Đáp án đề Thi Tuyển Sinh Lớp 10 Môn Toán Của Hà Nội 4 Năm Gần Nhất
Có thể bạn quan tâm
Chiều 2/6, UBND TP Hà Nội quyết định lùi thời gian diễn ra kỳ thi tuyển sinh lớp 10 muộn hơn 2 ngày so với dự kiến để kỳ thi diễn ra vào các ngày cuối tuần. Theo đó, kỳ thi sẽ diễn ra vào ngày 12 và 13/6 (thứ bảy, chủ nhật) với khối không chuyên.

Kỳ thi sẽ diễn ra vào ngày 12 và 13/6 (thứ bảy, chủ nhật) với khối không chuyên. (Ảnh minh họa)
Thời gian làm bài thi được rút ngắn để thí sinh dự thi vào lớp 10 THPT công lập khối không chuyên chỉ thi trong 2 buổi sáng, thay vì 3 buổi trong 2 ngày như trước. Cụ thể, sáng 12/6: Thi ngữ văn 90 phút và ngoại ngữ 45 phút. Sáng 13/6: Thi toán 90 phút và lịch sử 45 phút.
Trong giai đoạn cận kề ngày thi, các sĩ tử có thể tham khảo một số đáp án đề thi tuyển sinh lớp 10 môn Toán các năm để nắm được các dạng bài cũng như kịp thời bổ sung một số kiến thức còn chưa vững.
Năm 2020

Đề thi Toán năm 2020.
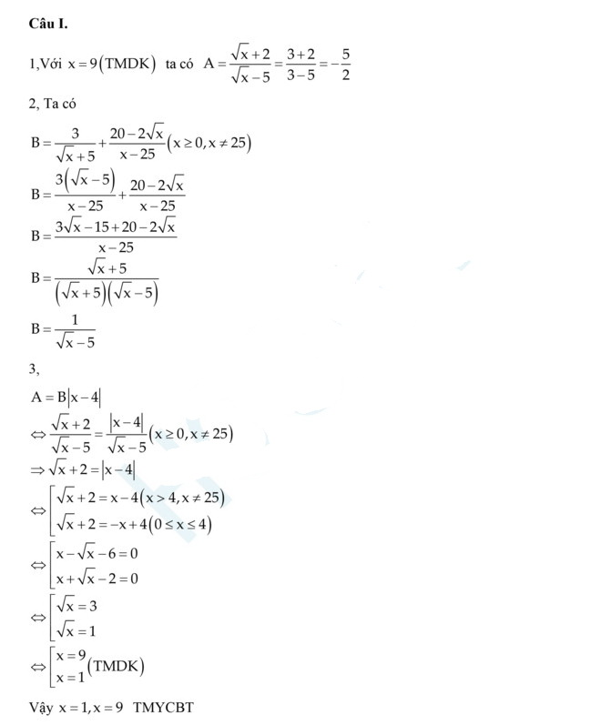
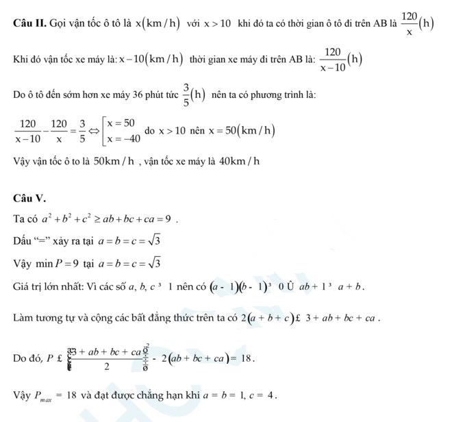
Đáp án đề thi tuyển sinh lớp 10 môn Toán năm 2020:



NĂM 2019

Đề thi môn Toán năm 2019.
Đáp án đề thi tuyển sinh lớp 10 môn Toán năm 2019:




NĂM 2018

Đề thi Toán năm 2018.
Đáp án đề thi tuyển sinh lớp 10 môn Toán năm 2018:




NĂM 2017

Đề thi Toán năm 2017.
Đáp án đề thi tuyển sinh lớp 10 môn Toán năm 2017:


Từ khóa » đề Thi Vào Cấp 3 Môn Toán Năm 2020
-
Đề Toán Thi Vào Lớp 10 Hà Nội: Độ Khó Vừa Phải - VietNamNet
-
Đề Thi Và đáp án Vào Lớp 10 - Tất Cả Các Tỉnh Năm 2020
-
Đề Thi Môn Toán Vào Lớp 10 Hà Nội Năm 2020 - Dân Việt
-
Đề Thi Tuyển Sinh Vào Lớp 10 Môn Toán Năm 2020 Cao Bằng
-
Đề Thi Thử Vào Lớp 10 Môn Toán 2022 Có đáp án
-
GIẢI ĐỀ THI TUYỂN SINH VÀO LỚP 10 MÔN TOÁN NĂM 2020 ...
-
Thi Vào Lớp 10 Tại TP.HCM: Đề Toán Sẽ Dễ Hơn Những Năm Trước?
-
Đề Thi Tuyển Sinh Lớp 10 Môn Toán Hà Nội 2021 Và Các Năm Trước
-
72 Đề Thi Vào Lớp 10 Môn Toán Năm 2020 - 2021
-
Tổng Hợp Các đề Thi Và Lời Giải Vào Lớp 10 Môn Toán Các Tỉnh Năm ...
-
40 Đề Thi Toán Vào Lớp 10 Chọn Lọc
-
CHÍNH THỨC: Đề Thi Môn Toán Vào Lớp 10 THPT Năm 2020 Tại Hà Nội
-
Đề Tuyển Sinh Lớp 10 THPT Môn Toán Năm 2020 - 2021 Sở GD&ĐT ...
-
Kỳ Thi Vào Lớp 10 THPT Năm 2020 Có Một Số Thay đổi Cần Lưu ý