Đề Thi Thử Toán THPT QG 2019 Trường THPT Ngô Sĩ Liên

Vừa qua, trường THPT Ngô Sĩ Liên, tỉnh Bắc Giang tiếp tục tổ chức kỳ thi thử THPT Quốc gia môn Toán năm học 2018 – 2019 lần thứ 4, kỳ thi nhằm giúp học sinh khối 12 của nhà trường được thử sức và rèn luyện thường xuyên, để củng cố và nâng cao kiến thức môn Toán THPT, nhằm có một sự chuẩn bị tốt nhất trước khi kỳ thi chính thức THPT Quốc gia môn Toán năm 2019 được diễn ra.

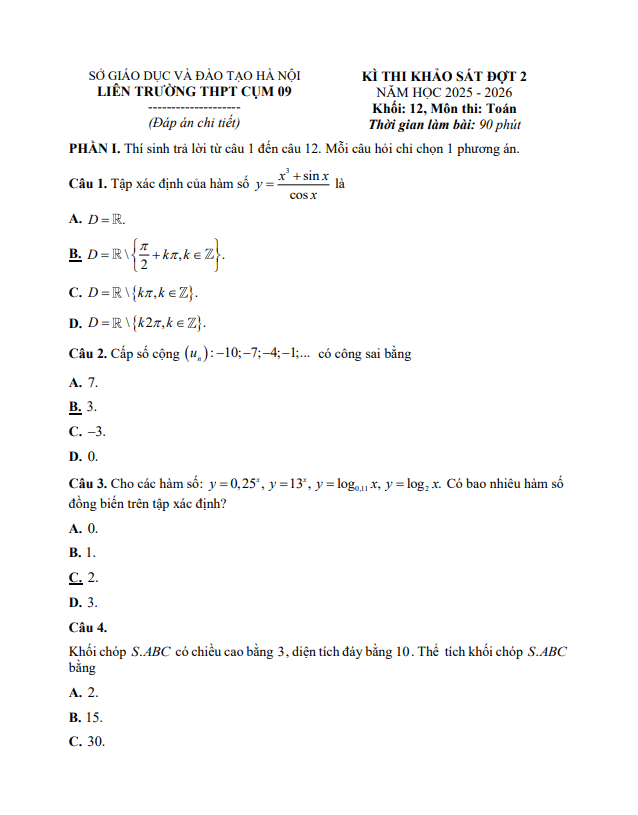
Đề thi thử Toán THPT QG 2019 trường THPT Ngô Sĩ Liên – Bắc Giang lần 4 có mã đề 109, đề được biên soạn dựa trên cấu trúc đề tham khảo THPT Quốc gia môn Toán năm 2018 – 2019 do Bộ GD&ĐT đề xuất, đề gồm 6 trang với 50 câu hỏi và bài toán hình thức trắc nghiệm khách quan, thời gian làm bài 90 phút, đề thi có đáp án.

Trích dẫn đề thi thử Toán THPT QG 2019 trường THPT Ngô Sĩ Liên – Bắc Giang lần 4: + Cho hai mặt phẳng (P) và (Q) song song với nhau cắt khối cầu tâm O bán kính R tạo thành hai hình tròn (C1) và (C2) cùng bán kính. Xét hình nón có đỉnh trùng với tâm của một trong hai hình tròn, đáy trùng với hình tròn còn lại. Biết diện tích xung quanh của hình nón là lớn nhất, khi đó thể tích khối trụ có hai đáy là hai hình tròn (C1) và (C2) bằng? [ads] + Người ta dự định trồng hoa Lan Ý để trang trí vào phần tô đậm (như hình vẽ). Biết rằng phần tô đậm là diện tích hình phẳng giới hạn bởi hai đồ thị y = f(x) = ax^3 + bx^2 + cx – 1/2 và y = g(x) = dx^2 + ex + 1 trong đó a, b, c, d, e thuộc R. Biết rằng hai đồ thị đó cắt nhau tại các điểm có hoành độ lần lượt bằng -3; -1; 2, chi phí trồng hoa là 800.000 đồng/1m2 và đơn vị trên các trục được tính là 1 mét. Số tiền trồng hoa gần nhất với số nào sau đây? (làm tròn đến đơn vị nghìn đồng). + Đầu mỗi tháng anh Sơn gửi vào ngân hàng 5.000.000 đồng theo hình thức lãi lép với lãi suất là 0,7% một tháng. Biết rằng ngân hàng chỉ tất toán vào cuối tháng và lãi suất ngân hàng không thay đổi trong thời gian anh Sơn gửi tiền. Hỏi sau ít nhất bao nhiêu tháng kể từ khi bắt đầu anh Sơn gửi tiền cả lãi và gốc không ít hơn 63.000.000 đồng?

Tải tài liệu
  • Đề Thi Thử THPT Môn Toán
  • Đề Thi Thử THPT Môn Toán 2019
Ghi chú: Quý thầy, cô giáo và bạn đọc có thể chia sẻ tài liệu trên TOANMATH.com bằng cách gửi về: Facebook: TOÁN MATH Email: [email protected]

TÀI LIỆU LIÊN QUAN

Đề Thi Thử THPT Môn Toán

Đề khảo sát Toán 12 năm 2025 – 2026 trường THPT Trần Nhân Tông – Hà Nội

11/02/2026 Đề Thi Thử THPT Môn Toán | Khảo Sát Chất Lượng Toán 12
Đề Thi Thử THPT Môn Toán

Đề khảo sát Toán 12 lần 1 năm 2025 – 2026 trường THPT Nguyễn Trãi – Hà Nội

11/02/2026 Đề Thi Thử THPT Môn Toán | Khảo Sát Chất Lượng Toán 12
Đề Thi Thử THPT Môn Toán

Đề kiểm tra Toán 12 tháng 2 năm 2026 trường Lê Thánh Tông – TP HCM

10/02/2026 Đề Thi Thử THPT Môn Toán | Khảo Sát Chất Lượng Toán 12
Đề Thi Thử THPT Môn Toán

Đề thi thử TN THPT 2026 môn Toán trường THPT Nguyễn Trung Thiên – Hà Tĩnh

10/02/2026 Đề Thi Thử THPT Môn Toán
Đề Thi Thử THPT Môn Toán

Đề thi thử TN THPT 2026 môn Toán lần 1 trường chuyên ĐH Vinh – Nghệ An

09/02/2026 Đề Thi Thử THPT Môn Toán
Đề Thi Thử THPT Môn Toán

Đề khảo sát chất lượng Toán 12 năm 2025 – 2026 cụm 5 – Ninh Bình

08/02/2026 Đề Thi Thử THPT Môn Toán | Khảo Sát Chất Lượng Toán 12
Đề Thi Thử THPT Môn Toán

Đề thi thử tốt nghiệp THPT 2026 môn Toán liên trường THPT – Nghệ An

07/02/2026 Đề Thi Thử THPT Môn Toán
Đề Thi Thử THPT Môn Toán

Đề kiểm tra lần 1 Toán 12 năm 2025 – 2026 trường THPT Mai Anh Tuấn – Thanh Hóa

06/02/2026 Đề Thi Thử THPT Môn Toán | Khảo Sát Chất Lượng Toán 12
Đề Thi Thử THPT Môn Toán

20 đề thi thử tốt nghiệp THPT Quốc gia năm 2026 môn Toán – Hoàng Xuân Nhàn

06/02/2026 Đề Thi Thử THPT Môn Toán
Đề Thi Thử THPT Môn Toán

Bộ đề ôn thi THPT Quốc gia năm 2026 môn Toán – Phan Nhật Linh

06/02/2026 Đề Thi Thử THPT Môn Toán

TÌM KIẾM THEO TỪ KHÓA

Tìm kiếm cho:

TÀI LIỆU MỚI NHẤT

  • Đề cương giữa kì 2 Toán 11 năm 2025 – 2026 trường THPT Trần Nhân Tông – Hà Nội 14/02/2026
  • Bộ đề ôn tập theo chương môn Toán 11 học kì 2 – Ngô Đức Tài 14/02/2026
  • Đề cương giữa học kì 2 Toán 10 năm 2025 – 2026 trường THPT Việt Đức – Hà Nội 12/02/2026
  • Đề cương giữa học kì 2 Toán 11 năm 2025 – 2026 trường THPT Việt Đức – Hà Nội 12/02/2026
  • Đề cương giữa học kì 2 Toán 12 năm 2025 – 2026 trường THPT Việt Đức – Hà Nội 12/02/2026
  • Đề khảo sát lần 2 Toán 11 năm 2025 – 2026 trường THPT Nguyễn Đăng Đạo – Bắc Ninh 12/02/2026

Copyright © 2026 | TOANMATH.com

Từ khóa » Chuyên Bắc Giang Lần 4 2019