Đặt Một điện áp Xoay Chiều U=U Căn 2cos100 Pi T-pi/6 V Vào Hai đầu ...
Có thể bạn quan tâm
- đặt Một điện Tích âm Khối Lượng Nhỏ Vào Một điện Trường đều Rồi Thả Nhẹ đi
- đặt Một điện Tích Dương Khối Lượng Nhỏ Vào Một điện Trường đều Rồi Thả Nhẹ
- đặt Một điện Tích Q Trong điện Trường đều E Lực điện F Tác Dụng Lên điện Tích Q Có Chiều
- đặt Một điện Tích Thử
- đặt Một điện Tích Thử - 1uc đặt Trong Chân Không
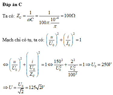
Đặt một điện áp xoay chiều u=U2cos100πt-π6V vào hai đầu đoạn mạch chỉ có tụ điện với điện dung C=10-4πF . Ở thời điểm t, khi điện áp hai đầu tụ điện có giá trị 150V thì cường độ dòng điện trong mạch là 2A . Giá trị điện áp U là
A. 1502V.
B. 250V.
C. 1252V.
D. 2502V.
Trả Lời Hỏi câu khác Lưu câu hỏi Hỏi chi tiết ...Xem thêmQuảng cáo
1 câu trả lời 1064
N Ngọc Anhh 4 năm trước.

Quảng cáo
Bạn muốn hỏi bài tập?
Đặt câu hỏiCâu hỏi hot cùng chủ đề
-
Đã trả lời bởi chuyên gia Một mạch dao động LC lí tưởng đang có dao động điện từ tự do. Biết điện tích cực đại của một bản tụ điện có độ lớn là 10-8 C và cường độ dòng điện cực đại qua cuộn cảm thuần là 62,8 mA. Tính tần số dao động điện từ tự do của mạch.
Từ khóa » đặt Một điện áp Xoay Chiều U=u Căn 2cos100pit
-
Đặt điện áp Xoay Chiều U=U Căn 2cos100pit(V) Vào Hai đầu đoạn ...
-
Đặt Một điện áp Xoay Chiều U = U Căn 2 Cos (100pi T) (U Không đổi ...
-
Đặt Một điện áp Xoay Chiều U=U Căn Bậc Hai 2cos100pit(V) A. Căn ...
-
Đặt Một điện áp Xoay Chiều U=U Căn Bậc Hai 2cos100pit(V)( U Không...
-
Top 15 đặt Một điện áp Xoay Chiều U=u Căn 2cos100pit
-
Top 15 đặt Một điện áp Xoay Chiều U=u Căn 2
-
Đặt Một điện áp Xoay Chiều U = U√2cos(100πt) V Lên Hai đầu Mạch ...
-
Đặt Một điện áp Xoay Chiều U = U 2 Cos Wt ( U , W Không đổi) Vào Hai ...
-
Đặt điện áp Xoay Chiều \(u = U\sqrt 2 C{\rm{os}}100\pi T(V)\) Vào Hai ...
-
Đặt Một điện áp (u = 100căn 2 Cos( (100pi T + (pi )(6)) )( V ) )
-
Đặt điện áp Xoay Chiều U=U Căn 2 Cos 100pi T (V) Vào Hai đầu đoạn...
-
Đặt Một điện áp Xoay Chiều U = U√2cos(100πt) (U Không đổi) Vào ...
-
Đặt Một điện áp Xoay Chiều U = 100 Căn 2cos100pit - Học Tốt
-
Câu Hỏi đặt điện áp Xoay Chiều U = U√2cos100πt Vào Hai đầu đoạn ...