Đề Cương ôn Tập Học Kì 2 Môn Toán Lớp 7 Năm 2022
Có thể bạn quan tâm
Nâng cấp gói Pro để trải nghiệm website VnDoc.com KHÔNG quảng cáo, và tải file cực nhanh không chờ đợi.
Tìm hiểu thêm » Mua ngay Từ 79.000đ Hỗ trợ ZaloĐề cương ôn tập Toán 7 học kì 2
- 1. Đề cương ôn tập học kì 2 Toán 7 CTST
- 2. Đề cương ôn tập học kì 2 Toán 7 Cánh diều
- Dạng 1: Xác suất và thống kê.
- Dạng 2: Biểu thức đại số
- Dạng 3: Toán lời văn
- Dạng 4: Hình học
- 3. Đề cương ôn tập Toán học kì 2 lớp 7 Kết nối tri thức
Đề cương ôn tập học kì 2 môn Toán lớp 7 bộ 3 sách mới: Chân trời sáng tạo, Kết nối tri thức, Cánh diều khái quát kiến thức được học trong học kì 2 Toán 7, giúp các em lên kế hoạch ôn tập, chuẩn bị cho bài thi cuối kì 2 lớp 7 sắp tới đạt kết quả cao. Mời các bạn tham khảo.
Link tải chi tiết từng sách:
- Đề cương ôn tập học kì 2 Toán 7 Chân trời sáng tạo
- Đề cương ôn thi học kì 2 Toán 7 sách Cánh diều
- Đề cương ôn thi học kì 2 Toán 7 Kết nối tri thức
1. Đề cương ôn tập học kì 2 Toán 7 CTST
A. NỘI DUNG ÔN TẬP
Đại số
1. Các đại lượng tỉ lệ
- Tỉ lệ thức – Dãy tỉ số bằng nhau
- Đại lượng tỉ lệ thuận
- Đại lượng tỉ lệ nghịch
2. Biểu thức đại số
- Biểu thức số và biểu thức đại số
- Đa thức một biến
- Phép tính với đa thức một biến (Phép cộng và phép trừ, Phép nhân và phép chia)
Hình học
- Góc và cạnh của một tam giác
- Tam giác bằng nhau
- Tam giác cân
- Đường vuông góc và đường xiên
- Đường trung trực của một đoạn thẳng
- Tính chất ba đường trung trực của tam giác
- Tính chất ba đường trung tuyến của tam giác
- Tính chất ba đường cao của tam giác
- Tính chất ba đường phân giác của tam giác
Xác suất
- Làm quen với biến cố ngẫu nhiên
- Làm quen với xác suất của biến cố ngẫu nhiên
B. BÀI TẬP
I. Phần trắc nghiệm
Câu 1: Từ tỉ lệ thức
\(\frac{{ - 4}}{6} = \frac{8}{{ - 12}}\) không lập được tỉ lệ thức nào sau đây?
A.
\(\frac{{ - 12}}{6} = \frac{{ - 4}}{8}\).
B.
\(\frac{6}{{ - 4}} = \frac{{ - 12}}{8}\).
C.
\(\frac{{ - 4}}{8} = \frac{6}{{ - 12}}\).
D.
\(\frac{8}{{ - 4}} = \frac{{ - 12}}{6}\).
Câu 2: Từ đẳng thức 2.15 = 6.5, ta có thể lập được tỉ lệ thức nào?
A.
\(\frac{2}{5} = \frac{5}{{15}}\).
B.
\(\frac{2}{{15}} = \frac{6}{5}\).
C.
\(\frac{2}{6} = \frac{5}{{15}}\).
D.
\(\frac{2}{5} = \frac{{15}}{6}\).
Câu 3: Cho biết x và y là hai đại lượng tỉ lệ thuận, khi x = 5 thì y = 15. Hệ số tỉ lệ k của y đối với x là:
A. 10.
B. 75.
C.
\(\frac{1}{3}\).
D. 3.
Câu 4: Cho y và x là hai đại lượng tỉ lệ nghịch, biết rằng khi x = -3 thì y = 2. Công thức liên hệ giữa y và x là:
A.
\(y = \frac{{ - 2}}{3}x\).
B.
\(y = \frac{{ - 6}}{x}\).
C.
\(y = - 6x\).
D.
\(y = \frac{6}{x}\).
Câu 5: Tìm 2 số x,y biết:
\(\frac{x}{3} = \frac{y}{5}\) và
\(x + y = - 32\)
A.
\(x = 20;y = 12\).
B.
\(x = - 12;y = 20\).
C.
\(x = - 12;y = - 20\).
D.
\(x = - 20;y = - 12\).
Câu 6: Có bao nhiêu đơn thức trong các biểu thức sau:
\(- x\frac{3}{5}{x^3}\);
\(2 + x\);
\(6{x^3}\);
\(x;\)
\(\frac{x}{{x - 1}}\)?
A. 3.
B. 4.
C. 1.
D. 5.
Câu 7: Bậc của đa thức
\({x^3} - {x^2} + 7x - 9\) là
A. 1.
B. 2.
C.
\(- 9\).
D. 3.
Câu 8: Đa thức nào là đa thức một biến?
A.
\(27{x^2} - 3y + 15\).
B.
\(2022{x^3} - {x^2} + 15\).
C.
\(5xy - {x^3} + 1\).
D.
\(xyz - 2xy + 5\).
Câu 9: Thu gọn đa thức P = x3y – 5xy3 + 2x3y + 5xy3 bằng:
A. 3x3y - 10xy3.
B. –x3y.
C. x3y + 10 xy3.
D. 3x3y.
Câu 10: Đa thức
\(x - 2\) có nghiệm là:
A.
\(\frac{1}{2}\).
B.
\(0\).
C.
\(\frac{{ - 1}}{2}\).
D.
\(2\).
Câu 11: Đa thức
\(Q = - \frac{1}{3}{x^4} + 5{x^3} - 8x + 9\) có hệ số cao nhất là:
A. -8.
B. 9.
C.
\(- \frac{1}{3}\).
D. 5.
Câu 12: Biểu thức biểu thị chu vi của hình chữ nhật có chiều dài
\(9cm\) và chiều rộng
\(6cm\) là
A.
\(6 + 9{\rm{ }}\left( {cm} \right){\rm{.}}\)
B.
\(2.6 + 9{\rm{ }}\left( {cm} \right){\rm{.}}\)
C.
\(6.9{\rm{ }}\left( {cm} \right){\rm{.}}\)
D.
\(\left( {6 + 9} \right){\rm{.2 }}\left( {cm} \right){\rm{.}}\)
Câu 13: Sắp xếp đa thức 6x3 + 5x4 – 8x6 – 3x2 + 4 theo lũy thừa giảm dần của biến ta được:
A. 6x3 + 5x4 – 8x6 – 3x2 + 4
B. –8x6 + 5x4 –3x2 + 4 + 6x3
C. –8x6 + 5x4 +6x3 + 4 –3x2
D. –8x6 + 5x4 +6x3 –3x2 + 4
Câu 14: Cho hai đa thức f(x) = 5x4 + x3 – x2 + 1 và g(x) = –5x4 – x2 + 2.
Tính h(x) = f(x) + g(x) và tìm bậc của h(x). Ta được:
A. h(x)= x3 – 1 và bậc của h(x) là 3
B. h(x)= x3 – 2x2 +3 và bậc của h(x) là 3
C. h(x)= x4 +3 và bậc của h(x) là 4
D. h(x)= x3 – 2x2 +3 và bậc của h(x) là 5
Câu 15: Tích của hai đơn thức
\(6{x^2}\) và
\(2x\) là
A.
\(- 12{x^3}\).
B.
\(12{x^3}\).
C.
\(12{x^2}\).
D.
\(8{x^3}\).
Câu 16: Trong một hộp có bốn tấm thẻ ghi số 1; 2; 3; 6. Rút ngẫu nhiên một tấm thẻ từ trong hộp. Đâu là biến cố chắc chắc
A. Rút được thẻ ghi số là số nguyên tố.
B. Rút được thẻ ghi số nhỏ hơn 7.
C. Rút được thẻ ghi số lớn hơn 5.
D. Rút được thẻ ghi số lá số chẵn.
Mời các bạn xem tiếp trong file tải
2. Đề cương ôn tập học kì 2 Toán 7 Cánh diều
Dạng 1: Xác suất và thống kê.
Bài 1. Biểu đồ đoạn thẳng bên biểu diễn tổng sản phẩm quốc nội (GDP) của nước ta trong giai đoạn từ năm 2014 đến năm 2019

a. GDP năm 2016 là bao nhiêu?
b. GDP của nước ta có xu hướng tăng hay giảm?
c. So với năm 2014, GDP năm 2019 đã tăng bao nhiều tỉ đô la.
d. GDP năm 2017 đã tăng bao nhiêu phần trăm so với năm 2015
Bài 2. Xếp loại học lực của 40 bạn học sinh của lớp 7A được minh họa bởi biểu đồ ở hình vẽ bên.

a) Kể tên các loại xếp loại học lực của lớp 7A.
b) Số phần trăm của mức xếp loại nào là chưa cho biết? Tính số phần trăm của mức xếp loại đó.
c) Tính số học sinh xếp loại Khá của lớp 7A.
Bài 3. Một hộp có 100 chiếc thẻ cùng loại, mỗi thẻ được ghi một trong các số 1; 2; 3;...; 99; 100, hai thẻ khác nhau thì ghi hai số khác nhau. Rút ngẫu nhiên một thẻ trong hộp.
a) Viết và tính số phần tử của:
+ Tập hợp A gồm các kết quả có thể xảy ra đối với biến cổ “Số xuất hiện trên thẻ được rút ra là số có một chữ số”.
+ Tập hợp B gồm các kết quả có thể xảy ra đối với biến cố “Số xuất hiện trên thẻ được rút ra là số chia hết cho 13.
+ Tập hợp C gồm các kết quả có thể xảy ra đối với biến cố “Số xuất hiện trên thẻ được rút ra là số nguyên tố”.
+ Tập hợp D gồm các kết quả có thể xảy ra đối với biến cố “Số xuất hiện trên thẻ được rút ra là số có tổng các chữ số bằng 10”.
b) Tính xác suất của các biến cố trong phần a).
Dạng 2: Biểu thức đại số
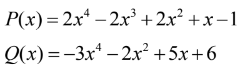
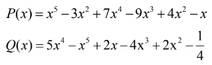
Bài 1.
Cho hai đa thức

a. Tính P (x ) + Q (x)
b. Tính P (x ) - Q (x)
Bài 2. Cho hai đa thức:
a. Tính giá trị của đa thức Q ( x) tại x =1.b. Tìm đa thức R (x ) = P (x ) + Q (x) và K (x ) = P (x ) - Q (x) .c. Chứng tỏ x = 0 là nghiệm của P ( x) nhưng không là nghiệm của Q (x) .
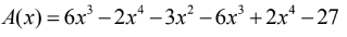
Bài 3. Cho đa thức:
![]()
a) Thu gọn và sắp xếp các hạng tử của đa thức trên theo lũy thừa giảm của biến.
b) Chỉ ra bậc của đa thức A(x)
c) Tính A(2), A(-1)
d) Khi A(x) = 0 thì x nhận những giá trị nào?
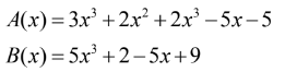
Bài 4. Cho các đa thức:

a) Thu gọn và sắp xếp đa thức theo lũy thừa giảm dần của biến x
b) Tính A(x) + B(x); A(x) – B(x)
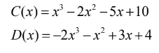
Bài 5. Cho các đa thức:

a) Tìm đa thức E(x) = C(x) + D(x)
b) Tìm đa thức F(x) = C(x) – D(x)
c) Tính E(1); F(-1).
Dạng 3: Toán lời văn
Bài 1. Một khu vườn hình chữ nhật có chiều rộng là x(m) (với x>0), chiều dài hơn chiều rộng là 5m.
a. Hãy viết biểu thức đại số biểu thị chu vi của khu vườn hình chữ nhật.
b. Hãy tính chiều dài và chiều rộng của khu vườn hình chữ nhật, biết chu vi của khu vườn là 82m.
Bài 2. Bác Hoà mua một túi rau và một số cam. Biết rằng mỗi kilôgam cam có giá 40 nghìn đổng và túi rau có giá 15 nghin đổng.
a) Hãy viết biểu thức biểu thị tổng số tiển bác Hoà phải trả nếu số cam bác Hoà mua là x kilôgam.
b) Giả sử số cam bác Hoà mua là 2,5 kilôgam. Sử dụng kết quả câu a, em hãy tính xem bác Hoà phải trả tất cả bao nhiêu tiển.
c) Giả sử Bác Hòa phải trả 135 nghìn đồng. Sử dụng kết quả của câu a, em hãy tính xem bác Hòa mua bao nhiêu kilôgam cam?
Bài 3. Một người đi ô tô với vận tốc 40 km/h trong x giờ, sau đó tiếp tục đi bộ với vận tốc 5 km/h
trong y giờ.
a) Hãy viết biểu thức biểu thị tổng quãng đuờng người đó đi được.
b) Tính giá trị của biểu thức trong câu a khi x=2,5 (giờ) và y=0,5 (giờ).
Bài 4. Một bác nông dân sử dụng hai chiếc máy bơm để tưới nước cho vườn cây. Máy bơm thứ nhất mỗi giờ bơm được 5 m3 nước. Máy bơm thứ hai mỗi giờ bơm được 3,5 m3 nước.
a) Viết biểu thức đại số biểu thị lượng nước bơm được của hai máy, nếu máy bơm thứ nhất chạy trong x giờ và máy bơm thứ hai chạy trong y giờ.
b) Sử dụng kết quả câu a, tính lượng nước bơm được của cả hai máy khi x=2 (giờ), y=3 (giờ).
c) Giả sử máy bơm thứ nhất chạy trong 2 giờ và máy bơm hai chạy trong y giờ. Tính xem máy bơm thứ hai chạy trong bao lâu khi lượng nước bơm được của hai máy là 24 m3.
Dạng 4: Hình học
Bài 1. Cho tam giác ABC vuông tại A. Đường phân giác BD (D AC). Kẻ DE vuông góc với BC (E BC)
a. Chứng minh ΔABD = ΔEBD .
b. Chứng minh ΔADE cân.
c. So sánh AD và DC.
d. Kẻ đường cao AF của DABC . Chứng minh AE là tia phân giác của góc FAC.
e. Kẻ CI vuông góc với BD tại I, cắt BA kéo dài ở K. Chứng minh E, D, K thẳng hàng.
Bài 2. Cho ΔABC vuông tại A (AB < AC). Kẻ BD là phân giác của góc ABC (D thuộc AC), trên cạnh BC lấy điểm E sao cho AB = BE.
a. Chứng minh ΔABD = ΔEBD.b. So sánh AD và DC.
c. Đường thẳng ED cắt đường thẳng AB tại F, gọi S là trung điểm của FC. Chứng minh ba điểm B, D, S thẳng hàng.
Bài 3. Cho tam giác MNP cân tại M. Lấy điểm D trên cạnh MN, điểm E trên cạnh MP sao cho
ND = PE.
a) Chứng minh:
ΔNDP = ΔPEN.
b) Chứng minh:
ΔMDP = ΔMEN.
c) Gọi K là giao điểm của NE và DP. Chứng minh: ΔKNP cân tại K.
d) Chứng minh: MK là tia phân giác của góc NMP.
e) Lấy H là trung điểm của NP. Chứng minh: M, K, H là 3 điểm thẳng hàng.
f) Chứng minh: DE // NP
Bài 4. Cho tam giác ABC cân tại A. Lấy M là trung điểm của đoạn thẳng BC.
a) Chứng minh: ΔABM = ΔACM
b) Chứng minh: AM là đường trung trực của đoạn thẳng BC.
c) Lấy N trên đường thẳng AM sao cho M nằm giữa A và N. Chứng minh: ΔNBC cân tại N.
d) Chứng minh: ΔABN = ΔACN và NA là tia phân giác của góc BNC.
Bài 5. Cho tam giác ABC, đường trung tuyến AM. Gọi K là trung điểm của BM. Trên tia đối của tia KA lấy điểm E sao cho KE=KA.
a) Điểm M là trọng tâm của tam giác nào?
b) Gọi F là trung điểm của CE. Chứng minh rằng ba điểm A,M,F thẳng hàng
3. Đề cương ôn tập Toán học kì 2 lớp 7 Kết nối tri thức
PHẦN 1: TRẮC NGHIỆM
Câu 1: Có thể lập được bao nhiêu tị lệ thức từ các số sau 5 ; 25 ; 125 ; 625 ?
A. 6 .
B. 0 .
C. 8 .
D. 4 .
Câu 2: Trong các sự kiện, hiện tượng sau: đâu là biến cố chắc chắn
A. Mặt trời quay quanh Trái Đất
B. Khi gieo đồng xu thì được mặt ngửa
C. Khi gieo đồng xu thì được mặt sấp
D. Ngày mai, Mặt Trời mọc ở phía Đông
Câu 3: "Khi gieo đồng xu thì được mặt sấp" là:
A. Biến cố ngẫu nhiên
B. Biến cố chắc chắn
C. Biến cố không thể
D. Không phài là biến cố
Câu 4: Xác suất p của biến cố có giá trị thỏa mãn
A. 0 < p < 100
B. 0 < p < 1
C. 0 £ p £ 1
D. 1 £ p £ 100
Câu 5: Thực hiện gieo 1 con xúc xắc. Xác suất của biến cố: "Gieo được mặt 4 chấm" là:
A. 50%
B. 0%
C. 1
D. 1/6
Câu 6: Hình hộp chữ nhật có:
A. 4 mặt, 8 đỉnh, 12 cạnh
B. 6 mặt, 8 đỉnh, 12 cạnh
C. 6 mặt, 12 dỉnh, 8 cạnh
D. 8 mặt, 6 đỉnh, 12 cạnh
Câu 7: Phát biểu nào sau đây là đúng?
A. Các mặt bên của hình lăng trụ đứng là hình chữ nhật
B. Các măt bên của hình lăng trụ đứng là hình thang cân
C. Các mặt đáy của hình lăng trụ đững là các hình chữ nhật
D. Các măt đáy của hình lăng trụ đứng là các hình tam giác
Cậu 8: Cho AABC nểu O là điểm cách đều ba đỉnh của tam giác. Khi đó O là giao điểm của
A. Ba đường cao.
B. Ba đường trung tuyến.
C. Ba đường trung trực.
D. Ba đường phân giác
PHẦN 2: TỰ LUẬN
Dạng 1: Tỉ lệ thuận – Tỉ lệ nghịch
Bài 1: Ba đội máy cày, cày ba cánh đồng cùng diện tích. Đội thứ nhất cày trong 5 ngày, đội thứ hai cày trong 4 ngày và đội thứ ba cày trong 6 ngày. Hỏi mỗi đội có bao nhiêu máy cày biết rằng ba đội có tất cả 37 máy (Năng suất các máy như nhau)
Bài 2: Ba nhóm thợ thực hiện xây các ngôi nhà giống nhau. Nhóm thứ nhất xây trong 40 ngày, nhóm thứ hai xây trong 60 ngày và nhóm thứ ba xây trong 50 ngày. Biết nhóm thứ ba có ít hơn nhóm thứ nhất là 3 người thợ, tính số thợ của mỗi nhóm (năng suất các người thợ như nhau)
Bài 3: Ba xe khởi hành cùng một lúc để chở nguyên liệu từ kho đến phân xưởng. Thời gian ba xe di chuyển lần lượt là 10 giờ, 15 giờ và 25 giờ. Biết vận tốc xe thứ nhất lớn hơn vận tóc xe thứ hai là 5 km/h. Tính vận tốc mỗi xe
Bài 4: Học sinh của ba lớp 7 cần trồng và chăm sóc 24 cây xanh. Lớp 7A có 32 học sinh, lớp 7B có 28 học sinh, lớp 7C có 36 học sinh. Hỏi mỗi lớp phải trồng và chăm sóc bao nhiêu cây xanh? Biết số cây xanh mỗi lớp trồng tỉ lệ với số học sinh lớp đó.
Bài 5: Cuối học kì I, tổng số học sinh khối 7 đạt loại giỏi và khá nhiều hơn số học sinh đạt trung bình là 45 em. Biết rằng số học sinh đạt loại giỏi, khá, trung bình tỉ lệ với 2; 5; 6. Tính số học sinh giỏi, khá, trung bình của khối 7.
Dạng 3: Biến cố và xác suất của biến cố
Bài 1: Tung một đồng xu ba lần. Trong các biến cố sau, biến cố nào là biến cố chắc chắn, biến cố không thể, biến cố ngẫu nhiên
A: “ Có 2 lần xuất hiện mặt S”
B: “Số lần xuất hiện mặt S và số lần xuất hiện mặt N bằng nhau”
C: “Cả ba lần xuất hiện mặt N”
D: “Số lần xuất hiện mặt S và số lần xuất hiện mặt N không bằng nhau”
Bài 2: Gieo ngẫu nhiên một con xúc xắc cân đối một lần. Tính xác suất của mỗi biến cố sau: a)
A: “Mặt xuất hiện của xúc xắc có số chấm là số lẻ”
B: “Mặt xuất hiện của xúc xắc có số chấm là ước của 4”
C: “Mặt xuất hiện của xúc xắc có số chấm chia hết cho 3”
Bài 3: Một hộp có 24 chiếc thẻ cùng loại, mỗi thẻ được ghi một trong các số 1,2,3,...,24 hai thẻ khác nhau thì ghi hai số khác nhau. Rút ngẫu nhiên một thẻ trong hộp. Tính xác suất của mỗi biến cố sau:
a) “Số xuất hiện trên thẻ được rút ra là số chia hết cho 5”
b) “Số xuất hiện trên thẻ có tổng các chữ số bằng 3”
c) “Số xuất hiện trên thẻ là số có hai chữ số”
Bài 4: Một hộp kín đựng 20 quả bóng cùng kích cỡ, khối lượng bao gồm 10 quả bóng màu xanh và 10 quả bóng màu vàng. Chọn ngẫu nhiên một quả bóng từ hộp. Tìm xác suất của các biến cố:
A: “Chọn được quả bóng màu vàng hoặc màu xanh”
B: “ Chọn được quả bóng màu xanh”
C: “Chọn được quả bóng màu vàng”
Tài liệu vẫn còn dài, mời các bạn tải về để xem trọn bộ
Đề thi cuối học kì 2 lớp 7 môn Toán
- Đề thi học kì 2 lớp 7 môn Toán - Kết nối
- Đề thi học kì 2 Toán 7 - Cánh diều
- Đề thi học kì 2 Toán 7 - Chân trời
Từ khóa » Một Số Bài Toán Hình Lớp 7 Học Kì 2
-
Đề Cương ôn Tập Học Kì 2 Môn Toán Hình Học Lớp 7
-
Đề ôn Tập Học Kì 2 Toán Lớp 7 Có đáp án Và Lời Giải Chi Tiết
-
ôn Tập Hình Học Lớp 7 Học Kỳ II
-
Các Dạng Toán Hình Học 7 Học Kỳ 2 Có Lời Giải
-
Tổng Hợp Kiến Thức, Công Thức Toán Lớp 7 Học Kì 2 Chi Tiết Nhất
-
Các Dạng Toán Hình Học Lớp 7 Học Kì 2 Chọn Lọc Có đáp án
-
Các Dạng Toán Hình Học Lớp 7 Học Kì 2 Chọn Lọc Có đáp án
-
TOÁN LỚP 7 - PHẦN HÌNH HỌC - ÔN TẬP KÌ 2 - YouTube
-
Toán 7 - Ôn Tập Cuối Học Kỳ 2 Phần Hình Học - Bài Toán Số 2 - YouTube
-
Toán Học Lớp 7 - Học Kì 2 - Đề Thi Số 2 - YouTube
-
Bài Tập Toán Hình Lớp 7 Học Kì 2 - 123doc
-
Các Bài Tập Toán Lớp 7 Học Kì 2 - 123doc
-
7 Đề Thi Học Kì 2 Toán 7 Năm 2022 (Có Ma Trận, đáp án)