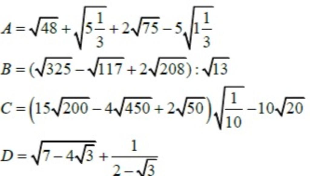
Đề Bài: Rút Gọn Biểu Thức
Có thể bạn quan tâm


Tìm kiếm với hình ảnh
Vui lòng chỉ chọn một câu hỏi
Tìm đáp án
Đăng nhập- |
- Đăng ký


Hoidap247.com Nhanh chóng, chính xác
Hãy đăng nhập hoặc tạo tài khoản miễn phí!
Đăng nhậpĐăng ký

Lưu vào
+
Danh mục mới
- dnghlinh

- Chưa có nhóm
- Trả lời
0
- Điểm
0
- Cảm ơn
0
- Toán Học
- Lớp 9
- 50 điểm
- dnghlinh - 08:54:31 09/08/2021

- Hỏi chi tiết
Báo vi phạm
Hãy luôn nhớ cảm ơn và vote 5* nếu câu trả lời hữu ích nhé!
TRẢ LỜI


- huynhquangsang5

- Active Activity
- Trả lời
2368
- Điểm
18239
- Cảm ơn
1823
- huynhquangsang5
- 09/08/2021

Đáp án + Giải thích các bước giải:
`A=sqrt48+sqrt(5 1/3)+2sqrt75-5sqrt(1 1/3)`
`=sqrt48+sqrt(16/3)+2sqrt75-5sqrt(4/3)`
`=4sqrt3+sqrt16/sqrt3+2*5sqrt3-5*sqrt4/sqrt3`
`=4sqrt3+4/sqrt3+10sqrt3-5*2/sqrt3`
`=4sqrt3+(4sqrt3)/3+10sqrt3-(10sqrt3)/3`
`=4sqrt3+4/3sqrt3+10sqrt3-10/3sqrt3`
`=(4+4/3+10-10/3)sqrt3=12sqrt3`
`B=(sqrt325-sqrt117+2sqrt208):sqrt13`
`=sqrt325/sqrt13-sqrt117/sqrt13+(2sqrt208)/sqrt13`
`=sqrt(325/13)-sqrt(117/13)+2sqrt(208/13)`
`=sqrt25-sqrt9+2sqrt16`
`=5-3+2*4=5-3+8=10`
`C=(15sqrt200-4sqrt450+2sqrt50)sqrt(1/10)-10sqrt20`
`=(15*10sqrt2-4*15sqrt2+2*5sqrt2)*1/sqrt10-10sqrt20`
`=(150sqrt2-60sqrt2+10sqrt2)*1/sqrt10-10sqrt20`
`=[(150-60+10)sqrt2]*1/sqrt10-10sqrt20`
`=100sqrt2*1/sqrt10-10sqrt20`
`=(100sqrt2)/sqrt10-10*2sqrt5`
`=(100sqrt20)/10-20sqrt5`
`=10sqrt20-20sqrt5`
`=10*2sqrt5-20sqrt5`
`=20sqrt5-20sqrt5=0`
`D=sqrt(7-4sqrt3)+1/(2-sqrt3)`
`=sqrt(4-4sqrt3+3)+(2+sqrt3)/[(2-sqrt3)(2+sqrt3)]`
`=sqrt[2^2-2*2*sqrt3+(sqrt3)^2] + (2+sqrt3)/(4-3)`
`=sqrt[(2-sqrt3)^2]+2+sqrt3`
`=|2-sqrt3|+2+sqrt3=2-sqrt3+2+sqrt3=4`.
Hãy giúp mọi người biết câu trả lời này thế nào?
starstarstarstarstarstarstarstarstarstarstarstarstarstarstarstarstarstarstarstarstarstarstarstarstarstarstarstarstarstarstarstarstarstarstarGửiHủy
Cảm ơn
Báo vi phạm
Xem thêm:
- >> Tuyển tập 100+ đề bài đọc hiểu Ngữ Văn lớp 9


- Kakashin2007

- Annihilators
- Trả lời
2257
- Điểm
62727
- Cảm ơn
1801
- Kakashin2007
- 09/08/2021

Đáp án+Giải thích các bước giải:
`A=\sqrt48+\sqrt{5(1)/3}+2\sqrt75-5\sqrt{1(1)/3}`
`=\sqrt{16.3}+\sqrt{16/3}+2\sqrt{25.3}-5\sqrt{4/3}`
`=\sqrt{4^{2}.3}+\sqrt16/\sqrt3+2\sqrt{5^{2}.3}-5.(\sqrt4)/\sqrt3`
`=4\sqrt3+4/\sqrt3+2.5\sqrt3-10/\sqrt3`
`=4\sqrt3+4/\sqrt3+10\sqrt3-10/\sqrt3`
`=14\sqrt3-6/\sqrt3`
`=14\sqrt3-(6\sqrt3)/3`
`=14\sqrt3-2\sqrt3`
`=12\sqrt3`
Vậy `A=12\sqrt3`
`B=(\sqrt325-\sqrt117+2\sqrt208):\sqrt13`
`=(\sqrt{25.13}-\sqrt{9.13}+2\sqrt{16.13}):\sqrt13`
`=(5\sqrt13-3\sqrt13+2.4\sqrt13):\sqrt13`
`=\sqrt13(5-3+8):\sqrt13`
`=2+8`
`=10`
Vậy `B=10`
`C=(15\sqrt200-4\sqrt450+2\sqrt50)\sqrt{1/10}-10\sqrt20`
`=(15\sqrt{100.2}-4\sqrt{225.2}+2\sqrt{25.2})\sqrt{1/10}-10\sqrt20`
`=(15.10\sqrt2-4.15\sqrt2+2.5\sqrt2)\sqrt{1/10}-10\sqrt20`
`=(150\sqrt2-60\sqrt2+10\sqrt2)\sqrt{1/10}-10\sqrt20`
`=100\sqrt{2}.\sqrt{1/10}-10\sqrt20`
`=100\sqrt{2}.(1)/\sqrt10-10\sqrt20`
`=(100)/(\sqrt{10}).\sqrt2-10\sqrt{20}`
`=(100\sqrt10)/(10).\sqrt2-10\sqrt20`
`=10\sqrt10.\sqrt2-10\sqrt20`
`=10\sqrt20-10\sqrt20`
`=0`
Vậy `C=0`
`D=\sqrt{7-4\sqrt3}+1/(2-\sqrt3)`
`=\sqrt{4-4\sqrt3+3}+(2+\sqrt3)/((2-\sqrt3)(2+\sqrt3))`
`=\sqrt{2^2-2.2.\sqrt3+(\sqrt3)^2}+(2+\sqrt3)/(4-3)`
`=\sqrt{(2-\sqrt3)^2}+2+\sqrt3`
`=|2-\sqrt3|+2+\sqrt3`
`=2-\sqrt3+2+\sqrt3(` vì `2>\sqrt3)`
`=4`
Vậy `D=4`
Hãy giúp mọi người biết câu trả lời này thế nào?
starstarstarstarstarstarstarstarstarstarstarstarstarstarstarstarstarstarstarstarstarstarstarstarstarstarstarstarstarstarstarstarstarstarstarGửiHủy
Cảm ơn
Báo vi phạm
Bạn muốn hỏi điều gì?
Tham Gia Group Dành Cho Lớp 9 - Ôn Thi Vào Lớp 10 Miễn Phí

Bảng tin
Bạn muốn hỏi điều gì?
Lý do báo cáo vi phạm?
Gửi yêu cầu Hủy

Cơ quan chủ quản: Công ty Cổ phần Công nghệ Giáo dục Thành Phát
Tải ứng dụng


- Hướng dẫn sử dụng
- Điều khoản sử dụng
- Nội quy hoidap247
- Góp ý
Inbox: m.me/hoidap247online
Trụ sở: Tầng 7, Tòa Intracom, số 82 Dịch Vọng Hậu, Cầu Giấy, Hà Nội.
Từ khóa » Căn Bậc 2 Của 325
-
Rút Gọn Căn Bậc Hai Của 325 | Mathway
-
Hãy Tìm Căn Bậc Hai - QANDA
-
Sqrt 325 | Xem Lời Giải Tại QANDA
-
3 Căn 53 2 Căn 117 Căn 325 - 2 Căn 637 - Olm
-
Giải Phương Trình Bậc Hai X^2-1.1x-325=0 Bằng Công Thức Bậc Hai
-
Bài 1: Căn Bậc Hai - Hoc24
-
Quyết định 325/QĐ-UBND 2022 Kế Hoạch Sử Dụng đất Thành Phố ...
-
Quyết định 325/QĐ-BVHTTDL 2022 định Mức Sử Dụng ô Tô Chuyên ...
-
Tính Giá Trị Của Biểu Thức:a,4,25×57,43-325+42,57×4,25b ... - Song Hỷ
-
Giải Sqrt{130^2-(325/6)^2} | Ứng Dụng Giải Toán Microsoft Math
-
Giải Sqrt{325}= | Ứng Dụng Giải Toán Microsoft Math
-
Tuổi Trẻ Sư đoàn 325 Hưởng ứng Cuộc Thi Tìm Hiểu Về Đại Tướng Võ ...