Đáp án đề Thi Môn Toán Lớp 10 Tại Hà Nội Năm 2019 - Kenh14
Có thể bạn quan tâm
- eMagazine
- Genz Area
- ShowLive
- GÓP Ý GIAO DIỆN MỚI
- TRANG CHỦ
- Star
- Ciné
- Musik
- Beauty & Fashion
- Đời sống
- Money-Z
- Ăn - Quẩy - Đi
- Xã hội
- Sức khỏe
- Tek-life
- Học đường
- Xem Mua Luôn
- Video
-
-
Đời sống
- Nhân vật
- Xem-Ăn-Chơi
- House n Home
-
Xem mua luôn
- Thời trang
- Đẹp
- Mommy mua di
-
Sport
- Bóng đá
- Hậu trường
- Pickleball
- Esports
-
Musik
- Âu-Mỹ
- Châu Á
- Việt Nam
- Hip-hop neva die
-
Ciné
- Phim chiếu rạp
- Phim Việt Nam
- Series truyền hình
- Hoa ngữ - Hàn Quốc
-
Tek-Life
- Metaverse
- How-To
- Wow
- 2-Mall
-
Star
- Sao Việt
- Hội bạn thân showbiz
- TV Show
-
Xã hội
- Pháp luật
- Nóng trên mạng
- Sống xanh
-
Học đường
- Nhân vật
- Du học
- Bản tin 46'
-
Thế giới đó đây
- Chùm ảnh
- Khám phá
- Dị
-
Sức khỏe
- Tin tức
- Dinh dưỡng
- Khỏe đẹp
- Giới tính
- Các bệnh
Tải app
- iOS
- Android
Fanpage
Liên hệ
- Quảng cáo
-
- Học đường
- Nhân vật
- Du học
- Bản tin 46'
- Sức khỏe
- Khám phá
Đề thi môn Toán lớp 10 tại Hà Nội năm nay được đánh giá là khá khó, nhiều thí sinh khóc oà trước cổng trường tuy nhiên cũng có nhiều em tự tin đạt điểm cao.
- Đáp án đề thi lớp 10 môn Ngữ Văn tại Hà Nội năm 2019
- Đề thi Ngữ Văn vào lớp 10 tại TP HCM: Mới lạ, hay tuy nhiên quá dài, thí sinh không đủ thời gian làm bài
- Đề thi Ngữ Văn vào lớp 10 tại Hà Nội 2019: Dễ bất ngờ, thí sinh tự tin được 8, 9 điểm
Cách ra đề thi năm nay có cấu trúc tương tự đề thi năm 2018, lặp lại về cách thức ra đề tức là đề thi vẫn gồm 5 bài toán lớn, mỗi bài gồm nhiều câu hỏi nhỏ, được sắp xếp theo thứ tự tăng dần độ khó.
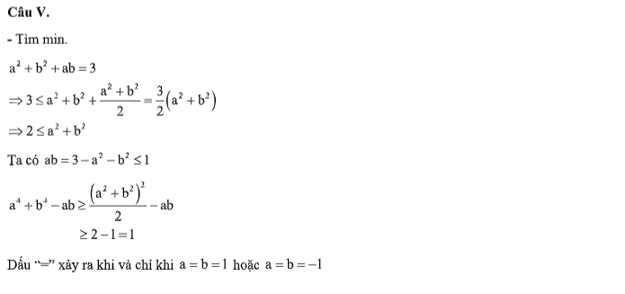
Đáp án môn Toán của các giáo viên tại Hệ thống Giáo dục HOCMAI.

![]() |
![]() |
![]() |
![]() |
![]() |

![]() |

Đề thi môn Toán
Kỳ thi tuyển sinh vào lớp 10 năm 2019 tại Hà Nội và TPHCM diễn ra từ ngày 2/6 đến 5/6. Thí sinh cập nhật ĐỀ THI, ĐÁP ÁN các môn nhanh nhất tại ĐÂY. Theo Trí Thức Trẻ Copy link Link bài gốc Lấy link Hàng loạt thí sinh và phụ huynh ôm nhau bật khóc nức nở ngoài cổng trường thi vì không làm được bài- cách tính điểm thi vào lớp 10 năm 2019
- đáp án đề thi môn Toán vào lớp 10 hà nội
- đề thi Toán vào lớp 10 hà nội
- lịch thi vào lớp 10
- tuyển sinh vào lớp 10
- thi vào lớp 10 năm 2019
- thi cấp 3 năm 2019
- điểm thi cấp 3
- tin nóng xã hội
- điểm thi vào lớp 10
- Tra cứu điểm thi vào lớp 10
- đáp án thi vào lớp 10
- Thi vào lớp 10
- Ngày 1 2 3 4 5 6 7 8 9 10 11 12 13 14 15 16 17 18 19 20 21 22 23 24 25 26 27 28 29 30 31
- Tháng Tháng 1 Tháng 2 Tháng 3 Tháng 4 Tháng 5 Tháng 6 Tháng 7 Tháng 8 Tháng 9 Tháng 10 Tháng 11 Tháng 12
- 2020 2021 2022 2023 2024 2025 2026
- Xem
- Ngày 1 2 3 4 5 6 7 8 9 10 11 12 13 14 15 16 17 18 19 20 21 22 23 24 25 26 27 28 29 30 31
- Tháng Tháng 1 Tháng 2 Tháng 3 Tháng 4 Tháng 5 Tháng 6 Tháng 7 Tháng 8 Tháng 9 Tháng 10 Tháng 11 Tháng 12
- 2020 2021 2022 2023 2024 2025 2026
- Xem
Chi tiết bất thường trong bức ảnh hai mẹ con khiến ngàn phụ huynh xuýt xoa: Dạy con sao hay thế! Nổi bật
1 trường THPT công lập ở Hà Nội lột xác hoàn toàn: Từ cũ kỹ giờ TO ĐẸP quá đỗi, bước vào mà cứ ngỡ đang đóng phim thanh xuân! Nổi bật
3 cung hoàng đạo nhí khiến bố mẹ hoang mang nhất: Tính cách khó đoán, lúc nóng lúc lạnh -
Hà Nội lí giải nguyên nhân hai năm liên tiếp chọn ngoại ngữ làm môn thi thứ ba -
Cô giáo bị tố ném thước kẻ vào mặt học sinh, dặn nói dối bố mẹ: Hiệu trưởng có động thái đầu tiên -
Hà Nội công bố môn thi thứ ba vào lớp 10 - Đóng - Star
- Ciné
- Musik
- Beauty & Fashion
- Sport
- Đời sống
- Xã hội
- Ăn - Quẩy - Đi
- Xem Mua Luôn
- Thế giới đó đây
- Sức khỏe
- Tek-Life
- Học đường
- Money-Z
- Video
Cô giáo bị tố ném thước kẻ vào mặt học sinh, dặn nói dối bố mẹ: Hiệu trưởng có động thái đầu tiên -
Hà Nội công bố môn thi thứ ba vào lớp 10 - Đóng - Star
- Ciné
- Musik
- Beauty & Fashion
- Sport
- Đời sống
- Xã hội
- Ăn - Quẩy - Đi
- Xem Mua Luôn
- Thế giới đó đây
- Sức khỏe
- Tek-Life
- Học đường
- Money-Z
- Video
- Star
- Ciné
- Musik
- Beauty & Fashion
- Sport
- Đời sống
- Xã hội
- Ăn - Quẩy - Đi
- Xem Mua Luôn
- Thế giới đó đây
- Sức khỏe
- Tek-Life
- Học đường
- Money-Z
- Video
Từ khóa » đề Thi C3 Năm 2019
-
Đề Thi Vào Lớp 10 Năm 2019 - Tất Cả Các Tỉnh (Có đáp án)
-
Đề Thi Lớp 10 Môn Toán Của Hà Nội Năm 2019 - VietNamNet
-
Đề Thi Và đáp án Vào Lớp 10 Tại Hà Nội Năm 2019 - Tạp Chí Điện Tử
-
Đề Thi, đáp án Thi Vào Lớp 10 Năm 2019 Của Tỉnh Thái Bình - Môn Toán
-
Đề Thi, đáp án Môn Toán Kỳ Thi Tuyển Sinh Vào Lớp 10 ở Hà Nội
-
Đáp án Chính Thức Các Môn Thi Vào Lớp 10 Năm 2019 Của Sở GD&ĐT ...
-
Đề Thi Vào Lớp 10 Môn Toán Tỉnh Hà Nam Năm 2019 Có đáp án
-
Đề Thi Vào Lớp 10 Môn Toán Tỉnh Ninh Bình Năm 2019 Có đáp án
-
Đề Tuyển Sinh Vào Lớp 10 Năm 2019 – 2020 Môn Toán Sở Nghệ An
-
63 đề Thi Tuyển Sinh Vào 10 Môn Toán Năm 2019-2020 Có đáp án
-
Tổng Hợp đề Thi (có đáp án) Môn Toán Vào 10 Các Tỉnh
-
Đáp án đề Thi Vào Lớp 10 Môn Toán Bắc Ninh Năm 2019
-
Đề Thi Vào Lớp 10 THPT Năm Học 2019 - 2020 Môn Toán Của Sở ...





