Chuyên đề Từ Vuông Góc đến Song Song - Toán THCS

Tài liệu gồm 09 trang, trình bày lý thuyết trọng tâm, các dạng toán và bài tập chuyên đề từ vuông góc đến song song, có đáp án và lời giải chi tiết, hỗ trợ học sinh lớp 7 trong quá trình học tập chương trình Toán 7 phần Hình học chương 1: Đường thẳng vuông góc, đường thẳng song song.

Mục tiêu: Kiến thức: + Phát biểu được quan hệ giữa tính vuông góc với tính song song. + Phát biểu được tính chất của ba đường thẳng song song. Kĩ năng: + Vận dụng được các tính chất để chứng minh bài toán. I. LÍ THUYẾT TRỌNG TÂM II. CÁC DẠNG BÀI TẬP Dạng 1: Chứng minh hai đường thẳng vuông góc, hai đường thẳng song song. Dạng 2: Tính góc.

Tải tài liệu
  • Tài Liệu Toán 7
Ghi chú: Quý thầy, cô giáo và bạn đọc có thể chia sẻ tài liệu trên TOANMATH.com bằng cách gửi về: Facebook: TOÁN MATH Email: [email protected]

TÀI LIỆU LIÊN QUAN

Tài Liệu Toán 7

Tài liệu học tập môn Toán 7 học kì 1 năm học 2025 – 2026

11/09/2025 Tài Liệu Toán 7
Tài Liệu Toán 7

Tóm tắt lý thuyết và các dạng bài tập một số hình khối trong thực tiễn Toán 7

01/09/2025 Tài Liệu Toán 7
Tài Liệu Toán 7

Tóm tắt lý thuyết và các dạng bài tập quan hệ giữa các yếu tố trong một tam giác

01/09/2025 Tài Liệu Toán 7
Tài Liệu Toán 7

Tóm tắt lý thuyết và các dạng bài tập làm quen với biến cố và xác suất của biến cố

30/08/2025 Tài Liệu Toán 7
Tài Liệu Toán 7

Tóm tắt lý thuyết và các dạng bài tập biểu thức đại số và đa thức một biến Toán 7

30/08/2025 Tài Liệu Toán 7
Tài Liệu Toán 7

Tóm tắt lý thuyết và các dạng bài tập tỉ lệ thức và đại lượng tỉ lệ Toán 7

30/08/2025 Tài Liệu Toán 7
Tài Liệu Toán 7

Tóm tắt lý thuyết và các dạng bài tập thu thập và biểu diễn dữ liệu Toán 7

28/08/2025 Tài Liệu Toán 7
Tài Liệu Toán 7

Tóm tắt lý thuyết và các dạng bài tập tam giác bằng nhau Toán 7

28/08/2025 Tài Liệu Toán 7
Tài Liệu Toán 7

Tóm tắt lý thuyết và các dạng bài tập góc và đường thẳng song song Toán 7

26/08/2025 Tài Liệu Toán 7
Tài Liệu Toán 7

Tóm tắt lý thuyết và các dạng bài tập số thực Toán 7

26/08/2025 Tài Liệu Toán 7

TÌM KIẾM THEO TỪ KHÓA

Tìm kiếm cho:

TÀI LIỆU MỚI NHẤT

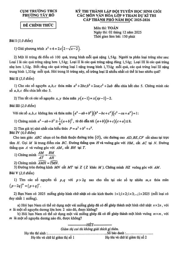
  • Đề lập đội tuyển HSG Toán 9 năm 2025 – 2026 cụm THCS phường Tây Hồ – Hà Nội 17/12/2025
  • Đề chọn học sinh giỏi cấp tỉnh Toán THCS năm 2025 – 2026 sở GD&ĐT Thanh Hóa 17/12/2025
  • Đề kiểm tra KSCL lần 2 Toán 9 năm 2025 – 2026 trường THCS Văn Quán – Hà Nội 16/12/2025
  • Đề KSCL thi thử vào lớp 10 môn Toán lần 2 năm 2026 trường THCS Lê Lợi – Hà Nội 16/12/2025
  • Đề cương học kì 1 Toán 6 năm 2025 – 2026 trường THCS Phúc Diễn – Hà Nội 16/12/2025
  • Đề cương học kì 1 Toán 7 năm 2025 – 2026 trường THCS Phúc Diễn – Hà Nội 16/12/2025

Copyright © 2025 | THCS.TOANMATH.com

Từ khóa » Chuyên đề Từ Vuông Góc đến Song Song Lớp 7