Đề Thi Thử THPT Quốc Gia Năm 2022 Môn Toán Lần 2 Sở GD&ĐT ...

      • Mầm non

      • Lớp 1

      • Lớp 2

      • Lớp 3

      • Lớp 4

      • Lớp 5

      • Lớp 6

      • Lớp 7

      • Lớp 8

      • Lớp 9

      • Lớp 10

      • Lớp 11

      • Lớp 12

      • Thi vào lớp 6

      • Thi vào lớp 10

      • Thi Tốt Nghiệp THPT

      • Đánh Giá Năng Lực

      • Khóa Học Trực Tuyến

      • Hỏi bài

      • Trắc nghiệm Online

      • Tiếng Anh

      • Thư viện Học liệu

      • Bài tập Cuối tuần

      • Bài tập Hàng ngày

      • Thư viện Đề thi

      • Giáo án - Bài giảng

      • Tất cả danh mục

    • Mầm non
    • Lớp 1
    • Lớp 2
    • Lớp 3
    • Lớp 4
    • Lớp 5
    • Lớp 6
    • Lớp 7
    • Lớp 8
    • Lớp 9
    • Lớp 10
    • Lớp 11
    • Lớp 12
    • Thi Chuyển Cấp
Gói Thành viên của bạn sắp hết hạn. Vui lòng gia hạn ngay để việc sử dụng không bị gián đoạn Giao diện mới của VnDoc Pro: Dễ sử dụng hơn - chỉ tập trung vào lớp bạn quan tâm. Vui lòng chọn lớp mà bạn quan tâm: Chọn lớp Lớp 1 Lớp 2 Lớp 3 Lớp 4 Lớp 5 Lớp 6 Lớp 7 Lớp 8 Lớp 9 Lớp 10 Lớp 11 Lớp 12 Lưu và trải nghiệm Đóng Điểm danh hàng ngày
  • Hôm nay +3
  • Ngày 2 +3
  • Ngày 3 +3
  • Ngày 4 +3
  • Ngày 5 +3
  • Ngày 6 +3
  • Ngày 7 +5
Bạn đã điểm danh Hôm nay và nhận 3 điểm! Đăng nhập ngay để nhận điểm Nhắn tin Zalo VNDOC để nhận tư vấn mua gói Thành viên hoặc tải tài liệu Hotline hỗ trợ: 0936 120 169 VnDoc.com Thi Tốt Nghiệp THPT Thi THPT Quốc gia môn Toán Đề thi thử THPT Quốc gia năm 2022 môn Toán lần 2 Sở GD&ĐT Bắc Giang Đề thi thử tốt nghiệp THPT 2022 môn Toán Tải về Loại File: PDF Phân loại: Tài liệu Tính phí

Nâng cấp gói Pro để trải nghiệm website VnDoc.com KHÔNG quảng cáo, và tải file cực nhanh không chờ đợi.

Tìm hiểu thêm » Mua ngay Từ 79.000đ Hỗ trợ Zalo

Đề thi thử tốt nghiệp THPT Quốc gia năm 2022 môn Toán lần 2 Sở GD&ĐT Bắc Giang

VnDoc.com xin gửi tới bạn đọc bài viết Đề thi thử THPT Quốc gia năm 2022 môn Toán lần 2 Sở GD&ĐT Bắc Giang để bạn đọc cùng tham khảo. Mong rằng qua bài viết này bạn đọc có thêm nhiều tài liệu để ôn tập thật tốt cho kì thi tốt nghiệp THPT Quốc gia 2022 sắp tới nhé. Mời các bạn cùng tham khảo chi tiết và tải về bài viết dưới đây.

  • Đề thi thử THPT Quốc gia 2022 môn Toán Sở GD&ĐT Cần Thơ
  • Đề thi thử THPT Quốc gia năm 2022 môn Toán lần 2 trường THPT Thị xã Quảng Trị

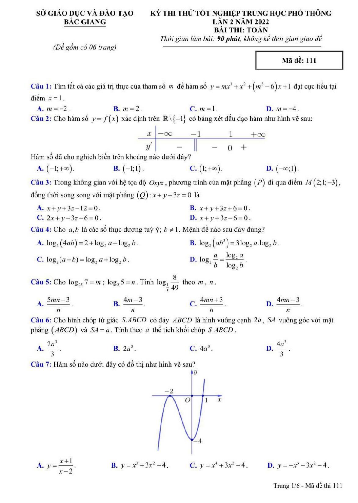
Đề thi thử THPT Quốc gia năm 2022 môn Toán lần 2 Sở GD&ĐT Bắc Giang được biên soạn theo cấu trúc đề thi trắc nghiệm. Đề thi được tổng hợp gồm có 50 câu hỏi trắc nghiệm, thí sinh làm bài trong thời gian 90 phút. Nội dung kiến thức đề thi nằm trong chương trình học lớp 12.

Trên đây VnDoc.com vừa gửi tới bạn đọc bài viết Đề thi thử THPT Quốc gia năm 2022 môn Toán lần 2 Sở GD&ĐT Bắc Giang. Hi vọng qua bài viết này bạn đọc có thêm nhiều tài liệu để học tập tốt hơn môn Toán lớp 12. Mời các bạn cùng tham khảo thêm tài liệu học tập các môn Ngữ văn lớp 12, Tiếng Anh lớp 12...

Tải về Chọn file muốn tải về:

Đề thi thử THPT Quốc gia năm 2022 môn Toán lần 2 Sở GD&ĐT Bắc Giang

802,4 KB Đóng Chỉ thành viên VnDoc PRO/PROPLUS tải được nội dung này! Đóng 79.000 / tháng Mua ngay Đặc quyền các gói Thành viên PRO Phổ biến nhất PRO+ Tải tài liệu Cao cấp 1 Lớp 30 lượt tải tài liệu Xem nội dung bài viết Trải nghiệm Không quảng cáo Làm bài trắc nghiệm không giới hạn Tìm hiểu thêm Mua cả năm Tiết kiệm tới 48%
  • Chia sẻ bởi: Nguyễn Linh An
1 434 Bài viết đã được lưu Bài trước Mục lục Bài sau Xác thực tài khoản!

Theo Nghị định 147/2024/ND-CP, bạn cần xác thực tài khoản trước khi sử dụng tính năng này. Chúng tôi sẽ gửi mã xác thực qua SMS hoặc Zalo tới số điện thoại mà bạn nhập dưới đây:

Số điện thoại chưa đúng định dạng! Xác thực ngay Số điện thoại này đã được xác thực! Bạn có thể dùng Sđt này đăng nhập tại đây! Lỗi gửi SMS, liên hệ Admin Sắp xếp theo Mặc định Mới nhất Cũ nhất Xóa Đăng nhập để Gửi

Tham khảo thêm

  • Đáp án Toán THPT quốc gia 2021

  • Cách tìm hình chiếu của điểm lên đường thẳng và mặt phẳng

  • Đề thi thử THPT Quốc gia 2022 môn Toán lần 2 trường THPT Chuyên Vĩnh Phúc

  • Ôn thi Đại học môn Toán - Chuyên đề: Tích phân

  • Tự ôn luyện thi môn Toán

  • Đề thi thử THPT Quốc gia 2022 môn Toán lần 2 Sở GD&ĐT Bình Phước

  • 260 bài toán phương trình và hệ phương trình trong ôn thi đại học

  • Đề thi thử đánh giá năng lực ĐHQGHN 2016: Tư duy định lượng (môn Toán)

  • Đáp án tất cả các môn thi THPT Quốc Gia 2021 đợt 2

  • Đề thi thử THPT Quốc gia 2022 môn Toán Sở GD&ĐT Hậu Giang

  • Thi Tốt Nghiệp THPT Thi Tốt Nghiệp THPT

  • Thi THPT Quốc gia môn Toán Thi THPT Quốc gia môn Toán

🖼️

Thi THPT Quốc gia môn Toán

  • Tự ôn luyện thi môn Toán

  • Đáp án Toán THPT quốc gia 2021

  • Đề thi thử đánh giá năng lực ĐHQGHN 2016: Tư duy định lượng (môn Toán)

  • 260 bài toán phương trình và hệ phương trình trong ôn thi đại học

  • Đáp án tất cả các môn thi THPT Quốc Gia 2021 đợt 2

  • Ôn thi Đại học môn Toán - Chuyên đề: Tích phân

Xem thêm 🖼️

Gợi ý cho bạn

  • Đáp án Đề thi THPT quốc gia môn Toán năm 2019 chính thức từ Bộ GD&ĐT

  • Ôn thi Đại học môn Toán - Chuyên đề: Số phức

  • Tổng hợp từ vựng tiếng Anh lớp 9 chương trình mới

  • Đáp án chính thức của Bộ 2021

  • Bài tập tiếng Anh 7 i-Learn Smart World Unit 1

  • Ôn thi Đại học môn Toán - Chuyên đề: Tổ hợp và xác suất

  • Bộ đề kiểm tra cuối tuần Tiếng Việt lớp 4 Kết nối tri thức Tuần 20

  • Đề thi thử ĐHQGHN 2015 phần 1 Tư duy định lượng (môn Toán)

  • Phương pháp giải hệ phương trình thường gặp trong đề thi đại học

  • Bài tập cuối tuần Tiếng Việt lớp 4 Kết nối tri thức Tuần 20 Nâng cao

Xem thêm

Từ khóa » đáp án đề Thi Thử Toán Bắc Giang Lần 2