Đạo Hàm Của Hàm Số Y=1/5 .e Mũ 4x Là. A. Y Phẩy
Có thể bạn quan tâm
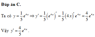
Đạo hàm của hàm số y=15e4x là.
A. y'=-45e4x.
B. y'=120e4x.
C. y'=45e4x.
D. y'=-120e4x.
Trả Lời Hỏi câu khác Lưu câu hỏi Lưu Hỏi chi tiết ...Xem thêmQuảng cáo
1 câu trả lời 8151
T Thùy Trang 4 năm trước
Quảng cáo
Bạn hỏi - Chuyên gia trả lời
Bạn cần hỏi gì?
Gửi câu hỏiCâu hỏi hot cùng chủ đề
-
Đã trả lời bởi chuyên gia Cách chuyển từ sin sang cos ạ ?
Trả lời (48) Xem đáp án » 321505 -
Đã trả lời bởi chuyên gia Cho hàm số y=f(x), bảng xét dấu của f'(x) như sau:

Hàm số y=f(5-2x) nghịch biến trên khoảng nào dưới đây?
A. (2; 3)
B. (0; 2)
C. (3; 5)
D. (5; +∞)
Trả lời (15) Xem đáp án » 129804 -
Đã trả lời bởi chuyên gia Cho hàm số y=ax3+bx2+cx+d có đồ thị như hình vẽ. Tìm mệnh đề đúng
A. a<0, b>0, c>0, d<0
B. a<0, b<0, c>0, d<0
C. a>0, b>0, c>0, d<0
D. a<0, b>0, c<0, d<0
Trả lời (3) Xem đáp án » 129726 - Hỏi từ APP VIETJACK
Đã trả lời bởi chuyên gia Trên tập hợp các số phức, xét phương trình z^2 - 2(m+1)z + m^2=0(m là số thực). Có bao nhiêu giá trị của m để phương trình đó có nghiệm Zo thỏa mãn |Zo|=7 A. 1 B. 4 C. 3 D. 2 Trả lời (6) Xem đáp án » 129637 -
Đã trả lời bởi chuyên gia Hàm số y=2x+3x+1 có bao nhiêu điểm cực trị ?
A. 3
B. 0
C. 1
D. 2
Trả lời (28) Xem đáp án » 104061 -
Đã trả lời bởi chuyên gia Tìm tập xác định D của hàm số y = (x-1)13
A. D = (-∞; 1)
B. D = (1; +∞)
C. D =R
D. D = R \ {1}
Trả lời (3) Xem đáp án » 94054 -
Đã trả lời bởi chuyên gia Tập xác định của hàm số y = log2 (x+1) là
A. D = (0;+∞)
B. D = (-1;+∞)
C. D = [-1;+∞)
D. D = [0;+∞)
Trả lời (3) Xem đáp án » 70321 -
Đã trả lời bởi chuyên gia Cho hàm số y=2x2+1. Mệnh đề nào sau đây đúng?
A. Hàm số nghịch biến trên khoảng (-1;1)
B. Hàm số đồng biến trên khoảng 0;+∞
C. Hàm số đồng biến trên khoảng −∞;0
D. Hàm số nghịch biến trên khoảng 0;+∞
Từ khóa » đạo Hàm Của 5 E^-x
-
Tìm Đạo Hàm - D/d@VAR F(x)=-5e^x | Mathway
-
Tìm Đạo Hàm - D/dx 5e^x | Mathway
-
Y = 5ex | Xem Lời Giải Tại QANDA
-
Đạo Hàm Của E Mũ X Và E Mũ -x Là Gì? - Banhoituidap
-
Cho Hàm Số F( X ) = 5(e^((x^2))). Tính P = F'( X ) - 2x.f( X ) +
-
Bảng đạo Hàm Của Các Hàm Số Cơ Bản (thường Gặp) - MathVn.Com
-
Tính đạo Hàm Của Hàm Số \(y=\frac{1}{5}{{e}^{4x}}\).
-
Tính đạo Hàm Của Hàm Số Y=1/5e^4x...
-
Giải Toán 11 Bài 2. Quy Tắc Tính đạo Hàm - Giải Bài Tập
-
Cho F(x) Là Một Nguyên Hàm Của Hàm Số F(x) = 1/2e^x +3 - Khóa Học
-
Bảng đạo Hàm Cơ Bản Và Nâng Cao đầy đủ Nhất
-
Công Thức Tính đạo Hàm 1/x Và Hướng Dẫn Cách Giải Bài Tập đạo ...