Đáp án Môn Toán Thi THPT Quốc Gia 2019 - Báo Tuổi Trẻ

Đáp án môn toán thi THPT quốc gia 2019 - Ảnh 1.

Nguồn: Bộ GD-ĐT

Đáp án môn toán thi THPT quốc gia 2019 - Ảnh 2.

Thí sinh dự thi tổ hợp môn khoa học tự nhiên tại trường THPT Lê Quý Đôn, Đống Đa, Hà Nội sáng 26-6 - Ảnh: NAM TRẦN

Đề thi Toán năm nay được giáo viên đánh giá là khá hay, trong đó 30 câu đầu rất cơ bản, thí sinh chỉ cần ghi nhớ lý thuyết là làm được. Thí sinh cũng nói đề toán nhẹ nhàng, dễ hơn đề thi thử.

Theo dự đoán của giáo viên, những em nắm kiến thức cơ bản chắc có thể dễ đạt điểm 7-8, nhưng sẽ không có nhiều em được điểm 10.

Kỳ thi THPT quốc gia năm nay, cả nước có 887.104 thí sinh đăng ký dự thi tại 1.980 điểm thi, với trên 38.000 phòng thi. Gần 50.000 cán bộ, giảng viên được huy động từ 216 đại học, học viện, trường cao đẳng, đại học. Tỉ lệ thí sinh dự thi đạt trên 99%.

Cả nước có 79 thí sinh và 6 cán bộ bị xử lý kỷ luật vì vi phạm quy chế.

Bộ GD-ĐT đánh giá kỳ thi năm nay nghiêm túc và nhẹ nhàng. Bộ cũng thừa nhận còn một số sự cố nhỏ như phát nhầm đề thi, in sao sai mã đề thi khiến thí sinh phải làm bài muộn.

Ông Mai Văn Trinh - cục trưởng Cục Quản lý chất lượng Bộ GD-ĐT, khẳng định đề thi năm nay đã bám sát hai mục đích xét tốt nghiệp THPT và sử dụng kết quả cho việc tuyển sinh ĐH-CĐ. Vì thế, đề thi có những nhóm câu hỏi rất cơ bản, theo chuẩn kiến thức, kỹ năng của chương trình THPT, chủ yếu là lớp 12.

Nhưng cũng có những nhóm câu hỏi khó hơn, có tính phân hóa, nhằm tạo điều kiện thuận lợi cho việc sàng lọc, tuyển sinh ĐH-CĐ.

Đáp án MÔN VĂN

Đáp án MÔN TOÁN

Đáp án MÔN LÝ

Đáp án MÔN HÓA

Đáp án MÔN SINH

Đáp án MÔN TIẾNG ANH

Đáp án MÔN SỬ

Đáp án MÔN ĐỊA

Đáp án MÔN GIÁO DỤC CÔNG DÂN

Đáp án MÔN TIẾNG PHÁP

Đáp án MÔN TIẾNG NGA

Đáp án MÔN TIẾNG TRUNG

Đáp án MÔN TIẾNG ĐỨC

Đáp án MÔN TIẾNG NHẬT

Đón xem điểm thi THPT quốc gia 2019 trên Tuổi Trẻ Online

Theo lịch do Bộ GD-ĐT công bố, ngày 14-7 sẽ công bố điểm thi THPT quốc gia 2019. Tuổi Trẻ Online sẽ cập nhật TẠI ĐÂY, mời thí sinh, phụ huynh đón xem.

Nhằm giúp thí sinh chọn ngành phù hợp, ngày 21-7, báo Tuổi Trẻ phối hợp Vụ Giáo dục Đại học (Bộ GD-ĐT) và Tổng cục Giáo dục nghề nghiệp (Bộ Lao động thương binh và xã hội tổ chức) tổ chức Ngày hội tư vấn xét tuyển đại học - cao đẳng năm 2019 tại Trường ĐH Bách khoa - ĐH Quốc gia TP.HCM và Trường ĐH Bách khoa Hà Nội.

Tại ngày hội, chuyên gia sẽ chia sẻ tình hình đăng ký xét tuyển, kinh nghiệm lựa chọn ngành nghề cũng như thông tin về các ngành nghề đang và sẽ có nhu cầu nhân lực cao... Ngày hội còn có sự tham gia của hầu hết các trường ĐH, CĐ, trung cấp, là cơ hội tốt để thí sinh có thông tin chính xác nhất, từ đó đưa ra quyết định điều chỉnh nguyện vọng xét tuyển phù hợp.

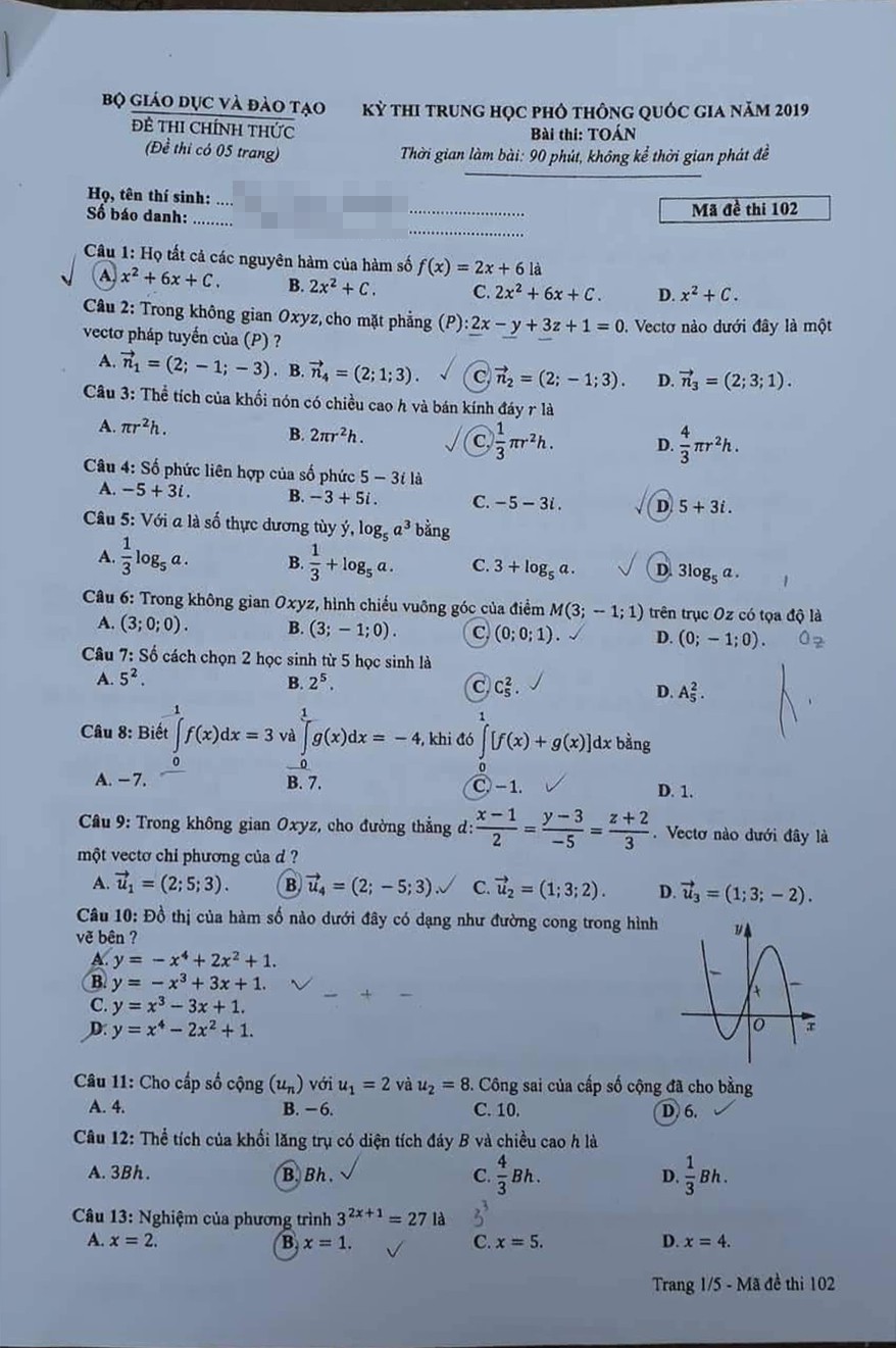
Đề thi môn toán, mã đề 102

Đáp án môn toán thi THPT quốc gia 2019 - Ảnh 5. Đáp án môn toán thi THPT quốc gia 2019 - Ảnh 6. Đáp án môn toán thi THPT quốc gia 2019 - Ảnh 7. Đáp án môn toán thi THPT quốc gia 2019 - Ảnh 8. Đáp án môn toán thi THPT quốc gia 2019 - Ảnh 9.

Mã đề 103

Đáp án môn toán thi THPT quốc gia 2019 - Ảnh 10. Đáp án môn toán thi THPT quốc gia 2019 - Ảnh 11. Đáp án môn toán thi THPT quốc gia 2019 - Ảnh 12. Đáp án môn toán thi THPT quốc gia 2019 - Ảnh 13. Đáp án môn toán thi THPT quốc gia 2019 - Ảnh 14.

Mã đề 104

Đáp án môn toán thi THPT quốc gia 2019 - Ảnh 15. Đáp án môn toán thi THPT quốc gia 2019 - Ảnh 16. Đáp án môn toán thi THPT quốc gia 2019 - Ảnh 17. Đáp án môn toán thi THPT quốc gia 2019 - Ảnh 18. Đáp án môn toán thi THPT quốc gia 2019 - Ảnh 19.

Mã đề 112

Đáp án môn toán thi THPT quốc gia 2019 - Ảnh 20. Đáp án môn toán thi THPT quốc gia 2019 - Ảnh 21. Đáp án môn toán thi THPT quốc gia 2019 - Ảnh 22. Đáp án môn toán thi THPT quốc gia 2019 - Ảnh 23. Đáp án môn toán thi THPT quốc gia 2019 - Ảnh 24.

Ảnh: Thái Thịnh

Mã đề 105

Đáp án môn toán thi THPT quốc gia 2019 - Ảnh 25. Đáp án môn toán thi THPT quốc gia 2019 - Ảnh 26. Đáp án môn toán thi THPT quốc gia 2019 - Ảnh 27. Đáp án môn toán thi THPT quốc gia 2019 - Ảnh 28. Đáp án môn toán thi THPT quốc gia 2019 - Ảnh 29.

Ảnh: ĐOÀN NHẠN

Thi THPT quốc gia, thí sinh cần lưu ý gì? - Ảnh 2. Công bố đáp án chính thức các môn trắc nghiệm thi THPT quốc gia Công bố đáp án chính thức các môn trắc nghiệm thi THPT quốc gia

TTO - Bộ GD-ĐT vừa công bố đáp án chính thức các môn trắc nghiệm kỳ thi THPT quốc gia 2019. Tuổi Trẻ Online sẽ cập nhật đáp án tất cả các môn, mời bạn đọc đón xem.

Từ khóa » đáp án đề Thi Thptqg 2019 Môn Toán