Đề Thi Học Sinh Giỏi Môn Toán Lớp 6 Năm Học 2019 - 2020
Có thể bạn quan tâm
Nâng cấp gói Pro để trải nghiệm website VnDoc.com KHÔNG quảng cáo, và tải file cực nhanh không chờ đợi.
Tìm hiểu thêm » Mua ngay Từ 79.000đ Hỗ trợ ZaloĐề thi học sinh giỏi môn Toán lớp 6
Đề thi học sinh giỏi môn Toán lớp 6 năm học 2019 - 2020 có đáp án chi tiết tham khảo dành cho các bạn học sinh và thầy cô nghiên cứu, học tập tốt môn Toán lớp 6 cũng như luyện tập và làm quen với nhiều đề học sinh giỏi hơn nhằm chuẩn bị tốt nhất cho các kì thi học sinh giỏi bậc THCS sắp diễn ra. Mời các bạn tham khảo.
Đề thi học sinh giỏi môn Toán lớp 6 bao gồm 5 câu hỏi tự luận có đáp án chi tiết cho từng câu hỏi giúp các em học sinh nắm được các kiến thức môn Toán, chuẩn bị cho các kì thi học sinh giỏi trong năm học đạt hiệu quả cao.
Đề thi học sinh giỏi môn Toán lớp 6
Câu 1. (4,0 điểm)
a) Thực hiện phép tính

b) Chứng minh rằng tổng của 5 số tự nhiên chẵn liên tiếp thì chia hết cho 10, còn tổng của 5 số tự nhiên lẻ liên tiếp chia cho 10 dư 5.
Câu 2. (4,0 điểm)
a) Tổng của hai số nguyên tố có thể bằng 2015 hay không? Vì sao?
b) Tìm tất cả các số nguyên tố p sao cho p + 11 cũng là số nguyên tố.
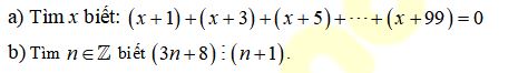
Câu 3. (4,0 điểm)

Câu 4. (4,0 điểm)

Câu 5. (4,0 điểm)
Cho đoạn thẳng AB; điểm O thuộc tia đối của tia AB. Gọi M, N thứ tự là trung điểm của OA,OB.
a) Chứng tỏ rằng OB<OB
b) Trong ba điểm O, M, N điểm nào nằm giữa hai điểm còn lại?
c) Chứng tỏ rằng độ dài đoạn thẳng MN không phụ thuộc vào vị trí của điểm O (O thuộc tia đối của tia AB).
Tham khảo đầy đủ đáp án tại file tải về.
Đề thi học sinh giỏi môn Toán lớp 6 các năm
- Đề thi học sinh giỏi môn Toán lớp 6 năm học 2018 - 2019
- Đề thi học sinh giỏi môn Toán lớp 6 phòng GD&ĐT Giao Thủy năm 2018 - 2019
- Tuyển tập đề thi học sinh giỏi môn Toán lớp 6 (có đáp án)
- Đề thi giao lưu học sinh giỏi cấp huyện lớp 6 môn Toán Phòng GD&ĐT Tam Dương năm học 2017 - 2018
- Đề thi chọn học sinh giỏi lớp 6 môn tiếng Anh Phòng GD&DT Tiền Hải, Thái Bình năm học 2017-2018 có đáp án
- Đề thi học sinh giỏi môn Toán lớp 6 trường THCS Lương Thế Vinh năm 2017 - 2018
Từ khóa » đề Thi Học Sinh Giỏi Toán 6 Cấp Huyện 2020
-
Đề Thi Học Sinh Giỏi Toán 6 Cấp Huyện 2020 - 2021 (có đáp án ...
-
Đề Thi HSG Toán 6 - Toán THCS
-
Đề HSG Huyện Toán 6 Năm 2020 - 2021 Phòng GD&ĐT Thạch Thành
-
Đề Thi HSG Toán 6 Cấp Trường, Quận Huyện, Tỉnh Thành Phố
-
20 Đề Thi HSG Toán 6 Cấp Huyện Có Đáp Án Rất Hay
-
100 Đề Thi HSG Toán 6 Có đáp án Mới Nhất - DeThiHsg247.Com
-
Đề Thi HSG Toán 6
-
Đề Thi HSG Toán 6 Cấp Huyện - Rất Hay - Tài Liệu - 123doc
-
Đề Thi Học Sinh Giỏi Toán 6 Cấp Huyện - Đề Thi HSG
-
Top 15 đề Thi Hsg Lớp 6 Môn Toán Huyện
-
Top 13 Đề Thi Học Sinh Giỏi Toán 6
-
ĐỀ THI HỌC SINH GIỎI TOÁN CẤP HUYỆN LỚP 6 - Tài Liệu - 123doc
-
Đề Thi Học Sinh Giỏi Môn Toán Lớp 6 Cấp Huyện Năm 2020-2021
-
Tuyển Chọn 100 Đề Thi Học Sinh Giỏi Toán Lớp 6 Có Đáp Án
-
Đề Thi HSG Toán Lớp 6.pdf (.docx) | Tải Miễn Phí
-
Tuyển Tập đề Thi Học Sinh Giỏi Môn Toán Lớp 6 (có đáp án) - Thư Viện
-
Đề Thi Học Sinh Giỏi Toán 6 Năm 2022-2022 Cấp Huyện Có đáp án