Đáp án đề Toán THPT 2021 đợt 2
Có thể bạn quan tâm
Đáp án Đề thi tốt nghiệp THPT Quốc Gia 2021 đợt 2 môn Toán
Chiều 6/8, các thí sinh thi đợt 2 kỳ thi THPT Quốc gia 2021 sẽ tham gia thi môn Toán. Nội dung đề thi THPT Quốc Gia 2021 môn Toán đợt 2 và gợi ý Đáp án Đề thi THPT Quốc Gia 2021 môn Toán đợt 2 sẽ được VnDoc cập nhật ngay khi hết thời gian làm bài . Vui lòng nhấn F5 và gửi đề cho VnDoc để nhận gợi ý đáp án nhé.
Đáp án chính thức 2021 môn Toán của Bộ

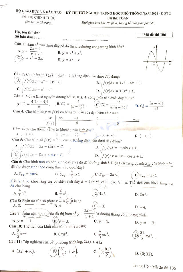
Đề thi THPT Quốc Gia 2021 môn Toán đợt 2
Mã đề 106





Mã đề 111




Mã đề 120





Trên đây VnDoc.com vừa giới thiệu tới các bạn Đáp án đề thi THPT Quốc Gia 2021 môn Toán đợt 2. Đây là đáp án tham khảo để các bạn so sánh đối chiếu với kết quả bài làm của mình, từ đó có thể ước lượng được điểm số mình đạt được trong kỳ thi quan trọng này.
Để biết thêm các thông tin về kỳ thi THPT Quốc gia 2021, mời các bạn tham khảo tại chuyên mục Thi THPT Quốc gia. VnDoc sẽ cập nhật liên tục đáp án kỳ thi, các thông tin về điểm sàn, điểm chuẩn cũng như những thông tin quan trọng khác... Mời các bạn theo dõi.
Mời bạn đọc cùng tham gia nhóm Tài liệu học tập lớp 12 để có thêm tài liệu học tập nhé
Đáp án chính thức đề thi THPT Quốc Gia 2021 đợt 1
- Đáp án đề thi THPT Quốc Gia 2021 môn Văn
- Đáp án đề thi THPT Quốc Gia 2021 môn Anh
- Đáp án đề thi THPT Quốc Gia 2021 môn tiếng Trung
- Đáp án đề thi THPT Quốc Gia 2021 môn tiếng Pháp
- Đáp án đề thi THPT Quốc Gia 2021 môn tiếng Nga
- Đáp án đề thi THPT Quốc Gia 2021 môn tiếng Hàn
- Đáp án đề thi THPT Quốc Gia 2021 môn tiếng Nhật
- Đáp án đề thi môn tiếng Đức THPT Quốc Gia 2021
- Đáp án đề thi THPT Quốc Gia 2021 môn Lý
- Đáp án đề thi THPT Quốc Gia 2021 môn Hóa
- Đáp án đề thi THPT Quốc Gia 2021 môn Sinh
- Đáp án đề thi THPT Quốc Gia 2021 môn Sử
- Đáp án đề thi THPT Quốc Gia 2021 môn Địa
- Đáp án đề thi THPT Quốc Gia 2021 môn GDCD
Từ khóa » đáp án đề Thi Thpt Quốc Gia 2021 đợt 2
-
Đáp án Các Môn Thi Trong Kỳ Thi Tốt Nghiệp THPT đợt 2 Năm 2021
-
Đáp án Môn Tiếng Anh đợt 2 Tốt Nghiệp THPT 2021 24 Mã đề
-
Đáp án Tất Cả Các Môn Thi THPT Quốc Gia 2021 đợt 2
-
Đáp án Và Lời Giải Chi Tiết đề Thi Chính Thức Tốt Nghiệp THPT 2021 ...
-
Top 14 đáp án Anh Văn Thpt Quốc Gia 2021 đợt 2
-
Top 15 đề Thi Thpt Sử 2021 đợt 2
-
Đáp án Môn Tiếng Anh đợt 2 Tốt Nghiệp THPT 2021 24 ... - Tài Liệu 24h
-
Đáp án Môn Toán đợt 2 Tốt Nghiệp THPT 2021
-
Đề Thi THPT Quốc Gia Năm 2021 (đợt 2) - Mã đề 410
-
Đề Thi Tốt Nghiệp THPT 2021 Môn Hóa Đợt 2 Có Đáp Án
-
GIẢI CHI TIẾT ĐỀ TOÁN MÃ 101 – KÌ THI TN THPT QG 2021 - ĐỢT 2
-
Đề Thi & Đáp án Môn Toán Tốt Nghiệp THPT Quốc Gia 2021 đợt 2
-
Đáp án Môn Địa đợt 2 Tốt Nghiệp THPT 2021 - Thời Đại Hải Tặc