Công Thức Tính Lực Ma Sát
Có thể bạn quan tâm
Nâng cấp gói Pro để trải nghiệm website VnDoc.com KHÔNG quảng cáo, và tải file cực nhanh không chờ đợi.
Tìm hiểu thêm » Mua ngay Từ 79.000đ Hỗ trợ ZaloCông thức tính lực ma sát
Trong bài viết này, VnDoc xin được giới thiệu công thức tính ba lực ma sát: ma sát trượt, ma sát nghỉ và ma sát lăn giúp bạn đọc so sánh và ứng dụng ba lực ma sát này trong thực tế. Dưới đây là các công thức tính lực ma sát và bài tập áp dụng, hỏi đáp học tập liên quan tới môn Vật lý lớp 10, mời các bạn cùng theo dõi.
Ngoài ra, VnDoc.com đã thành lập group chia sẻ tài liệu học tập THPT miễn phí trên Facebook: Tài liệu học tập lớp 10. Mời các bạn học sinh tham gia nhóm, để có thể nhận được những tài liệu mới nhất.
- Bộ đề kiểm tra 15 phút môn Vật lý lớp 10
- Công thức vật lý lớp 10 đầy đủ
- Bài tập Vật lý lớp 10 - Tổng hợp và phân tích lực
- Trắc nghiệm Vật lý 10: Cơ sở của nhiệt động lực học
- Câu hỏi trắc nghiệm Vật lý lớp 10: Các định luật bảo toàn
- Tổng hợp kiến thức Vật lý 10
- 1000 Đề thi học kì 1 lớp 10 năm 2020 Tải nhiều nhất
1. Lực ma sát trượt:

+ Xuất hiện tại bề mặt tiếp xúc khi có chuyển động tương đối 2 bề mặt tiếp xúc và cản trở chuyển động của vật.
+ Điểm đặt lên vật sát bề mặt tiếp xúc.
+ Phương: song song với bề mặt tiếp xúc.
+ Chiều: ngược chiều với chiều chuyển động tương đối so với bề mặt tiếp xúc.
+ Độ lớn: Fmst = μt N ; N: Độ lớn áp lực( phản lực)
2. Lực ma sát nghỉ:
+ Xuất hiện tại bề mặt tiếp xúc, do bề mặt tiếp xúc tác dụng lên vật khi có ngoại lực giúp cho vật đứng yên tương đối trên bề mặt của vật khác hoặc thành phần của ngoại lực // bề mặt tiếp xúc tác dụng làm vật có xu hướng chuyển động,
+ Điểm đặt: lên vật sát bề mặt tiếp xúc.
+ Phương: song song với bề mặt tiếp xúc.
+ Chiều: ngược chiều với lực (hợp lực) của ngoại lực (các ngoại lực và thành phần của ngoại lực song song với bề mặt tiếp xúc Ft) hoặc xu hướng chuyển động của vật.
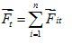
+ Độ lớn: Fmsn = Ft Fmsn Max = μn N (μn > μt )
Ft: Độ lớn của ngoại lực (thành phần ngoại lực) song song với bề mặt tiếp xúc μn.
* Chú ý: trường hợp nhiều lực tác dụng lên vật thì Ft là độ lớn của hợp lực các ngoại lực và thành phần của ngoại lực song song với bề mặt tiếp xúc.
![]()
3. Lực ma sát lăn:
Khi một vật lăn trên một vật khác, xuất hiện nơi tiếp xúc và cản trở chuyển động lăn.
Fmsl có đặc điểm như lực ma sát trượt.
Bài tập lực ma sát
Bài 1: Một ôtô khối lượng 1,5 tấn chuyển động thẳng đều trên đường. Hệ số ma sát lăn giữa bánh xe và mặt đường là 0,08. Tính lực phát động đặt vào xe.
Bài giải

Khi xe chuyển động thẳng đều, điều đó có nghĩa là :
Fpđ = Fmst = m.N
Fpđ = m.P = m.mg = 0,08.1500.9,8 = 1176 (N)
Bài 2: Một xe ôtô đang chạy trên đường lát bê tông với vận tốc v0= 100 km/h thì hãm lại. Hãy tính quãng đường ngắn nhất mà ôtô có thể đi cho tới lúc dừng lại trong hai trường hợp:
a) Đường khô, hệ số ma sát trượt giữa lốp xe với mặt đường là μ = 0,7.
b) Đường ướt, μ =0,5.
Bài giải
Chọn chiều dương như hình vẽ.
Gốc toạ độ tại vị trí xe có V0= 100 km/h
Mốc thời gian tại lúc bắt đầu hãm xe.
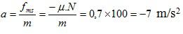
Theo định luật II Newton, ta có:
![]()
a) Khi đường khô μ = 0,7
=> a= 0,7´ 10 = - 7 m/s2
Quãng đường xe đi được là

b) Khi đường ướt μ = 0,5
=> a2 = -μ2. g = 5 m/s2
Quãng đường xe đi được là
![]()
-----------------------------
Ngoài Công thức tính lực ma sát. Mời các bạn học sinh còn có thể tham khảo các đề thi học học kì 1 lớp 10, đề thi học học kì 2 lớp 10 các môn Toán, Văn, Anh, Hóa, Lý, Địa, Sinh mà chúng tôi đã sưu tầm và chọn lọc. Với đề thi học kì lớp 10 này giúp các bạn rèn luyện thêm kỹ năng giải đề và làm bài tốt hơn. Chúc các bạn ôn thi tốt
Tham khảo thêm
-
Đề cương ôn tập học kì 1 môn Vật lý lớp 10
-
Công thức tính điện năng tiêu thụ
-
Giải bài tập SBT Vật lý lớp 10 bài 2: Chuyển động thẳng đều
-
Công thức tính công suất
-
Bài tập Vật lý lớp 10: Bài tập động lượng - Định luật bảo toàn động lượng
-
Giải bài tập SBT Vật lý lớp 10 bài 1: Chuyển động cơ
-
Giải bài tập SBT Vật lý lớp 10 bài 3: Chuyển động thẳng biến đổi đều
-
Công thức tính trọng lượng riêng
-
Công thức tính lực ma sát
-
Công thức tính khối lượng riêng
Từ khóa » N Trong Ma Sát Trượt Là Gì
-
Công Thức Tính Lực Ma Sát Trượt - Hoàng Vina
-
Lực Ma Sát Trượt Là Gì? Công Thức Tính Lực Ma Sát Trượt Chuẩn 100%
-
Lực Ma Sát Là Gì ? Lực Ma Sát Trượt Có đặc điểm Gì ? Công Thức Tính ?
-
Hệ Số Ma Sát Trượt Là Gì? Nó Phụ Thuộc Vào Những Yếu Tố Nào? Viết ...
-
Công Thức Tính Lực Ma Sát Trượt | Kiến Thức Xây Dựng | Cốp Pha Việt
-
Lực Ma Sát Trượt, Lực Ma Sát Nghỉ, Lực Ma Sát Lăn
-
Công Thức Tính Lực Ma Sát Trượt Và Bài Tập Có Lời Giải Từ A - Z
-
Lực Ma Sát Công Thức Cách Tính, Lực Ma Sát Trượt, Ma Sát Lăn, Ma Sát ...
-
Công Thức Ma Sát Trượt - Gia Sư Tâm Tài Đức
-
Công Thức Tính Lực Ma Sát Trượt – Hoàng Vina - Cẩm Nang Hải Phòng
-
[CHUẨN NHẤT] Hệ Số Ma Sát Là Gì? - TopLoigiai
-
Lực Ma Sát Xuất Hiện Khi Nào - Máy Phay, Tiện CNC
-
Công Thức Tính Lực Ma Sát Trượt - ThiênBảo Edu
-
Công Thức Tính Lực Ma Sát Trượt