Công Thức Tính Thể Tích Hình Chóp Cụt, Hình Nón Cụt
Có thể bạn quan tâm
Nâng cấp gói Pro để trải nghiệm website VnDoc.com KHÔNG quảng cáo, và tải file cực nhanh không chờ đợi.
Tìm hiểu thêm » Mua ngay Từ 79.000đ Hỗ trợ ZaloCách tính thể tích hình chóp cụt, hình nón cụt
.Công thức tính thể tích hình chóp cụt, hình nón cụt được VnDoc sưu tầm và đăng tải. Tài liệu dưới đây được đề cập gồm công thức tính thể tích hình chóp cụt và thể tích hình nón cụt chỉ là các trường hợp đặc biệt của công thức vạn năng. Bài viết này sẽ nêu lại các công thức này để các em tiện tra cứu và theo dõi.
- Công thức tính chu vi hình tròn và diện tích hình tròn
- Công thức tính thể tích hình lập phương, diện tích hình lập phương
- Công thức tính diện tích hình phẳng thường gặp
Công thức tính thể tích hình nón cụt
Công thức tính diện tích và thể hình nón cụt được áp dụng khá nhiều trong các bài toán hình học cơ bản. Khác với công thức tính diện tích hình nón thông thường, hình nón cụt có hai mặt đỉnh và đáy đều phẳng dẫn tới công thức áp dụng cũng rất khác.
Tuy nhiên nếu biết cách phân biệt giữa hai loại hình học này, việc tính diện tích và thể tích hình nón cụt sẽ khá dễ dàng. Hình nón cụt cũng được áp dụng cùng với công thức tính diện tích và thể tích hình trụ do sự tương quan hình học.

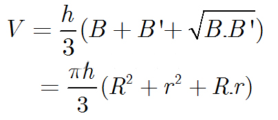
Gọi R, r, h lần lượt là bán kính đáy lớn, bán kính đáy nhỏ và chiều cao của hình nón cụt. Tương tự công thức ở trên, ta có thể tích hình nón cụt (khối nón cụt) là:

Công thức tính thể tích hình chóp cụt

Gọi B và B' lần lượt là diện tích của đáy lớn và đáy nhỏ của hình chóp cụt; h là chiều cao của nó (h chính là khoảng cách giữa 2 mặt phẳng chứa 2 đáy; cũng bằng khoảng cách từ 1 điểm bất kì trên đáy này đến mặt phẳng chứa đáy kia). Khi đó, thể tích của hình chóp cụt là:

Tính diện tích, thể tích hình nón cụt online
Ví Dụ Cách Tính Thể Tích Hình Nón Cụt
Cho một hình nón cụt có bán kính hai mặt đáy r1 và r2 lần lượt bằng 5cm và 9cm. Chiều cao nối giữa hai bán kính mặt đáy này có độ dài 8cm. Hỏi diện tích toàn phần của hình nón này bằng bao nhiêu?
Áp dụng theo công thức tính thể tích hình nón cụt ta có: r1 = 5cm, r2 = 9cm, h = 8cm
Vậy thể tích của hình nón cụt là: V=3,14*8/3(52 + 92 + 5*9) = 1,263 cm3
Như vậy thể tích của hình nón cụt này bằng xấp xỉ 1263 cm3 hoặc 12,63 m3
Từ khóa » Tính Thể Tích Hình Thang Cụt
-
Công Thức Tính Thể Tích Hình Chóp Cụt, Diện Tích Xung Quanh Và Toàn ...
-
Công Thức Tính Thể Tích Hình Chóp Cụt, Cách ... - Thủ Thuật Phần Mềm
-
Thể Tích Hình Chóp Cụt, Chóp Cụt đều Và ứng Dụng Của Mô Hình Chóp ...
-
Công Thức Tính Thể Tích Hình Chóp Cụt, Cách Tính ...
-
Công Thức Tính Thể Tích Hình Chóp Cụt Chính Xác Nhất - VOH
-
Công Thức Tính Thể Tích Hình Chóp Cụt, Hình Nón Cụt - MathVn.Com
-
Cách Tính Thể Tích Hình Thang
-
Tính Thể Tích Hình Chóp Cụt, Diện Tích Xung Quanh, Toàn ... - Boxthuthuat
-
Công Thức Tính Thể Tích Hình Chóp Cụt Và Ví Dụ Minh Họa
-
Công Thức Tính Thể Tích Hình Chóp Cụt, Cách Tính Thể ...
-
Cách Tính Thể Tích Hình Chóp Cụt đầy đủ Nhất - Tintuctuyensinh
-
Công Thức Tính Thể Tích Hình Chóp Cụt Chuẩn Nhất
-
Tính Thể Tích Hình Chóp Cụt, Diện Tích ... - .vn