Cộng, Trừ đa Thức Một Biến - Chuyên đề Toán Học Lớp 7
Có thể bạn quan tâm
-
-
-
Mầm non
-
Lớp 1
-
Lớp 2
-
Lớp 3
-
Lớp 4
-
Lớp 5
-
Lớp 6
-
Lớp 7
-
Lớp 8
-
Lớp 9
-
Lớp 10
-
Lớp 11
-
Lớp 12
-
Thi vào lớp 6
-
Thi vào lớp 10
-
Thi Tốt Nghiệp THPT
-
Đánh Giá Năng Lực
-
Khóa Học Trực Tuyến
-
Hỏi bài
-
Trắc nghiệm Online
-
Tiếng Anh
-
Thư viện Học liệu
-
Bài tập Cuối tuần
-
Bài tập Hàng ngày
-
Thư viện Đề thi
-
Giáo án - Bài giảng
-
Tất cả danh mục
-
- Mầm non
- Lớp 1
- Lớp 2
- Lớp 3
- Lớp 4
- Lớp 5
- Lớp 6
- Lớp 7
- Lớp 8
- Lớp 9
- Lớp 10
- Lớp 11
- Lớp 12
- Thi Chuyển Cấp
-
- Hôm nay +3
- Ngày 2 +3
- Ngày 3 +3
- Ngày 4 +3
- Ngày 5 +3
- Ngày 6 +3
- Ngày 7 +5
Nâng cấp gói Pro để trải nghiệm website VnDoc.com KHÔNG quảng cáo, và tải file cực nhanh không chờ đợi.
Tìm hiểu thêm » Mua ngay Từ 79.000đ Hỗ trợ ZaloChuyên đề: Cộng, trừ đa thức một biến
- A. Lý thuyết Cộng trừ đa thức một biến
- B. Trắc nghiệm & Tự luận Cộng trừ đa thức một biến
Cộng, trừ đa thức một biến là phần nội dung quan trọng trong chương trình Toán 7. Để giúp các em nắm vững kiến thức phần này, VnDoc gửi tới các bạn Chuyên đề Toán học lớp 7: Cộng, trừ đa thức một biến. Nội dung tài liệu sẽ giúp các bạn học sinh học tốt môn Toán học lớp 7 hơn. Mời các bạn tham khảo.
A. Lý thuyết Cộng trừ đa thức một biến
– Để cộng (hay trừ) các đa thức một biến, ta làm một trong hai cách sau:
• Cách 1: Cộng, trừ đa thức theo “hàng ngang”
• Cách 2: Sắp xếp các hạng từ của hai đa thức cùng theo lũy thừa giảm (hoặc tăng) của biến rồi đặt phép tính theo cột dọc tương ứng như cộng, trừ các số (chú ý đặt các đơn thức đồng dạng ở cùng một cột)
Chú ý:
– Phép cộng đa thức cũng có các tính chất như phép cộng các số thực. Cụ thể là:
• Tính chất giao hoán: A + B = B + A
• Tính chất kết hợp: (A + B) + C = A + (B + C)
• Cộng với đa thức không: A + 0 = 0 + A = A
– Tương tự các số, đối với các đa thức P, Q, R, ta cũng có:
• Nếu Q + R = P thì R = P – Q
• Nếu R = P – Q thì Q + R = P
Ví dụ: Cho hai đa thức P(x) = x5 – 2x4 + x2 – x + 1; Q(x) = 6 – 2x + 3x3 + x4 – 3x5. Tính P(x) – Q(x).
Ta có: P(x) – Q(x)
= (x5 – 2x4 + x2 – x + 1) – (6 – 2x + 3x3 + x4 – 3x5)
= x5 – 2x4 + x2 – x + 1 – 6 + 2x – 3x3 – x4 + 3x5
= 4x5 – 3x4 – 3x3 + x2 + x5
B. Trắc nghiệm & Tự luận Cộng trừ đa thức một biến
I. Câu hỏi trắc nghiệm
Bài 1: Tìm hai đa thức P(x) và Q(x) sao cho P(x) + Q(x) = x2 + 1
A. P(x) = x2; Q(x) = x + 1
B. P(x) = x2 + x; Q(x) = x + 1
C. P(x) = x2; Q(x) = – x + 1
D. P(x) = x2 – x; Q(x) = x + 1
Lời giải: Ta có với P(x) = x2 – x; Q(x) = x + 1
P(x) + Q(x) = x2 – x + x + 1 = x2 + 1
Chọn đáp án D.
Bài 2: Cho f(x) = x5 – 3x4 + x2 – 5 và g(x) = 2x4 + 7x3 – x2 + 6. Tìm hiệu f(x) – g(x) rồi sắp xếp kết quả theo lũy thừa tăng dần của biến ta được:
A. 11 + 2x2 + 7x3 – 5x4 + x5
B. – 11 + 2x2 – 7x3 – 5x4 + x5
C. x5 – 5x4 – 7x3 + 2x2 – 11
D. x5 – 5x4 – 7x3 + 2x2 + 11
Ta có: f(x) – g(x)
= x5 – 3x4 + x2 – 5 – (2x4 + 7x3 – x2 + 6)
= x5 – 3x4 + x2 – 5 – 2x4 – 7x3 + x2 – 6
= x5 + (– 3x4 – 2x4) – 7x3 + (x2 + x)2 – 6 – 5
= x5 – 5x4 – 7x3 + 2x2 – 11
Sắp xếp theo lũy thừa tăng dần của biến ta được
– 11 + 2x2 – 7x3 – 5x4 + x5
Chọn đáp án B
Bài 3: Cho p(x) = 5x4 + 4x3 – 3x2 + 2x – 1 và q(x) = – x4 + 2x3 – 3x2 + 4x – 5
Tính p(x) + q(x) rồi tìm bậc của đa thức thu được
A. p(x) + q(x) = 6x3 – 6x2 + 6x – 6 có bậc là 6
B p(x) + q(x) = 4x4 + 6x3 – 6x2 + 6x + 6 có bậc là 4
C. p(x) + q(x) = 4x4 + 6x3 – 6x2 + 6x – 6 có bậc là 4
D. P(x) + q(x) = 4x4 + 6x3 + 6x – 6 có bậc là 4
Ta có p(x) + q(x)
= 5x4 + 4x3 – 3x2 + 2x – 1 + (– x4 + 2x3 – 3x2 + 4x – 5)
= 5x4 + 4x3 – 3x2 + 2x – 1 – x4 + 2x3 – 3x2 + 4x – 5
= (5x4 – x4) + (4x3 + 2x3) + (– 3x2 – 3x2) + (2x + 4x) + (– 1 – 5)
= 4x4 + 6x3 – 6x2 + 6x – 6
Bậc của đa thức p(x) + q(x) = 4x4 + 6x3 – 6x2 + 6x – 6 có bậc là 4
Chọn đáp án C
Bài 4: Tìm đa thức h(x) biết f(x) – h(x) = g(x) biết
f(x) = x2 + x + 1; g(x) = 4 – 2x3 + x4 + 7x5
A. h(x) = – 7x5 – x4 + 2x3 + x2 + x – 3
B. h(x) = 7x5 – x4 + 2x3 + x2 + x + 3
C. h(x) = – 7x5 – x4 + 2x3 + x2 + x + 3
D. h(x) = 7x5 + x4 + 2x3 + x2 + x + 3
Ta có f(x) – h(x) = g(x) ⇒ h(x) = f(x) – g(x)
Mà f(x) = x2 + x + 1; g(x) = 4 – 2x3 + x4 + 7x5
h(x) = x2 + x + 1 – (4 – 2x3 + x4 + 7x5)
= x2 + x + 1 – 4 + 2x3 – x4 – 7x5
Vậy h(x) = – 7x5 – x4 + 2x3 + x2 + x – 3
Chọn đáp án A
Bài 5: Tìm hệ số cao nhất của đa thức k(x) biết f(x) + k(x) = g(x) và f(x) = x4 – 4x2 + 6x3 + 2x – 1; g(x) = x + 3
A. –1
B. 1
C. 4
D. 6
Ta có f(x) + k(x) = g(x) ⇒ k(x) = g(x) – f(x)
= x + 3 – (x4 – 4x2 + 6x3 + 2x – 1)
= x + 3 – x4 + 4x2 – 6x3 – 2x + 1
= – x4 – 6x3 + 4x2 – x + 4
Nhận thấy số hạng có lũy thừa cao nhất của biến là – x4 nên hệ số cao nhất là – 1
Chọn đáp án A
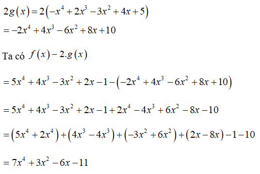
Bài 6: Tìm hệ số tự do của hiệu f(x) – 2.g(x) với
f(x) = 5x4 + 4x3 – 3x2 + 2x – 1; g(x) = – x4 + 2x3 – 3x2 + 4x + 5
A. 7
B. 11
C. –11
D. 4
Ta có:
Hệ số cần tìm là – 11
Chọn đáp án C
II. Bài tập tự luận
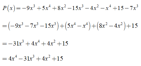
Bài 1: Cho đa thức P(x) = – 9x3 + 5x4 + 8x2 – 15x3 – 4x2 – x4 + 15 – 7x3
Tính P(1), P(0), P(– 1)
Đáp ánTrước hết ta thu gọn đa thức:
Khi đó ta có:
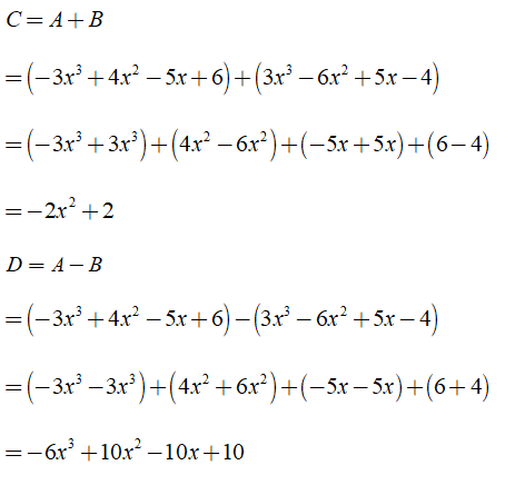
Bài 2: Cho đa thức
A = – 3x3 + 4x2 – 5x + 6
B = 3x3 – 6x2 + 5x – 4
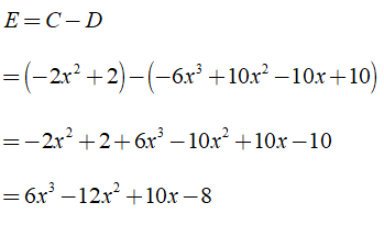
a) Tính C = A + B, D = A – B, E = C – D
b) Tính các giá trị của đa thức A, B, C, D tại x = – 1
Đáp ána) Ta có:

b) Tính giá trị biểu thức tại x = -1
Đóng Chỉ thành viên VnDoc PRO/PROPLUS tải được nội dung này! Đóng 79.000 / tháng Mua ngay Đặc quyền các gói Thành viên PRO Phổ biến nhất PRO+ Tải tài liệu Cao cấp 1 Lớp 30 lượt tải tài liệu Xem nội dung bài viết Trải nghiệm Không quảng cáo Làm bài trắc nghiệm không giới hạn Tìm hiểu thêm Mua cả năm Tiết kiệm tới 48% - Chia sẻ bởi:
Nguyễn Nam Hoài
Có thể bạn quan tâm
Xác thực tài khoản!Theo Nghị định 147/2024/ND-CP, bạn cần xác thực tài khoản trước khi sử dụng tính năng này. Chúng tôi sẽ gửi mã xác thực qua SMS hoặc Zalo tới số điện thoại mà bạn nhập dưới đây:
Số điện thoại chưa đúng định dạng! Xác thực ngay Số điện thoại này đã được xác thực! Bạn có thể dùng Sđt này đăng nhập tại đây! Lỗi gửi SMS, liên hệ Admin 1 Bình luận Sắp xếp theo Mặc định Mới nhất Cũ nhất-
Duy Thạch Hà Đs câu b bài 2 phần A(—1) và D(—1) Sai
Thích Phản hồi 1 05/08/21
-
SỐ HỮU TỈ
- Tập hợp các số hữu tỉ
- Cộng trừ số hữu tỉ
- Nhân, chia số hữu tỉ
- Lũy thừa với số mũ tự nhiên của một số hữu tỉ
- Thứ tự thực hiện các phép tính. Quy tắc chuyển vế
-
SỐ THỰC
- Số thập phân hữu hạn - Số thập phân vô hạn tuần hoàn
- Số vô tỉ. Căn bậc hai số học
- Tập hợp các số thực
-
GÓC VÀ ĐƯỜNG THẲNG SONG SONG
- Góc ở vị trí đặc biệt
- Tia phân giác của một góc
- Hai đường thẳng song song
- Tiên đề Euclid. Tính chất của hai đường thẳng song song
- Định lý
-
TAM GIÁC BẰNG NHAU
- Tổng ba góc của một tam giác
- Hai tam giác bằng nhau
- Trường hợp bằng nhau thứ nhất của tam giác: cạnh - cạnh - cạnh
- Trường hợp bằng nhau thứ hai của tam giác: cạnh - góc - cạnh
- Trường hợp bằng nhau thứ ba của tam giác: góc - cạnh - góc
- Các trường hợp bằng nhau của tam giác vuông
- Tam giác cân. Đường trung trực của đoạn thẳng
-
TỈ LỆ THỨC VÀ ĐẠI LƯỢNG TỈ LÊ
- Tỉ lệ thức
- Tính chất của dãy tỉ số bằng nhau
- Đại lượng tỉ tệ thuận
- Đại lượng tỉ lệ nghịch
-
BIỂU THỨC ĐẠI SỐ VÀ ĐA THỨC MỘT BIẾN
- Khái niệm về biểu thức đại số
- Giá trị của một biểu thức đại số
- Đơn thức
- Đơn thức đồng dạng
- Đa thức
- Cộng, trừ đa thức
- Đa thức một biến
- Cộng, trừ đa thức một biến
- Nghiệm của đa thức một biến
-
QUAN HỆ GIỮA CÁC YÊU TỐ TRONG TAM GIÁC
- Quan hệ giữa góc và cạnh đối diện trong một tam giác
- Quan hệ giữa đường vuông góc và đường xiên, đường xiên và hình chiếu
- Quan hệ giữa ba cạnh của một tam giác - Bất đẳng thức tam giác
- Tính chất ba đường trung tuyến của tam giác
- Tính chất ba đường phân giác của tam giác
- Tính chất đường trung trực của một đoạn thẳng
- Tính chất ba đường trung trực của tam giác
- Tính chất ba đường cao của tam giác
-
MỘT SỐ HÌNH KHỐI TRONG THỰC TIỄN
- Hình hộp chữ nhật
- Hình lập phương
- Hình lăng trụ đứng tam giác, hình lăng trụ đứng tứ giác
-
XÁC SUẤT
-
Lớp 7 -
Chuyên đề Toán 7 -
Đề thi giữa kì 1 lớp 7 -
Khảo sát CL đầu năm lớp 7 -
Đề thi học kì 1 lớp 7 -
Đề thi giữa kì 2 lớp 7 -
Đề thi học kì 2 lớp 7 -
Thi học sinh giỏi lớp 7 -
Đề kiểm tra 15 phút lớp 7 -
Đề kiểm tra 1 tiết, 45 phút lớp 7 -
Toán 7 -
Toán 7 Kết nối tri thức -
Toán 7 Chân trời sáng tạo -
Toán 7 Cánh diều -
Giải SBT Toán 7 Kết nối tri thức
Tham khảo thêm
-
Bài tập nâng cao Toán 8: Phép chia các đa thức
-
Giải bài tập tài liệu dạy học Toán lớp 7 bài 4: Cộng, trừ đa thức một biến
-
Tam giác cân. Đường trung trực của đoạn thẳng lớp 7
-
Toán lớp 7 Góc ở vị trí đặc biệt
-
Toán lớp 7 Tia phân giác của một góc
-
Bài tập Tam giác cân, tam giác vuông cân lớp 7
-
Bài tập Nghiệm của đa thức một biến
-
Giải bài tập SGK Toán lớp 7 bài 8: Cộng, trừ đa thức một biến
-
Đa thức một biến
-
Giải bài tập SBT Toán 7 bài 8: Cộng, trừ đa thức một biến
Chuyên đề Toán 7
-
Tam giác cân. Đường trung trực của đoạn thẳng lớp 7
-
Các dạng toán tỉ lệ thức
-
Tính chất của dãy tỉ số bằng nhau lớp 7
-
Bài tập Tam giác cân, tam giác vuông cân lớp 7
-
Toán lớp 7 Góc ở vị trí đặc biệt
-
Toán lớp 7 Tia phân giác của một góc
Gợi ý cho bạn
-
Bài tập cuối tuần Tiếng Việt lớp 4 Kết nối tri thức Tuần 20 Nâng cao
-
Tổng hợp cấu trúc và từ vựng tiếng Anh lớp 3 Global Success
-
Bộ đề kiểm tra cuối tuần Tiếng Việt lớp 4 Kết nối tri thức Tuần 20
-
Tổng hợp từ vựng tiếng Anh lớp 9 chương trình mới
Từ khóa » Các Dạng Toán Cộng Trừ đa Thức Lớp 7
-
Bài Tập Toán Lớp 7: Cộng, Trừ đa Thức
-
Bài Tập Cộng, Trừ đa Thức Chọn Lọc, Có đáp án - Lớp 7
-
Chuyên đề: CỘNG TRỪ ĐA THỨC- Đại Số 7- Chương 4
-
Cộng Trừ đa Thức - Bài Tập Và Lời Giải Hay đại Số Lớp 7 - Itoan
-
Chuyên đề đa Thức, Cộng, Trừ đa Thức - Toán THCS
-
Cộng, Trừ đa Thức - Bài Tập Sách Giáo Khoa Toán 7 Tập II
-
Ôn Tập Môn Toán 7: Đa Thức. Cộng Trừ đa Thức
-
Lý Thuyết Về Cộng, Trừ đa Thức | SGK Toán Lớp 7
-
Phương Pháp Giải Bài Tập Chủ đề Cộng, Trừ đa Thức Một Biến Toán 7
-
Sách Giải Bài Tập Toán Lớp 7 Bài 8: Cộng, Trừ Đa Thức Một Biến
-
Sách Giải Bài Tập Toán Lớp 7 Bài 6: Cộng, Trừ Đa Thức
-
Cách Cộng Trừ Hai đa Thức Và Bài Tập - Toán 7 Tập 2 Bài 6 - KhoiA.Vn
-
Đa Thức. Cộng Trừ đa Thức - Toán Lớp 7 - Luyện Thi 123
-
Giải Bài Tập Toán 7 Bài: Cộng, Trừ đa Thức Một Biến - Gia Sư Toàn Cầu