối) Phương trình thứ hai cho ta biết rằng nồng độ của HAc chưa phân ly sẽ bằng nồng độ tổng thể ban đầu, c0, trừ đi lượng đã phân ly y:
[HAc] = c0 – yKhi đó biểu thức cân bằng là
Ka =
(5-34) Thay giá trị của Ka từ Bảng 5-3, ta được
1,76
10-5 =
hay
y2 + 1,76
10-5y –
10-7 = 0 Đây là một phương trình bậc hai, mà ta có thể giải với công thức nghiệm bậc hai. Nếu ay2 + by + c = 0, thì
y =
(5-35) Trong bài này, a = 1, b = 1,76
10-5, và c = -1,76
10-7.
hay
y =
Chỉ có nghiệm dương mới hợp lý, bởi ta không thể có nồng độ âm. Bởi vậy đáp số của bài toán là
y = 4,11
10-4 mol lit-1 Dưới những điều kiện vật lý nhất định, ta có thể giải theo lối tắt để tránh công thức nghiệm bậc hai. Ở ví dụ này, vì ta biết rằng axit chỉ phân ly một phần, nên bạn có thể thử bỏ qua y dưới mẫu số của biểu thức cân bằng cho Ka, bằng cách này đã giả thiết rằng y rất nhỏ so với 0,0100 mol lit-1, và nồng độ của axit axetic không phân ly gần bằng tổng axit axetic có mặt. Giả thiết này cho ta
1,76
10-5 =
và một đáp số xấp xỉ là
y = 4,2
10-4 = 0,00042 mol lit-1 Giá trị này gần bằng đáp số đúng, 0,000411 mol lit-1. Bạn có thể nhanh chóng cải thiện kết quả bằng cách lấy giá trị gần đúng nói trên đưa vào làm nồng độ axetat chưa phân ly ở mẫu số:
1,76
10-5 =
= 4.11
10-4 mol lit-1 Lặp lại quá trình nói trên cho đến khi kết quả vẫn giữ không đổi tử lần tính này sang lần tính kế tiếp; cách làm như vậy được gọi là phương pháp gần đúng liên tiếp. Nếu bạn có trực giác tốt về lượng axit phân ly bao nhiêu, thì bạn thường có thể giải được bài toán cân bằng qua nghiệm gần đúng rồi chỉnh lý nhanh chóng và có khi mất ít thời gian hơn là giải phương trình bậc hai. Nếu phán đoán ban đầu của bạn bị chệch nhiều, thì có thể phải cần đến 2 hoặc 3 lần tính xấp xỉ, bạn mới đạt đến giá trị y không đổi.
Như kết quả đã cho thấy, axit axetic thực sự chỉ phân ly chút ít ở nồng độ 0,0100M. Trong số nồng độ ban đầu 0,0100 mol lit-1, chỉ có 0,000411 mol đã phân ly, và 0,0096 mol vẫn hòa tan nhưng tồn tại dưới dạng phân tử HAc không bị phân ly. Phần trăm phân ly là
100 = 4,11% Vì nồng độ ion hydro là [H+] = 4,11
10-4 M, nên pH của dung dịch này là 3,39.
Điều gì sẽ xảy ra nếu ta hòa loãng dung dịch axit axetic này? Liệu sẽ có một tỉ lệ phân trăm lớn hơn hay nhỏ hơn axit axetic sẽ phân ly? Liệu rằng độ pH sẽ tăng hay giảm?
| Độ pH và phần trăm phân ly của dung dịch axit axetic 0,00100M bằng bao nhiêu? |
Lời giải Biểu thức cân bằng vẫn như trước đây: Ka HAc = 1,76 10-5 = Bỏ qua y khi so với co, nghiệm xấp xỉ là 1.76 10-5 = y = 1,33 10-4 mol lit -1 và nghiệm thu được bằng cách dùng giá trị này để chỉnh lí nồng độ HAc không bị phân ly là y = 1,24 10-4 mol lit-1 Dùng giá trị thứ hai này để chỉnh lý lại c0 trong một lần tính gần đúng nữa, ta thấy y không thay đổi gì, vậy quá trình lặp này có thể dừng. Bây giờ độ pH là 3,91 thay vì 3,39, và phần trăm phân ly là 12,4% |
Mặc dù nồng độ ion hydro thực tế là thấp hơn (xem thấy pH lớn hơn), nhưng một phần lớn hơn HAc có mặt đã phân ly thành các ion. Đây lại là nguyên lý Le Chatelier. Nếu một dung dịch chứa HAc, H+, và Ac– được pha loãng, qua đó giảm nồng độ tổng cộng các ion và phân tử, thì cân bằng sẽ nỗ lực tự phục hồi lại, khi phản ứng thay đổi, theo chiều hướng làm tăng nồng độ tổng của các hạt hòa tan. Hãy so sánh động thái này với hiệu ứng của việc tăng áp suất đối với cân bằng của khí ammoniac ở Chương 4.
Các chất chỉ thị

Chất chỉ thị là một axit yếu (hoặc bazơ yếu) có màu sắc khác biệt rõ rệt giữa các dạng không phân ly và có phân ly của bản thân. Metyl da cam (Hình 5-6) là một hợp chất hữu cơ phức tạp có màu đỏ trong trạng thái trung hòa, không bị ion hóa, và màu vàng khi bị ion hóa. Nó có thể được biểu diễn như axit yếu HIn:
HInViệc thêm axit vào sẽ làm cho cân bằng của chất chỉ thị bị đẩy sang phía trái, và thêm bazơ vào làm đẩy cân bằng sang phía phải. Vậy metyl da cam sẽ có màu đỏ trong axit và màu vàng trong bazơ.
Độ đậm của màu trong các chất chỉ thị như metyl da cam mạnh đến nỗi các màu này có thể thấy dễ dàng ngay cả khi lượng thêm vào dung dịch quá nhỏ không ảnh hưởng đáng kể gì đến độ pH của dung dịch. Tuy vậy, tỉ số giữa phần chất chỉ thị bị phân ly so với không bị phân ly thì lại phụ thuộc vào nồng độ ion hydro
Ka =
(5-36) và
(5-37) log10(
) = pH - pka (5-38) Với metyl da cam, Ka = 1,6 × 10-4 và pKa = 3,8. Các dạng tự nhiên (màu đỏ) và phân ly (màu vàng) của chất chỉ thị này đều tồn tại với nồng độ như nhau khi pH = 3,8. Cặp mắt chúng ta nhạy với sự thay đổi màu trong khoảng các tỉ số nồng độ xấp xỉ 100, hay qua hai đơn vị pH. Dưới mức pH bằng 2,8, dung dịch chứa metyl da cam có màu đỏ, và ở trên tầm 4,8 thì rõ ràng màu vàng. Như bạn có thể thấy từ Hình 5-5, một sự thay đổi chị thị qua hai đơn vị pH thì đã đạt yêu cần đối với chuẩn độ axit-bazơ mạnh.
Metyl da cam cũng có thể được dùng cho việc chuẩn độ trên Hình 5-5, ngay cả khi pKa của nó nằm cách xa điểm tương đương chuẩn độ là 7,0, chì vì sự thay đổi pH ở điểm tương đương là quá lớn. Với phép chuẩn độ các axit yếu, điều này là không đúng, và tốt hơn là ta lấy một chất chỉ thị màu có pKa gần sát hơn với điểm tương đương dự kiến. Các chất chỉ thị màu khác được nêu trên Hình 5-7, cùng với khoảng pH mà tại đó xảy ra đổi màu. Phenolphthalein là chất chỉ thị thông dụng và đặc biệt tiện lợi, nó chuyển từ không màu sang hồng ở khoảng pH từ 8 đến 10.

Sự đóng góp [H+] từ việc phân ly của nước
Cho đến giờ, ta chưa bàn luận gì, cả trong trường hợp axit mạnh lẫn yếu, về việc đóng góp nồng độ ion hydro từ sự phân ly của nước. Có giả định ngầm rằng tất cả H+ đều đến từ axit. Đây là giả định hợp lý với hầu hết các trường hợp song ngoại lệ là những dung dịch loãng của các axit rất yếu như HCN. Việc tính hiệu chỉnh xét đến phân ly của nước thì ít khi cần thiết, nên điều này sẽ không được trình bày ở chương hiện tại. Một cách làm đầy đủ được trình bày ở Phụ lục 5.
5-8 Axit yếu cùng muối của chúng
Điều gì sẽ xảy ra với một axit yếu như axit axetic nếu ta thêm natri axetat (NaAc), vốn là muối của một bazơ mạnh (NaOH) và axit axetic? Muối này sẽ tan và phân ly hoàn toàn thành các ion natri và axetat. Theo nguyên lý Le Chatelier, ta trù tính rằng những ion axetat này sẽ buộc hệ thống cân bằng axit axetic yếu theo hướng ít phân ly hơn. Đây đúng là điều sẽ xảy ra. Biểu thức cân bằng axit vẫn như vậy:
Ka =
(5-39) Tuy nhiên, bây giờ có hai nguồn cấp ion axetat: NaAc và HAc. Ion axetat được cấp bởi natri axetat được đo bằng cs , nồng độ mol tổng của muối, bởi sự phân ly là hoàn toàn. Nồng độ axetat từ axit axetic được đo bằng nồng độ ion hydro, vì mỗi sự phân ly của HAc để tạo thành Ac– cũng tạo ra một proton. Bởi vậy, nồng độ ion axetat tổng cộng là
[Ac-]tổng = [Ac-]NaAc + [Ac-]HAc = cs + [H+] (5-40)(Một lần nữa, ta đã bỏ qua các proton được đóng góp từ sự phân ly của nước.) Nồng độ của axit axetic không bị ion hóa là nồng độ axit tổng thể, ca, trừ đi axetat do phân ly:
[HAc] = ca - [Ac-]HAc = ca - [H+] (5-41)Nếu ta biểu diễn nồng độ ion hydro bởi y, ta có
Ka =
(5-42)
Khi nồng độ muối cho thêm, cs, bằng không, thì đây chính là biểu thức cân bằng phân ly axit yếu mà ta đã thấy từ trước trong phương trình 5-34.
| Độ pH và phần trăm phân ly của một dung dịch 0,010M axit axetic trong trường hợp có mặt (a) không có NaAc, (b) 0,0050M NaAc, và (c) 0,010M NaAc? |
Lời giải Từ nguyên lý Le Chatelier, ta dự liệu rằng sự phân ly cuả HAc sẽ bị ngăn trở khi có thêm NaAc được đưa vào. Độ pH sẽ tăng lên và phần trăm phân ly sẽ giảm. (a) Bài toán này đã được giải trong Mục 5-6, cho ra độ pH bằng 3,39 và 4,11% phân ly. (b) Với cs = 0,0050 mol lit-1, 1,76 10-5 = (từ phương trình 5-42) Phương trình này được giải thuận lợi nhất bằng cách gần đúng liên tiếp. Lần gần đúng thứ nhất, ta có thể giả sử rằng y sẽ nhỏ hơn 0,0050 hay 0,010, và do đó ta có thể bỏ qua khi nó được thêm vào hoặc trừ bớt khỏi những lượng nêu trên: y1 = 1,76 10-5 3,52 10-5 = 0,000035 mol lit-1 Lần gần đúng thứ hai, ta có thể dùng giá trị thử này của y để “chỉnh sửa” 0,0050 thành 0,005035, và 0,010 thành 0,009965, rồi giải lại phương trình: y2 = 1,76 10-5 3,48 10-5 mole liter-1 Không cần phải có lần gần đúng thứ ba, và kết quả nên được làm tròn thành 3,5 × 10-5 mol lit-1: pH = 5 – log10 3,5 = 5 – 0,54 = 4,46 Phần trăm phân ly = 100 = 0,35% (c) Với cs = 0,010 mol lit-1 y = [H+] = 1,76 10-5 mol lit-1 pH= 4,75 Phần trăm phân ly = 0,18% Lưu ý rằng bây giờ axit axetic phân ly ít đến nỗi chỉ lần gần đúng thứ nhất cũng đủ. |
Kết quả này cùng với một số nồng độ natri axetat khác được liệt kê trong Bảng 5-6 và vẽ đồ thị ở Hình 5-8. Lần thêm muối thứ nhất vào đã có ảnh hưởng lớn đến mức độ phân ly và độ pH; các lần thêm sau đã có ít thay đổi hơn. Khi axit và muối đếu có mặt với nồng độ bằng nhau thì độ pH bằng với pKa của axit.
| ||||||
| cs: | 0,0 | 0,001 | 0.002 | 0.005 | 0.010 | 0.020 |
| break | ||||||
| pH: | 3,4 | 3,8 | 4.1 | 4.5 | 4.8 | 5.1 |
| break | ||||||
| Phần trăm phân ly của | 4,1 | 1,5 | 0.84 | 0.35 | 0.18 | 0.09 |
| axit axetic: | ||||||

Dung dịch đệm
Nếu các nồng độ của một dung dịch gồm axit yếu và muối của anion axit này đều tương đối cao, thì dung dịch này sẽ chống lại sự thay đổi nồng độ ion hydro.
| Một dung dịch 0,050M HAc và 0,050M NaAc. Hãy tính sự thay đổi độ pH khi 0,0010 mol of axit clohydric (HCl) được thêm vào một lit dung dịch nêu trên, nếu coi rằng sự tăng thể tích do việc thêm HCl vào là không đáng kể. Hãy so sánh kết quả pH nếu cùng lượng HCl được thêm vào một lit nước cất. |
Lời giải Trước khi thêm HCl, cân bằng axit axetic là Ka = Do vậy y = Ka = 1,76 10-5 mol lit-1 pH = pKa = 4,75 (Một lần nữa, ta được phép bỏ qua y trong các đại lượng [Ac–] và [HAc] bởi giá trị đó quá nhỏ so với 0,050.) Những proton được thêm vào từ HCl sẽ kết hợp với các ion axetat để tạo thêm axit axetic: Ac– + H+ (từ HCl) → HAcDo vậy có thể xem gần đúng là, tất cả proton mới bố sung đều được dùng hết, và các nồng độ của axit axetic mới và của axetat là: [HAc] = 0,050 + [H+]HCl = 0,051 mol lit-1 [Ac-1] = 0,050 – [H+]HCl = 0,049 mol lit-1 Ka = y = 1,76 10-5 1,83 10-5 mol lit-1 pH = 5 – 0,26 = 4,74 Độ pH thay đổi từ 4,75 xuống 4,74; một sự chênh lệch chỉ là 0,01 đơn vị. Nếu thiếu HAc và NaAc, cùng nồng độ HCl này sẽ gây ra pH bằng 3,0. |
Sự chống lại thay đổi pH như vậy được gọi là tác động đệm, còn các dung dịch HAc và NaAc là một dung dịch đệm axetat. Dung dịch đệm thường được dùng phổ biến để kiểm soát pH trong phòng thí nghiệm, trong công nghiệp, và trong các cơ thể sống. Một hệ thống dung dịch đệm cacbonat trong dòng máu của chúng ta ở phản ứng sau
H+ + HCO
có vai trò duy trì pH của máu ở khoảng 7,4. Khi một nhà hóa sinh học nghiên cứu hoạt động của enzym trong phòng thí nghiệm, họ phải dùng một hệ dung dịch đệm để duy trì pH không đổi trong suốt quá trình thí nghiệm, bằng không kết quả thu được sẽ mang rất ít ý nghĩa. Một trong những tranh cãi ngốc nghếch về việc quảng cáo giữa hai công ty dược xem liệu chất đệm thêm vào thuốc aspirin để chống lại phản ứng axit trong dạ dày là có lợi hay sẽ gây hỏng.
Nói chung, nếu nồng độ của axit mạnh được thêm vào một dung dịch đệm là y mol lit-1, thì phương trình cân bằng trở thành
Ka =
(5-44) trong đó cs và ca lần lượt là nồng độ của muối và axit đệm. Sau khi thêm vào axit lạ, nồng độ ion hydro sẽ là
[H+] = Ka
(5-45) và độ pH là
pH = pKa + log10
(5-46) Nếu thêm vào bazơ thì các ion hydro bị lấy đi, và biểu thức trên vẫn dùng được với giá trị y âm.
| Một dung dịch đệm axit fomic được chuẩn bị với 0,010 mol lit-1 mỗi loại axit fomic (HCOOH) và natri fomat (HCOONa). Hỏi pH của dung dịch này? Độ pH sẽ là bao nhiêu nếu 0,0020 mol natri hydroxit rắn (NaOH) được thêm vào một lit dung dịch đệm? Độ pH của dung dịch natri hydroxit không có dung dịch đệm là bao nhiêu? Độ pH này sẽ là bao nhiêu sau khi thêm natri hydroxit nếu các nồng độ đệm đã dùng là 0,10 mol lit-1 chứ không phải 0.010? | ||||||||
Lời giải Đáp số là
|
Ở ví dụ trên đây, bạn có thể thấy ảnh hưởng mạnh mẽ của dung dịch đệm fomat trong việc giữ co dung dịch ban đầu có tính axit mặc cho bazơ được thêm vào, và tầm quan trọng của nồng độ đệm tương đối cao để cho khả năng chịu của dung dịch không bị vượt quá.
5-9 Các muối tạo bởi axit yếu và bazơ mạnh: hiện tượng thủy phân
Dung dịch natri clorua có tính trung hòa với độ pH bằng 7,0. Điều này hợp lý, bởi natri hydroxit là một bazơ mạnh còn axit clohydric là một axit mạnh, và nếu các lượng bằng nhau của hai chất trên được thêm vào, thì quá trình trung hòa sẽ diễn ra hoàn toàn. Ngược lại, natri axetat là muối tạo bởi một baz ơ mạnh và một axit yếu. Theo trực giác, ta sẽ dự liệu rằng dung dịch natri axetat sẽ phần nào có tính bazơ; và thực sự như vậy. Một số các ion axetat từ muối này kết hợp với nước để hình thành axit axetic không bị phân ly cùng các ion hydroxit:
Ac- + H2OPhản ứng trên đôi khi được gọi là phản ứng thủy phân, với hàm ý rằng H2O phá vỡ các tinh thể natri axetat. Thật đúng vậy, khi tinh thể muối tan trong nước, song đây không phải là điều quan trọng. Trong dung dịch, ion axetat đóng vai trò như một bazơ. Theo phân loại Bronsted thì nó cũng là bazơ “chính hiệu” như amoniac, còn ion amoni thì là axit chính hiệu như HAc.
NH3 + H2O
+ OH– Ta không nên để sự khác biệt về điện tích trên ion axetat (-1) và amoniac (0) che giấu sự giống nhau giữa ứng xử axit-bazơ của chúng.
Hằng số cân bằng cho sự thủy phân axetat này cũng có cùng dạng như bất kì sự phân ly bazơ nào khác:
Kb =
(5-48) Kb =
(5-30) trong đó, như thường lệ, nồng độ nước vốn gần như không đổi được đưa vào trong hằng số cân bằng. Hằng số này đôi khi được viết là Kh để viết tắt cho “hằng số thủy phân (hydrolysis constant),” như kí hiệu bổ sung này là không cần thiết. Nó là một hằng số cân bằng bazơ đơn giản như loại ta đã gặp trước đây, chỉ khác ở chỗ ion axetat là bazơ.
Như thường lệ, Kb có liên quan tới hằng số phân ly axit tương ứng, Ka, theo hệ thức
Kb = (5-49)(Nhớ lại biểu thức cân bằng amoniac-nước ở cuối Mục 5-4.) Giá trị này là tất cả những gì ta cần để tính pH của một dung dịch natri axetat.
| Độ pH của dung dịch chứa 0,010M NaAc bằng bao nhiêu? |
Lời giải Các ion axetat từ NaAc kết hợp với H20 để tạo ra những phân tử HAc không phân ly, cùng các ion OH- (phương trình 5-47). Biểu thức cân bằng là 5.68 10-10 = Gọi nồng độ ion hydroxit là y. Vì mỗi phản ứng của một ion axetat với nước chỉ tạo ra một ion hydroxit và một phân tử HAc không phân ly, nên nồng độ của mỗi chất sau này (tức là hydroxit và HAc) phải là y mol lit-1. Các ion axetat còn thì bằng số ion ban đầu tồn tại dưới dạng NaAc trừ đi số ion kết hợp với nước: [Ac–] = 0,010 – yvà ta đi đến biểu thức quen thuộc Kb = 5,68 10-10 (5-50) Phương trình này còn dễ giải hơn cả bài toán về axit yếu. Vì hằng số cân bằng là rất nhỏ, nên y cũng sẽ nhỏ theo tương ứng và có thể được bỏ qua trong khi so với 0,010 ở mẫu số. Kết quả là y2 = 0,010 5,68 10-10 = 5,7 10-12 y = 2,4 10-6 mol lit-1 = [OH–] [H+] = = 4,2 10-9 pH = 9 – 0,6 = 8,4 |
(Như trước đây, ta đã bỏ qua bất kì đóng góp nào từ phía các phân tử nước đối với nồng độ ion hydro. Phương pháp giải vừa rồi đủ chính xác với hầu hết các trường hợp, bao gồm mục đích của chương này. Cách giải đầy đủ sẽ được trình bày ở Phụ lục 5.)
5-10 Các axit đa: axit giải phóng nhiều ion hydro
Nếu như nước làm dung môi, thì axit sunfuric, H2SO4, mất đi một proton như một proton như một axit mạnh với hằng số phân ly lớn không thể xác định được.
H2SO4 → H+ + HSO
Axit này còn có thể mât đi proton thứ hai như một axit yếu với hằng số phân ly xac định được. Những axit có thể giải phóng nhiều proton thì được gọi là axit đa.
HSO
Ka2 = 1,20
10-2 pKa2 = 1,92 Với axit cacbonic, H2CO3, cả hai sự phân ly nói trên đều yếu:
H2CO3
Ka1 = 4,3
10-7 pKa1 = 6,37 HCO
Ka2 = 5,61
10-11 pKa2 = 10,25 Các giá trị tương đối của Ka1 và Ka2 với một axit cho trước đều hợp lý về trực giác. Ta có thể dự liệu rằng HCO
, vốn sẵn có điện tích âm, sẽ không thể sẵn sàng như H2CO3 vốn trung hòa, trong việc mất đi một proton nữa.
pKa1 = 2,12 H2PO
pKa2 = 7,21 HPO
pKa3 = 12,67 Do vậy, trong một dung dịch nước của axit photophoric sẽ có 7 chất kể cả phân tử và ion có mặt: H3PO4 , H2PO
, HPO
, PO
, H2O, H+, và OH−. Mọi chuyện có thể trở nên nan giải nếu ta không thể áp dụng phép tính gần đúng.
Ở mức pH bằng với pKa nếu xét cho một sự phân li cụ thể, thì hai dạng chất phân ly đều có mặt với nồng độ bằng nhau. Với sự phân ly thứ hai của axit photphoric tương ứng pKa2 = 7.21,
Ka2 =
log
= pH – pKa2 Khi pH = pKa2, ta có tỉ số
= 1,00 Bởi vậy, trong một dung dịch trung hòa, H2PO
và HPO
đều có mặt với nồng độ gần như nhau. Sẽ có rất ít H3PO4 không phân li, bởi từ hằng số phân ly thứ nhất,
= pH – pKa1 = 7,00 – 2.12 = 4,88
= 104,88 = 7,6
104 = 76000 Tương tự, sẽ có ít PO
:
pH – pKa3 = 7,00 – 12,67 = -5,67
10-5,67 = 2,1
10-6 = 1/480000 Những chất chứa photphat ở gần mức pH = 7 mà ta cần quan tâm chỉ còn H2PO
và HPO
. Tương tự, trong các dung dịch axit mạnh ở gần pH = 3, chỉ có H3PO4 và H2PO
là quan trọng. Miễn rằng những giá trị pKa của các sự phân ly kế tiếp cách xa nhau ba hay bốn đơn vị (vốn thường xuyên xảy ra), thì mọi chuyện sẽ được đơn giản hóa.
Vẫn còn một phép đơn giản hóa nữa. Khi một axit đa như axit cacbonic, H2CO3, phân li, thì hầu hết các proton hiện có đều sinh ra từ sự phân li thứ nhất:
H2CO3
pKa1 = 6,37 Vì hằng số phân li thứ hai thì nhỏ hơn bốn cấp độ lớn (và pKa2 thì lớn hơn bốn đơn vị), nên sự đóng góp ion hydro từ sự phân li thứ hai sẽ chỉ bằng một phần vạn. Tương ứng với đó, hoàn toàn có thể bỏ qua ảnh hưởng của sự phân li thứ hai đến nồng độ chất tạo thành trong lần phân li thứ nhất, HCO
.
| Ở nhiệt độ phòng và áp suất 1 atm CO2, nước bão hòa CO2 sẽ có nồng độ axit cacbonic xấp xỉ 0,040 mol lit-1. Hãy tính độ pH và nồng độ của tất cả các chất cacbonat cho một dung dịch 0,040 M H2CO3. | ||||||||||||
Lời giải. Đầu tiên, hãy chỉ xét sự phân li thứ nhất: Ka1 = 4,3 10-7 = trong đó y = [H+] Từ kinh nghiệm của ta về axit axetic, vốn có một giá trị Ka, còn lớn hơn, ta sẽ dự liệu rằng có thể bỏ qua y trong mẫu số. Mức độ phân li của một axit với giá trị Ka thấp sẽ là rất yếu: y2 = 4,3 10-7 0,040 = 1,7 10-8 y = 1,3 10-4 mol lit-1 Đây lầ nồng độ của cả ion hydro lẫn ion bicacbonat, HCO
Do đó, các đồ uống cacbonat hóa đều có một độ axit đâu đó ở giữa khoảng rượu vang và nước ép cà chua (xem Bảng 5-2). Còn theo sự phân li thứ hai: HCO Ka2 = 5,6 10-11 = Vì sự phân li thứ hai này chỉ có ảnh hưởng rất nhỏ đến phân li thứ nhất nên ta có thể giả sử rằng các nồng độ hydro và bicacbonat bằng nhau được: [CO ] = Ka2 = Ka2 = 5,6 10-11 mol lit-1 Lưu ý kết quả hơi lạ: nồng độ của sản phẩm phân li thứ hai lại bằng hằng số phân li thứ hai! |
| Hãy tính nồng độ ion sunfit trong một dung dịch bão hòa H2S(0,10 mol lit-1) (a) nếu dung dịch được làm từ nước cất và (b) nếu dung dịch được thay đổi pH = 3,0 với HCl. Lấy các giá trị Ka theo Bảng 5-3. | ||||||||||||
Lời giải. Trong nước cất, sự phân li thứ nhất là Ka1 = 9.1 10-8 = Hằng số phân li nhỏ đến nỗi giá trị y ở mẫu số có thể được bỏ qua ngay. Sự phân li sẽ rất yếu ớt: y = [H+] = [HS–] = 9,5 10-5 mol lit-1 pH = 5 – 0,98 = 4,02 Từ sự phân li thứ hai: [S2-] = Ka2 = Ka2 = 1,1 10-12 mol lit-1 Như với ví dụ về H2CO3, anion tạo bởi lần phân li thứ hai có nồng độ bằng với hằng số phân li thứ hai. Trái lại, trong một dung dịch HCl ở pH = 3,0:
|
Axit này đã chèn ép sự phân li của H2S, làm cho nồng độ ion sunfit chỉ còn đạt 1/100 lượng vốn có trong nước cất. Như sẽ thấy ở mục tiếp theo, ta có thể dùng axit để thực hiện kiểm soát một cách tinh vi nồng độ sunfit trong các phương pháp hóa phân tích qua việc kiểm soát độ pH.
5-11 Cân bằng với các muối ít tan
Khi đa số các muối rắn tan trong nước, chúng đều phân ly gần như hoàn toàn thành các ion dương và ion âm hydrat hóa. Độ tan của một muối trong nước biểu thị tương quan giữa lực hút các ion trong mạng tinh thể và lực hút giữa các ion này với các phân tử nước phân cực. Tương quan này có thể là khá phức tạp, dễ dàng thay đổi từ chất này sang chất khác có vẻ gần giống nó, hay từ nhiệt độ này sang nhiệt độ khác. Không thể đưa ra quy tắc ngắn gọn và chuẩn xác nào để xét xem một chất có tính tan không, hay thậm chí chỉ để tính đến tất cả những ứng xử quan sát được từ chất đó.
Dĩ nhiên một yếu tố quan trọng là lực hút tĩnh điện giữa các ion. Loại tinh thể được cấu thành từ các ion nhỏ được xếp gọn sát nhau thì nói chung sẽ có thể kéo chúng rời ra như với tinh thể cấu thành từ ion lớn. Bởi vậy, với một cation cho trước, các chất florua (F–) và hydroxit (OH-) đều tan ít hơn là với nitrat (NO
) và perclorat (ClO
). Các ion clorua thì có kích thước trung bình, nên ứng xử của chúng khó phán đoán hơn nếu căn cứ vào nguyên tắc chung.
Điện tích của ion cũng quan trọng. Những ion mang điện cao hơn như photphat (PO
) và cacbonat (CO
) thì tương tác mạnh hơn với cation và ít tan hơn các ion mang một điện âm như nitrat và perclorat.
Các thuật ngữ tan được và không tan chỉ mang tính tương đối, và mức độ tan có thể gắn với một hằng số cân bằng. Với muối “ít tan” như bạc clorua, thì cân bằng tồn tạn giữa các ion phân li và hợp chất rắn:
AgCl(r)Biểu thức cân bằng của phản ứng này là
Keq =
(5-52) Miễn là còn AgCl, thì ảnh hưởng của nó đến cân bằng sẽ không thay đổi. Như với nồng độ của H2O trong cân bằng phân li nước, nồng độ của muối rắn có thể được ghép vào trong hằng số cân bằng:
Ksp = Keq[AgCl(r)] = [Ag+][Cl-] (5-53)Hằng số cân bằng mới này, Ksp, được gọi là tích số tan. Với các chất trong đó các ion không theo tỉ lệ 1:1, dạng của biểu thức tích số tan này cũng giống như biểu thức cân bằng nêu trên:
| PbCl2 | Pb2+ + 2Cl– | Ksp | = | [Pb2+][Cl–]2 | |
| Al(OH)3 | Al3+ + 3OH– | Ksp | = | [Al3+][OH–]3 | |
| Ag2CrO4 | 2Ag+ + CrO![]() | Ksp | = | [Ag+]+[CrO ] | |
| Ba3(PO4)2 | 3Ba2+ + 2PO![]() | Ksp | = | [Ba2+]3[PO ]2 |
Cân bằng tan rất hữu ích trong việc phán đoán sự kết tủa hình thành trong điều kiện cụ thể, và trong việc chọn những điều kiện theo đó hai hóa chất trong dung dịch có thể tách riêng bằng cách kết tủa chọn lọc.
Tích số tan của hợp chất ít tan có thể tính được từ độ tan của nó theo mol lit-1.
| Độ tan của AgCl trong nước là 0,000013 mol lit-1 ở 25°C. Tích số tan của nó, Ksp, bằng bao nhiêu? | ||||||
| Lời giải. Biểu thức cân bằng là AgCl Các nồng độ Ag+ và Cl– thì bằng nhau vì mỗi mol AgCl rắn tan ra sẽ tạo nên 1 mol từng loại ion Ag+ và Cl–. Vì vậy nồng độ của từng ion thì bằng với độ tan chung, s, của chất rắn tính theo mol lit-1:
|
Tại một nhiệt độ xác định, độ tan của Fe(OH)2 trong nước là 7,7 10-6 mol lit-1. Hãy tính Ksp của chất này ở nhiệt độ nêu trên. |
| Lời giải. Phương trình cân bằng là Fe(OH)2 và biểu thức tích số tan là Ksp = [Fe2+][OH–]2Vì một mol Fe(OH)2 tan ra sẽ tạo nên một mol Fe2+ cùng hai mol OH–, nên [Fe2+] = s = 7,7 10-6 mol lit-1 [OH–] = 2s = 1,54 10-5 mol lit-1 Ksp = 7,7 10-6 (1,54 10-5)2 = 1,8 10-15 |
Tích số tan của nhiều chất được liệt kê trong Bảng 5-7. Các chất này được nhóm theo anion và sắp xếp theo thứ tự Ksp giảm dần; các anion được xếp theo thứ tự độ tan tăng dần. Một khi đã biết tích số tan này, ta có thể dùng giá trị đó để tính độ tan của hợp chất ở nhiệt độ cụ thể.

| Độ tan của chì sunfat, PbSO4 , trong nước ở 25°C bằng bao nhiêu? |
Lời giải. Phản ứng phân li là PbSO4 Đặt độ tan chưa biết bằng s mol lit-1. Khi đó, vì mỗi mol PbSO4 tan ra sẽ tạo nên 1 mol từng loại ion, nên [Pb2+] = [SO ] = s Phương trình tích số tan là Ksp = [Pb2+][SO ] = s2 = 1,3 10-8 (từ Bảng 5-7) s = 1,1 10-4 mol lit-1 |
| Trong Bảng 5-7 ta thấy rằng cadimi cacbonat, CdCO3, và bạc cacbonat,Ag2CO3, có tích số tan gần bằng nhau. Hãy so sánh độ tan mol của chúng trong nước (ở 25°C). |
Lời giải. Với cadimi cacbonat, Ksp = [Cd2+][CO ] = s2 = 5,2 10-12 s = 2,3 10-6 mol lit-1 Với Ag2CO3 biểu thức trên sẽ hơi khác. Nếu độ tan vẫn được gọi là s mol lit-1, thì bởi mỗi mol muối sẽ tạo ra 2 mol các ion Ag+, nên [Ag+] = 2s [CO ] = s Ksp = [Ag+]2[CO ] = (2s)2 s = 4s3 = 8,2 10-12 s = 1,3 10-4 mol lit-1 Dù cadimi cacbonat và bạc cacbonat có tích số tan gần bằng nhau, nhưng độ tan của chúng tính theo mol lit-1 đã khác nhau cỡ 100 lần vì dạng của biểu thức tích tan đã khác nhau. Độ tan của Ag2CO3 thì biến đổi theo bình phương của nồng độ ion kim loại, bởi cần phải có hai ion bạc cho mỗi ion cacbonat mới hợp thành tinh thể chất rắn được. |
Hiệu ứng ion chung
Ở ví dụ trước, độ tan của bạc cacbonat trong nước tinh khiết được tính ra là 1,3
10-4 mol lit-1. Liệu Will bạc cacbonat sẽ tan hơn hay ít tan đi trong dung dịch bạc nitrat? Nguyên lý Le Chatelier cho phép ta dự đoán rằng nguồn các ion bạc từ bên ngoài sẽ đẩy cân bằng bạc cacbonat về phía ít phân li:
(5-54) hay bạc cacbonat sẽ ít tan hơn trong dung dịch bạc nitrat so với trong nước tinh khiết. Sự giảm độ tan của một muối trong dung dịch muối khác có cùng cation hoặc anion thì được gọi là hiệu ứng ion chung.
| Độ tan ở 25°C của canxi florua, CaF2, (a) trong nước cất, (b) trong dung dịch 0.10M canxi clorua, CaCl2, và (c) trong dung dịch 0,10M natri florua, NaF, thì bằng bao nhiêu? | |||||||||
Lời giải. (a) Nếu gọi độ tan trong nước cất là s, thì [Ca2+] = s [F–] = 2s Ksp = s 4s2 = 4s3 = 3,9 10-11 s = 2.1 10-4 mol lit-1 (b) Trong 0,01M CaCl2, nồng độ ion canxi bằng tổng các nồng độ ion canxi từ canxi clorua và canxi clorua, mà độ tan của nó ta cần phải tính: [Ca2+] = 0,10 + s [F–] = 2s Ksp = (0,10 + s)(2s)2 = 3,9 10-11 Đây là phương trình bậc ba, nhưng nếu nghĩ một lát về bản chất hóa học thì ta sẽ thấy không phải giải phương trình bậc cao như vậy. Với tích số tan nhỏ, bạn có thể dự liệu rằng độ tan của canxi florua sẽ rất nhỏ so với 0,10 mol lit-1. (Đến đây bạn đã có thể nhận ra từ câu (a) cùng nguyên lý Le Chatelier rằng trong câu này, s sẽ nhỏ hơn 2,1
Như vậy cách xấp xỉ trên là thỏa đáng. Chỉ có 4,7% lượng CaF2 hòa tan trong 0,10M CaCl2, so với lượng tan trong nước cất: 100 = 4,7% (c) Trong 0,10M NaF, [Ca2+] = s và [F–] = 0,10 + 2sbởi các ion florua đến từ NaF và cả CaF2. Phương trình tích tan là Ksp = s(2s + 0,10)2 = 3,9 10-11 Một lần nữa, nhờ xét đến bản chất hóa học sẽ giúp ta tránh khỏi giải phương trình bậc ba. Đại lượng 2s sẽ rất nhỏ so với 0,10 mol lit-1, do vậy, s(0,10)2 = 3,9 10-11 s = 3,9 10-9 mol lit-1 Phép xấp xỉ này thậm chí còn hợp lý hơn cả lần trước, bởi phép tính 100 = 0,0019% cho thấy chỉ có 0,0019% lượng CaF2 sẽ tan trong 0,10M NaF so với tan trong nước cất. Florua có tác dụng mạnh hơn canxi với vai trò ion chung vì nó có hiệu ứng bình phương trong cân bằng tan. |
Phương pháp ion chung để kiểm soát độ tan thường được dùng với các dung dịch sunfua, S2-, vì nhiều kim loại hình thành nên hợp chất sunfua không tan, và nồng độ ion sunfua này có thể được kiểm soát qua việc điều chỉnh độ pH.
| Tính nồng độ tối đa mà ion Ni2+ có thể đạt được trong nước ở 25°C bão hòa H2S và được duy trì ở pH bằng 3,0 nhờ HCl. |
Lời giải. Từ phương trình cân bằng tích tan, ca dự liệu rằng việc có quá nhiều ion nickel sẽ gây nên kết tủa nickel sulfua, NiS: Ksp = [Ni2+][S2-] = 3 10-21 Điều mới trong giải bài này chỉ là tính nồng độ ion sunfua từ cân bằng H2S. Hydro sunfua phân li theo hai bước, và mỗi bước có một hằng số cân bằng: H2S 10-8 HS– 10-12 H2S Ka2 Vì sự phân li tổng thể thì bằng tổng của hai bước phân li trên, nên hằng số cân bằng tổng thể, Ka1.2, sẽ bằng tích của Ka1 và Ka2: Ka1.2 = Ka1.2 = 9,1 10-8 1,1 10-12 = 1,0 10-19 H2S bão hòa vào khoảng 0,10M ở 25°C, và giá trị rất nhỏ của Ka1.2 đồng nghĩa với việc rất ít H2S phân li. Bởi vậy ta có thể viết [H2S] = 0,10 mol lit-1 và [H+]2[S2-] = 1,0 10-20 trong dung dịch H2S bão hòa. “Tích ion” này của H2S bão hòa là một hệ thức quan trọng cần ghi nhớ. Ở bài này, độ pH đã được điều chỉnh đến 3,0 bằng axit clohydric, bởi vậy [H+] = 1,0 10-3 mol lit-1 Do đó, nồng độ ion sunfua có thể được tính từ [S2-] = Ka1.2 1,0 10-19 và cho ra [S2-] = 1,0 10-14 mol lit-1 Vì NiS sẽ kết tủa nếu tích số tan bị vượt quá, nên giá trị lớn nhất mà nồng độ ion nickel đạt được là [Ni2+] = = 3 10-7 mol lit-1 |
Tách các hợp chất nhờ kết tủa
Các tích số tan có thể được dùng để lập nên phương pháp tách các dung dịch ion bằng kết tủa chọn lọc. Toàn bộ quy trình phân tích định tính truyền thống được dựa theo cách dùng các hằng số cân bằng này để xác định các ion kết tủa phù hợp và chiến lược phù hợp.
| Một dung dịch có 0,010M bari clorua, BaCl2, và 0,020M stronti clorua, SrCl2. Liệu Ba2+ hoặc Sr2+ có thể được kết tủa chọn lọc với dung dịch natri sunfat, Na2SO4, đậm đặc hay không? Ion nào sẽ kết tủa trước? Khi ion thứ hai vừa bắt đầu kết tủa, thì nồng độ tồn dư của ion thứ nhất bằng bao nhiêu, và phần trăm lượng ion ban đầu còn lại trong dung dịch bằng bao nhiêu? (Để đơn giản, hãy coi rằng dung dịch Na2SO4 đậm đặc đến nỗi sự thay đổi về thể tích trong dung dịch Ba-Sr có thể bỏ qua được.) |
Lời giải. Giới hjan trên về độ tan của bari sunfat được cho bởi Ksp = [Ba2+][SO ] = 1,5 10-9 Với 0,010 mol lit-1 Ba2+, sự kết tủa bari sunfat sẽ không xảy ra cho đến tận khi nồng độ ion sunfat tăng lên đến [SO ] = = 1,5 10-7 mol lit-1 Stronti sunfat sẽ kết tủa khi nồng độ sunfat là [SO ] = 3,8 10-5 mol lit-1 Bởi vậy, bari sẽ kết tủa trước. Khi nồng độ sunfat tăng lên đến 3,8 = 3,9 10-5 mol lit-1 Đại lượng này bằng 100 = 0,39% hay 0,39% lượng Ba2+ ban đầu có mặt. Như vậy 99,6% lượng bari đã bị kết tủa trước khi stronti bắt đầu kết tủa. |
Tóm tắt
Trong chương này ta đã áp dụng các khái niệm về cân bằng hóa học đối với các ion trong dung dịch nước, đặc biệt là với các phản ứng axit-bazơ và kết tủa. Ta đã sử dụng biểu thức hằng số cân bằng từ Chương 4, với nồng độ được biểu diễn theo đơn vị mol/lit (mol lit-1). Vì nồng độ của nước thì có thể coi như không đổi, đặc biệt với các dung dịch loãng, nên ta có thể gộp chung tất cả nồng độ nước, [H2O], vào trong hằng số cân bằng.
Bản thân nước, tại nhiệt độ phòng, luôn ion hóa với một hằng số cân bằng hay tích số ion Kw = [H+][OH–] = 10-14. Để tránh sự bất tiện khi ghi chép số mũ lớn, người ta dùng cách viết lũy thừa âm, trong đó pH = -log10[H+], pOH = -log10[OH-], và pKeq = -log10 Keq. Theo cách viết này, sự phân li của nước có thể được biểu diễn là pH + pOH = pKw = 14. Với nước tinh khiết, [H+] và [OH–] phải bằng nhau và bằng 10-7 mol lit-1, do đó cả pH lẫn pOH đều bằng 7. Độ pH là thang đo tiện lợi cho tính axit, vì trong các dung dịch axit thì pH nhỏ hơn 7, và trong dung dịch bazơ thì pH lớn hơn 7.
Theo lý thuyết Bronsted-Lowry về axit và bazơ, bất kì chất nào nhả proton thì đều là axit, và chất nào có thể kết hợp với một proton và lấy proton này khỏi dung dịch thì là bazơ. Khi một axit mất đi proton của nó, axit này sẽ trở thành bazơ liên hợp. Một axit mạnh như HCl có bazơ liên hợp yếu, Cl–, và một axit yếu như HAc hoặc NH
thì có bazơ liên hợp tương đối mạnh là Ac– hay NH3. Bất kì axit nào có bazơ liên hợp yếu hơn H2O (ít ái lực với H+) thì sẽ phân li hoàn toàn trong dung dịch nước, và vì vậy mà được xếp vào loại axit mạnh. Những axit chỉ phân li một phần trong dung dịch nước là những axit yếu.
Axit và bazơ mạnh thì ta dễ xử lí, vì chúng phân li hoàn toàn trong dung dịch nước. Khi một axit mạnh được thêm vào nước, mức tăng nồng độ ion hydro bằng nồng độ của axit được thêm vào. Sự trung hòa xảy ra khi H+ từ một axit kết hợp với OH– từ bazơ để tạo nên các phân tử nước. Lượng axit có trong một mẫu có thể được xác định qua việc tính xem cần bao nhiêu bazơ với độ mạnh biết trước để trung hòa dung dịch đo bằng một chất chỉ thị axit-bazơ. Quá trình này được gọi là chuẩn độ, và là một quy trình phân tích hóa học hữu ích.
Biểu thức cân bằng cho một axit yếu, phương trình 5-34, thu được nhờ sự trợ giúp của hai biểu thức bảo toàn: một phương trình cân bằng khối lượng, phát biểu rằng tổng lượng anion axit là không đổi, và một phương trình cân bằng điện, phát biểu rằng tổng thể dung dịch phải trung hòa về điện. Biểu thức đơn giản này có thể giải được theo phương trình bậc hai hoặc theo phương pháp gần đúng liên tiếp, vốn hợp lý khi dung dịch có tính axit mạnh đến nỗi sự đóng góp [H+] từ việc nước phân li là không đáng kể. Nếu không đáp ứng được điều này, thì một biểu thức đầy đủ hơn (Phụ lục 5) cần phải được dùng đến. Bản thân các chất chỉ thị axit-baz ơ là những axit yếu hoặc bazơ yếu mà các dạng phân li hay không phân li của chúng có màu khác nhau.
Một dung dịch đệm là một hỗn hợp giữa một axit yếu và muối của nó cùng một bazơ mạnh, hoặc hỗn hợp baz ơ yếu và muối của nó cùng axit mạnh. Cân bằng giữa dạng axit và dạng muối của các chất này sẽ dịch chuyển dể chống lại ảnh hưởng của axit hoặc bazơ thêm vào; điều đó làm cho dung dịch đệm rất ì với sự thay đổi pH. Độ pH trong những dung dịch như vậy có thể được tính toán theo các phương trình 5-42 và 5-46.
Thủy phân là sự tương tác giữa muối của axit yếu (hoặc bazơ yếu) với nước để tạo nên axit (hoặc) bazơ không phân li và ion OH– (hoặc H+). Cái mà đôi khi người ta gọi là hằng số thủy phân thực ra không có gì hơn chính hằng số phân li của chất liên hợp với axit hoặc bazơ yếu. Hằng số bazơ, Kb, và hằng số axit, Ka, được liên hệ bởi KaKb = Kw.
Một số axit có thể nhả ra nhiều proton trong các lần phân li liên tiếp. Chúng được gọi là các axit đa. Miễn là các hằng số phân li liên tiếp, K1, K2, vân vân, chênh lệch nhau theo hệ số cỡ 10-4 hoặc 10-5, thì các lần phân li liên tiếp này có thể được coi là những quá trình tách biệt nhau.
Phần lớn các nhận xét chung nói trên về việc giải các bài toán cân bằng axit-bazơ đều áp dụng được cho cho cân bằng tan, trong trường hợp các ion kết hợp lại để hình thành một muối không tan. Việc tính toán tích tan hữu dụng hơn để cho thấy rằng liệu kết tủa có xảy ra dưới những điều kiện nhất định hay không, để tính giới hạn trên của nồng độ một ion trong dung dịch có thể là bao nhiêu, hay để xét xem liệu hai ion có thể tách được trong dung dịch bằng cách kết tủa chọn lọc hay không.
Câu hỏi tự học
1. Theo khía cạnh nào có thể coi nước là phân tử phân cực? Sự phân cực này bằng cách nào đã khiến nước là một dung môi tốt? Nước là dung môi đặc biệt tốt đối với những chất kiểu gì?
2. Tại sao nước là dung môi tốt với metanol hơn là với metan? Tại sao muối ăn tan tốt hơn trong nước hơn là trong benzen?
3. Thế nào là sự hydrat hóa một ion? Những kiểu ion như thế nào bị hydrat hóa? Solvat hóa là gì, và nó liên hệ với hydrat hóa thế nào? Sự hydrat hóa có ảnh hưởng htees nào đến độ tan của muối?
4. Tích số ion của sự phân li nước là gì? Tại sao nồng độ của nước không xuất hiện trong biểu thức này?
5. Thang đo pH là gì, và tại sao nó hữu ích? Axit mạnh thì có pH cao hay thấp? Axit đó có pOH cao hay thấp? Nếu pH của một dung dịch bằng 3, thì pOH bằng bao nhiêu, và nồng độ của các ion hydro và ion hydroxit bằng bao nhiêu?
6. Khi độ pH thay đổi hai đơn vị, thì nồng độ ion hydro thay đổi bao nhiêu lần? Khi độ pH thay đổi một đơn vị, thì nồng độ ion hydro thay đổi bao nhiêu lần?
7. Axit là gì, bazơ là gì, theo các thuyết của Arrhenius và của Brønsted & Lowry? Axit và bazơ liên hợp là gì? Hãy cho hai ví dụ về cặp axit-bazơ liên hợp; trong đó một trường hợp axit có tích điện còn bazơ trung hòa điện, và một trường hợp hợp axit trung hòa điện và bazơ tích điện.
8. Nêu sự khác biệt giữa các axit mạnh và yếu? Tại sao nói rằng một axit mạnh là axit có anion là bazơ yếu hơn phân tử nước? Hiệu ứng cào bằng là gì? Trong dung môi metanol, liệu những axit nào vốn là axit mạnh trong dung môi nước sẽ trở nên yếu đi không; hay axit vốn yếu trong dung môi nước sẽ mạnh lên? Hãy giải thích trên cơ sở sự đua tranh giành proton.
9. Các hằng số phân ly axit và bazơ, Ka và Kb, được định nghĩa như thế nào? Tại sao tích của chúng luôn bằng Kw ? Hãy minh họa bằng một ví dụ khác ngoài những ví dụ đã dùng trong chương này.
10. Nghĩa của đương lượng trong chuẩn độ axit hoặc bazơ là gì? (Xem Chương 2 nếu bạn đã quên.) Có bao nhiêu gam đương lượng axit trong 1 mol axit clohydric? Axit photphoric? Axit sunfuric? Cần bao nhiêu mol natri hydroxit để trung hòa 1 mol axit sunfuric?
11. Tại sao việc chọn một chất chỉ thị lại tương đối không ngặt nghèo khi chuẩn độ axit mạnh bằng bazơ mạnh? Tại sao việc này ngặt nghèo hơn khi chuẩn độ một axit yếu?
12. Điều gì khiến cho một số loại axit hoặc bazơ yếu phù hợp làm chất chỉ thị? Chúng “chỉ thị” thông số gì, và bằng cách nào?
13. Liệu pH của một dung dich bazơ yếu lớn hơn hay nhỏ hơn pH của một dung dịch cùng nồng độ bazơ mạnh, nếu coi chúng có cùng số đượgn lượng bazơ mỗi mol? Tại sao?
14. Các phương trình cân bằng khối và cân bằng điện là gì, và chúng liên quan thế nào trong việc xây dựng biểu thức hằng số cân bằng? Ý nghĩa vật lý của những phương trình cân bằng này xét về nguyên tử, ion, và điện tích là như thế nào?
15. Phương pháp gần đúng liên tiếp là gì, và cách áp dụng nó vào việc giải quyết các bài toán có liên quan tới axit yếu hoặc bazơ yếu ra sao?
16. Liệu dung dịch amoni clorua có tính axit, trung tính, hay bazơ? Khi nồng độ của dung dịch này tăng lên, độ pH sẽ ra sao?
17. Khi nào sự đóng góp từ việc phân ly nước sẽ trở nên quan trọng đối với cân bằng axit yếu? Khi nào sự đóng góp này không đáng kể?
18. Nếu ta thêm ít amoni clorua vào dung dịch nước của amoniac thì nó sẽ gây ảnh hưởng thế nào đến mức độ phân li dung dịch này? Theo bạn, mức độ phân li sẽ thế nào nếu thay vì amoni clorua, ta thêm vào một chất để tạo thành một ion phức như Cu(NH3)42+ với các phân tử amoniac? Ở đây cho thấy nguyên lý Le Chatelier thể hiện ra sao?
19. Một dung dịch đệm có tác dụng chống lại nỗ lực thay đổi độ pH của dung dịch ra sao? Hai thành phần của một dung dịch đệm điển hình là gì?
20. Trong điều kiện nào, độ pH của một hỗn hợp đệm bằng với pKa của axit đệm? Bằng cách nào ta có thể lập một hỗn hợp đệm sao cho độ pH kém hơn một đơn vị so với pKa?
21. Các cân bằng khối lượng và cân bằng điện có liên quan thế nào đến cách lập biểu thức tổng quát cho cân bằng trong dung dịch gồm axit yếu cùng muối của nó trong một bazơ mạnh? Biểu thức tổng quát này có thể rút gọn thế nào để thành biểu thức đơn giản hơn mà ta đã đùng cho các axit yếu, dung dịch đệm, và thủy phân?
22. Sự thủy phân là gì? Hàng số thủy phân là gì, và nó liên hệ thế nào với Ka, Kb, và Kw?
23. Axit đa là gì? Các hằng số phân li cân bằng liên tiếp của chúng thường có giá trị thế nào so với nhau?
24. Nếu như một sự phân li có pKa bằng 4, thì tỉ số giữa các dạng không phân ly với dạng phân ly trong một dung dịch trung hòa sẽ bằng bao nhiêu? Tỉ số này sẽ bằng bao nhiêu nếu pKa bằng 9?
25. Mối liên hệ giữa độ tan (s) và tích số tan (Ksp) của CaCO3, CaF2, và Ca3(PO4)2, lần lượt bằng bao nhiêu?
26. Hiệu ứng ion chung là gì, và nó ảnh hưởng thế nào đến cân bằng tan?
27. Những gì ta biết về tích số tan có thể dùng được để tách phân tích các ion trong dung dịch như thế nào?
28. Độ pH có thể được dùng để kiểm soát nồng độ của ion sunfua, S2-, trong dung dịch như thế nào? Khi độ pH được nâng lên, liệu nồng độ ion sunfua này sẽ tăng hay giảm? Hãy giải thích một cách khoa học.
Bài tập
Tính độ pH
1. Tính độ pH của dung dịch NaOH 0,01M.
2. Tính độ pH của dung dịch HCl 1,0 × 10-10M. Tại sao kết quả không là pH bằng 10?
3. Tính độ pH của từng dung dịch sau: (a) HCl 0,001M; (b) HCl 0,02M; (c) NaOH 0,001M; (d) Ba(OH)2 0,001M.
4. Tính độ pH của từng dung dịch sau: (a) NaOH 0,10M; (b) HCl 0,020M; (c) NaCl 0,050M; (d) nước tinh khiết.
5. Tính độ pH và pOH của dung dịch axit axetic 0,120M.
6. Độ pH của từng dung dịch sau bằng bao nhiêu? (a) axit axetic 0,10M; (b) axit clorơaxetic (chloroacetic) 0,10M; (c) axit clorơaxetic 0,01M; (d) hydro xianua 0,10M.
Sự thay đổi độ pH
7. Một dung dịch có chứa H+, NO2-, và HNO2 ở trạng thái cân bằng. Độ pH sẽ thay đổi theo chiều hướng nào nếu từng chất sau được thêm vào dung dịch ban đầu: (a) HCl; (b) HCN; (c) NaCN; (d) NaCl; (e) H2O ?
8. Độ pH của nước tính khiết sẽ sẽ thay đổi theo chiều hướng nào nếu từng chất sau được thêm vào dung dịch ban đầu: (a) HCN; (b) HCl; (c) NaCN; (d) NaCl; (e) NH4Cl; (f) NH3; (g) NH4CN ?
pH và Ka
9. Nếu một dung dịch axit axetic 0,10M được ion hóa 1,3%, thì độ pH của dung dịch này bằng bao nhiêu? Ka của axit này bằng bao nhiêu? Hãy so sánh kết quả tính được với giá trị trong Bảng 5-3.
10. Nếu một dung dịch HF 0,10M được ion hóa 5,75% thì độ pH của dung dịch này bằng bao nhiêu? Ka của HF bằng bao nhiêu? Hãy so sánh kết quả tính được với giá trị trong Bảng 5-3.
Độ pH
11. Từ số liệu trong Bẳng 5-3, hãy tính hằng số phân li của amoni hydroxit. Liệu thực sự có tồn tại NH4OH không phân li trong dung dịch không? Nếu không, thì phản ứng để tạo ra ion amoni và OH- là gì? Tính độ pH của dung dịch 0,0100M amoniac?
12. Hộp đựng bột giặt phải được dán nhãn cảnh báo nếu chất bột giặt trong đó tạo thành dung dịch có pH lớn hơn 11, bởi bazơ mạnh sẽ phá hủy cấu trúc protein. Liệu một hộp bột giặt cần phải dán nhãn cảnh báo không nếu chất bột trong đó tạo nên dung dịch có nồng độ H+ là 2,5 × 10-12 mol lit-1.
Axit yếu
13. Hằng số ion hóa của axit arsenơ, HAsO2, là 6,0 × 10-1o. Tính độ pH của dung dịch axit arsenơ 0,10M. Độ pOH của dung dịch 0,10M bằng bao nhiêu?
14. Tính nồng độ ion CN- và pOH trong dung dịch nước chứa HCN 1,00M.
15. Tính nồng độ cân bằng của ion NO2- trong dung dịch axit nitơrơ 0,25M. Độ pH của dung dịch này bằng bao nhiêu? Tỉ lệ phần trăm ion hóa HNO2 bằng bao nhiêu?
Bazơ yếu
16. Một dung dịch amoniac có nồng độ ion hydro là 8,0 × 10–9 mol lit-1. Tính pOH của dung dịch này.
17. Pyridin là một bazơ hữu cơ, có phản ứng với nước như sau:
C5H5N + H2O
C5H5NH+ + OH-
Hằng số phân ly bazơ, Kb, của phản ứng này bằng 1,58 × 10–9 mol lit-1. Tính nồng độ ion C5H5NH+ trong một dung dịch ban đầu chứa pyridin 0,10M. Độ pH của dung dịch này bằng bao nhiêu?
18. Hydrazin là một bazơ yếu phân ly trong nước như sau:
N2H4 + H2O
N2H5+ + OH-
Hằng số cân bằng của sự phân ly này ở 25°C là 2,0 × 10–6 . Hãy viết biểu thức hằng số cân bằng cho phản ứng này. Nếu như nồng độ hydrazin ban đầu là 0,010M thì nồng độ của ion hydrazin, N2H5+, bằng bao nhiêu? Độ pH bằng bao nhiêu?
Thủy phân
19. Tính độ pH của dung dịch amoni clorua 0,18M.
20. Tính độ pH của dung dịch natri axetat 0,025M.
21. Ion hypobromit, OBr-, là bazơ liên hợp của axit yếu, axit hypobromơ, HOBr. Khi 0,100M natri hypobromit, NaOBr, được hòa tan vào nước, thì pH của dung dịch là 10,85. Hãy viết phương trình thủy phân của NaOBr, và biểu thức hằng số cân bằng cho phản ứng này. Hãy tính giá trị của hằng số thủy phân và hằng số phân ly axit của HOBr.
22. Ion phenolat, C6H5O-, là anion của axit yếu, phenol C6H5OH. Axit này trải qua thủy phân theo phương trình
C6H5O- + H2O
C6H5OH + OH-
Một dung dịch natri phenolat 0,0100M có độ pH là 11,0. Hãy viết biểu thức hằng số thủy phân. Tính các giá trị hằng số thủy phân và hằng số phân ly axit của phenol.
23. Dung dịch natri nitrit 0,100M có độ pH bằng 8,15. Hãy tính hằng số thủy phân, Kb, cho NO2-. Tính hằng số phân ly của axit nitơrơ.
24. Tính độ pH của dung dịch natri xianit 1,0M.
Dung dịch đệm
25. Một dung dịch đệm được chế bằng 0,30M natri xianit và 0,30M HCN. Độ pH của dung dịch đệm này bằng bao nhiêu?
26. Tính độ pH của một dung dịch có NH3 0,20M và NH4Cl 0,40M.
27. Một dung dịch đệm được chế từ các thể tích bằng nhau của axit axetic 0,10M và natri axetat 0,10M. Độ pH củag dun dịch đệm này bằng bao nhiêu?
28. Tính độ pH của một dung dịch được chế từ các thể tích bằng nhau của axit propionic 0,20M và natri propionat 0,20M.
Kiểm soát độ pH
29. Nếu 0,010 mol khí HCl được hòa tan vào 1 lít nước tinh khiết, thì độ pH của dung dịch thu được bằng bao nhiêu? Nếu cùng lượng HCl này được hòa tan vào 1 lít dung dịch đệm của bài 28 trước đó, thì độ pH của dung dịch thu được bằng bao nhiêu?
30. Một dung dịch chứa axit fomic 0,10M và natri fomat 0,010M. Hỏi độ pH của dung dịch này? Nếu thêm 0,10 g natri hydroxit vào 1 lit dung dịch đệm nêu trên, thì pH của dung dịch cuối cùng sẽ như thế nào? Nếu, thay vào đó, ta thêm vào 1,0 g NaOH thì độ pH sẽ như thế nào?
31. Nếu 20 ml dung dịch chứa 0,6M amoniac được trộn với 10 ml dung dịch amoni clorua 1,8M, thì độ pH dung dịch thu được sẽ là bao nhiêu? Nếu thêm 1 ml dung dịch HCl 1,0M thì độ pH sẽ bằng bao nhiêu?
32. Nếu dung dịch đệm ở bài trước (số 31) được chuẩn bị từ 0,06M amoniac và 0,18M amoni clorua, thì với lượng dung dịch HCl như trên sẽ làm pH thay đổi nhiều hay ít hơn trước? Tại sao? Độ pH trước và sau khi thêm HCl bằng bao nhiêu?
Chuẩn độ
33. Novocain (Nvc) là một bazơ hữu cơ yếu, có phản ứng với nước như sau:
Nvc + H2O
NvcH+ + OH-
Hằng số phân li bazơ của phản ứng này là Kb = 9,0 × 10–6 . Giả sử 0,010M dung dịch Novocain được chuẩn độ bằng axit nitric. (a) Tính độ pH của dung dịch Novocain lúc bắt đầu chuẩn độ, trước khi thêm axit vào. (b) Tại điểm tương đượng của chuẩn độ, dung dịch có ứng xử tựa như một dung dịch có 0,010M NvcH+NO3-. Độ pH của dung dịch này bằng bao nhiêu? (c) Chất chỉ thị bromcrezol xanh có pKa bằng 5,0. Liệu chất chỉ thị này có thích hợp với phép chuẩn độ đang xét không?
34. Nếu dung dịch pyridin 0,10M (Kb = 1,58 × 10-8 ) được chuẩn độ bằng HCl, thì độ pH của dung dịch sẽ bằng bao nhiêu khi tỉ số giữa đương lượng H+ thêm vào chia cho đương lượng pyridin ban đầu bằng 0,50? Độ pH sẽ bằng bao nhiêu nếu tỉ số này là 1,00? Từ thông tin trên Hình 5-5, chất chỉ thị nào sẽ thích hợp nhất đối với phép chuẩn độ này: metyl tím, metyl cam, bromtymol xanh, hay alizarin?
Hằng số phân li
35. Một sinh viên chuẩn độ một thìa đầy chứa một loại axit đơn chưa biết bằng một dung dịch NaOH chưa biết nồng độ. Sau khi thêm 5,00 ml bazơ, sinh viên này nhận thấy độ pH của dung dịch bằng 6,0. Điểm tương đương đạt tới khi sinh viên thêm tiếp 7,00 ml bazơ. Hãy tín hhằng số phân li của axit này.
Hằng số cân bằng
36. Xác định các hằng số cân bằng cho những phản ứng sau, bằng cách dùng số liệu trong chương này:
a) NO2- + HF
HNO2 + F-
b) CH3COOH + F-
HF + CH3COO-
c) CH3COOH + SO32-
HSO3- + CH3COO-
d) NH3 + HSO3-
SO32- + NH4+
Hãy sắp xếp các axit Brønsted này theo thứ tự tăng dần độ mạnh axit.
Axit đa
37. Tính các nồng độ của H+, HCO3-, CO32-, và CO2(l) trong một dung dịch bão hòa axit cacbonic (CO2 0,034M). Tính độ pH của dung dịch này.
38. Tính các nồng độ của H+, HSO4-, SO42-, và H2SO4 trong một dung dịch axit sunfuric 0,30M. Tính độ pH của dung dịch này.
39. Tính các nồng độ của H+, HSO3-, SO32-, và H2SO3 trong một dung dịch SO2 0,050M.
40. Tính các nồng độ của H+, HSO3-, SO32-, và H2SO3 trong một dung dịch SO2 0,050M.
Tính Ksp
41. Độ tan của bạc photphat, Ag3PO4, trong nước ở 20°C là 0,0067 g/lit. Tích số tan, Ksp, của muối này bằng bao nhiêu? Tính độ tan của bạc photphat theo mol/lit trong dung dịch có chứa tất cả là 0,10 mol/lit Ag+.
42. Nếu một dung dịch có chứa 0,16 mol/lit Pb2+ với nồng độ ion clo 0,10M thì 99,0% lượng Pb2+ bị loại bỏ dưới dạng PbCl2. Tính Ksp của PbCl2.
Độ tan
43. Với dữ liệu như trên Bảng 5-7, hãy tính độ tan theo mol/lit của MgF2 trong nước tinh khiết. Độ tan của dung dịch NaF 0,050M bằng bao nhiêu?
44. Độ tan của CoS trong nước tinh khiết tính theo mol/lit bằng bao nhiêu? Tính độ tan của CoS trong dung dịch natri sunfua 0,10M.
Hiệu ứng ion chung
45. Nồng độ ion bạc trong một dung dịch bạc cromat trong nước tinh khiết là bao nhiêu? Trong dung dịch cromat 0,10M là bao nhiêu?
46. Tính nồng độ ion canxi trong dung dịch bão hòa canxi florua. Nồng độ ion canxi sẽ là bao nhiêu nếu dung dịch này còn chứa 0,05M NaF?
Kết tủa
47. Một dung dịch có chứa 0,10M Mg2+, 0,10M NH3, và 1,0M NH4Cl. Liệu Mg(OH)2 có kết tủa không?
48. Cần thêm bao nhiêu gam amoni clorua vào 100 ml amoni hydroxit 0,050M để ngăn sự kết tủa của sắt(II) hydroxit, Fe(OH)2, khi hỗn hợp NH4Cl – NH4OH nói trên được đổ vào 100 ml 0,020M FeCl2? Coi như việc thêm vào NH4Cl rắn không làm thay đổi thể tích.
pH và sự kiểm soát kết tủa
49. Ksp của canxi photphat, Ca3(PO4)2, là 1,3 × 10-32 , và hằng số ion hóa thứ ba của axit photphoric là 2,2 × 10-8. Xét trường hợp 0,31 g canxi photphat được thêm vào 100 ml nước, và độ pH của dung dịch này được điều chỉnh đến khi toàn bộ lượng canxi photphat đã tan hết. Khi này, pH bằng bao nhiêu? (Coi như HPO42- là chất mới duy nhất được tạo thành trong dung dịch, và CaHPO4 là chất tan.)
50. Trong quá trình kết tủa các sunfua kim loại, sự kết tủa chọn lọc có thể thực hiện được bằng cách điều chỉnh nồng độ ion hydro. Ở độ pH nào thì ZnS bắt đầu kết tủa từ một dung dịch 0,0077M H2S có chứa 0,08M Zn2+? (Các số liệu cần thiết được cho trong bảng ở chương này.)
Độ tan và pH
51. Xác định độ tan của AgOH trong một dung dịch đệm ở pH bằng 13.
52. Trong dung dịch nước bão hòa H2S, “tích ion” của H2S bằng giá trị cho trong Ví dụ 22. Hãy tính độ tan của FeS tại pH bằng 9 và bằng 2. Theo bạn, ứng xử này của hóa chất có ích thế nào trong phép tách phân tích?
53. Tính độ tan của Mg(OH)2 trong dung dịch nước ở pH bằng 2 và pH bằng 12. Ứng xử này có ích gì trong phép tách hóa học?
54. Thông thường, các khu dân cư làm mềm nước phần nào bằng cách thêm vôi tôi, Ca(OH)2, vào nguồn nước cấp. Vôi tôi sẽ phản ứng với HCO3– ,
Ca(OH)2(r) + 2HCO3– → CaCO3(r) + CO32- + 2H2O(l)
để tạo thành một mol CO32-, mà sau đó sẽ phản ứng tiếp với Ca2+ ban đầu có trong nước để kết tủa CaCO3. Như vậy ion Ca2+ được thêm vào để lấy đi ion Ca2+. Có một nhà máy làm mềm nước bị trục trặc đã cấp dung dịch bão hòa Ca(OH)2 đến vòi nước các hộ gia đình ở Charleston, Illinois. Hãy tính độ pH của một dung dịch bão hòa Ca(OH)2 ở 0ºC. Liệu nước này có nguy hiểm với người dùng không? (Xem Bài 12.) Độ tan của Ca(OH)2 có thể xem trong sổ tay hóa học.
Kết tủa
55. Có ba phương án sau được gợi ý cho việc loại bỏ ion bạc khỏi dung dịch: (a) Pha vào dung dịch lượng 0,010M NaI. (b) Tạo đệm dung dịch ở độ pH bằng 13. (c) Pha vào dung dịch lượng 0,0010M Na2S. Trong mỗi trường hợp, nồng độ ion bạc cân bằng sẽ là bao nhiêu? Phương pháp nào hiệu quả nhất trong việc loại bỏ ion Ag+?
Các tài liệu nên đọc
A. J. Bard, Chemical Equilibrium, Harper & Row, New York, 1966.
J. N. Butler, Ionic Equilibrium, Addison-Wesley, Reading, Mass., 1964.
J. N. Butler, Solubility and pH Calculations, Addison-Wesley, Reading, Mass., 1964.
A. F. Clifford, Inorganic Chemistry of Qualitative Analysis, Prentice-Hall, Englewood Cliffs, N.J., 1961.
E. S. Gould, Inorganic Reactions and Structure, Holt, Rinehard and Winston, New York, 1962, 2nd ed.
K. B. Harvey and G. B. Porter, Introduction to Physical Inorganic Chemistry, Addison-Wesley, Reading, Mass., 1963.
E. J. King, Acid-Base Equilibria, Macmillan, New York, 1965.
E. J. King, Qualitative Analysis and Electrolyte Solutions, Harcourt Brace Jovanovich, New York, 1959.
T. Moeller and R. O’Conner, Ions in Aqueous Systems, McGraw-Hill, New York, 1972.
L. Pauling, The Nature of the Chemical Bond, Cornell University Press, Ithaca, N.Y., 1960, 3rd ed.
M. J. Sienko, Chemistry Problems, W. A. Benjamin, Menlo Park, Calif., 1972, 2nd ed.
M. J. Sienko and R. A. Plane, Physical Inorganic Chemistry, W. A. Benjamin, Menlo Park, Calif., 1963.
Đáp số cho bài tập số lẻ


Đánh giá:
Chia sẻ:
- X
- PrintFriendly
- RSS Feed
Có liên quan
Từ khóa » Công Thức Cân Bằng Axit Bazo
-
Chương Ii: Cân Bằng Axit Bazơ
-
BÀI TẬP CÂN BẰNG AXIT - BAZƠ - Công Ty Hóa Chất Hanimex
-
Phân Loại Và Phương Pháp Giải Bài Tập Cân Bằng Axit Bazơ (đa Aaxit ...
-
Cân Bằng Axit Bazơ Trong Dung Dịch Chất điện Li - 123doc
-
Cân Bằng Axit-bazơ (Hóa Học) - Mimir Bách Khoa Toàn Thư
-
[PDF] 2.2. Hằng Số Axit, Hằng Số Bazơ, Tích Số Ion Của Nước ... - Bktoanthu
-
Hóa Phân Tích Và Môi Trường - SlideShare
-
Phản ứng Axit - Bazơ - Cân Bằng Axit - Páginas De Delphi
-
Sáng Kiến Kinh Nghiệm Cân Bằng Axit Bazơ Trong Dung Dịch Chất điện Li
-
Rối Loạn Cân Bằng Acid Bazơ
-
Xây Dựng, Tổng Hợp 30 Bài Tập Kèm Theo Lời Giải Chi Tiết Về Cân Bằng ...
-
Công Thức Tính PH Của Dung Dịch Axit, Bazo, Muối Đầy Đủ, Dễ Hiểu
-
HOÁ ĐẠI CƯƠNG - CÂN BẰNG AXIT BAZƠ - 3/12/2020 - YouTube
-
Tổng Hợp Kiến Thức Về Axit, Bazơ, Muối Lớp 11
6.3
Ka![\textstyle\frac{[H^+][SO_4^{2-}]}{[HSO_4^-]}](https://i0.wp.com/upload.wikimedia.org/math/f/8/d/f8dab122b4aa3e28bc19f47c12daa041.png)
Ka![\textstyle\frac{[H^+][F^-]}{[HF]}](https://i0.wp.com/upload.wikimedia.org/math/f/6/0/f6022a96e7d208db9b11438563e91968.png)
Ka![\textstyle\frac{[H^+][CH_3COO^-]}{[CH_3COOH]}](https://i0.wp.com/upload.wikimedia.org/math/c/d/4/cd40665cb04cb67b1b25ff8318b7720f.png)
![\textstyle\frac{[H^+][CN^-]}{[HCN]}](https://i0.wp.com/upload.wikimedia.org/math/5/2/5/5257701325d6c4b81a94f58ed63b35e4.png)
2.0
= 10-4
0.053 m mol ml-1 hay mol lit-1 
Hình 5-5 Đường cong chuẩn độ của axit và baz ơ mạnh điển hình. 50 ml HNO3 0,10M được chuẩn độ bằng lượng tăng dần KOH 0,10M. Dữ liệu được cho trong Bảng 5-5. Lưu ý rằng pH thay đổi nhanh mức nào ở khu vực điểm cuối, hay ở chính xác điểm trung hòa axit bởi bazơ. Bất kì chất chỉ thị axit-bazơ nào đổi màu giữa pH 4 và pH 10 đều có thể dùng được để phát hiện điểm tương đương trong phép chuẩn độ này.
(0.10) mmole ml-1
(0.10) mmol ml-1
y = 1,33
12,4%
(từ phương trình 5-42)
3,52
3,48
100 = 0,35%
y = 1,76
1,83
5,68
= 4,2
trong đó y = [H+]
Ka2 = Ka2 = 5,6
Ka2 = Ka2 = 1,1
9.1
= 1.1
1.0
= 9,75
100 = 4,7%
100 = 0,0019%
Ka1.2 = 9,1
1,0
= 3
= 1,5
3,8
= 3,9
100 = 0,39%