Đề Thi Toán Lớp 7 Học Kì 2 Năm 2022 Có đáp án
Có thể bạn quan tâm
-
-
-
Mầm non
-
Lớp 1
-
Lớp 2
-
Lớp 3
-
Lớp 4
-
Lớp 5
-
Lớp 6
-
Lớp 7
-
Lớp 8
-
Lớp 9
-
Lớp 10
-
Lớp 11
-
Lớp 12
-
Thi vào lớp 6
-
Thi vào lớp 10
-
Thi Tốt Nghiệp THPT
-
Đánh Giá Năng Lực
-
Khóa Học Trực Tuyến
-
Hỏi bài
-
Trắc nghiệm Online
-
Tiếng Anh
-
Thư viện Học liệu
-
Bài tập Cuối tuần
-
Bài tập Hàng ngày
-
Thư viện Đề thi
-
Giáo án - Bài giảng
-
Tất cả danh mục
-
- Mầm non
- Lớp 1
- Lớp 2
- Lớp 3
- Lớp 4
- Lớp 5
- Lớp 6
- Lớp 7
- Lớp 8
- Lớp 9
- Lớp 10
- Lớp 11
- Lớp 12
- Thi Chuyển Cấp
-
- Hôm nay +3
- Ngày 2 +3
- Ngày 3 +3
- Ngày 4 +3
- Ngày 5 +3
- Ngày 6 +3
- Ngày 7 +5
Nâng cấp gói Pro để trải nghiệm website VnDoc.com KHÔNG quảng cáo, và tải file cực nhanh không chờ đợi.
Tìm hiểu thêm » Mua ngay Từ 79.000đ Hỗ trợ ZaloDo tình hình dịch Covid-19 diễn biến phức tạp, nhiều trường THCS trên cả nước đã phải hoãn lại lịch thi học kì 2 năm học 2020 - 2021. Để không bị xao nhãng kiến thức trong thời gian nghỉ dịch, các em học sinh vẫn cần phải luyện tập thường xuyên để có thể sẵn sàng kiến thức khi đi học trở lại. Để ôn tập cho kì thi học kì 2 sắp tới, mời các em vào chuyên mục Bộ đề thi học kì 2 lớp 7 trên VnDoc với đầy đủ đề thi của các môn học. Đây là nguồn tài liệu hay cho thầy cô tham khảo ra đề và các em học sinh tham khảo, chuẩn tốt cho các kì thi quan trọng sắp diễn ra.
Đề thi cuối học kì 2 môn Toán lớp 7 có đáp án
- Đề thi Toán lớp 7 học kì 2 năm 2021 có đáp án
- MA TRẬN ĐỀ KIỂM TRA TOÁN 7 HỌC KÌ 2 NĂM 2021
- ĐỀ THI HK II TOÁN 7 NĂM 2021
- ĐÁP ÁN ĐỀ THI HỌC KÌ 2 TOÁN 7 NĂM 2021
- Đề thi Toán lớp 7 học kì 2 năm 2020 có đáp án
- MA TRẬN ĐỀ KIỂM TRA HỌC KỲ II
- ĐỀ KIỂM TRA TOÁN 7 HỌC KÌ 2 NĂM 2020
- ĐÁP ÁN ĐỀ THI TOÁN 7 HỌC KÌ 2 NĂM 2020
Trong tài liệu này, VnDoc gửi tới các bạn Đề thi Toán lớp 7 học kì 2 năm 2021 có đáp án. Đề thi Toán 7 học kì 2 được biên soạn bám sát chương trình học trong SGK môn Toán lớp 7, bao gồm cả trắc nghiệm và tự luận, hệ thống kiến thức được học trong học kì 2 Toán 7. Đây không chỉ là tài liệu ôn tập hữu ích dành cho học sinh lớp 7, mà các thầy cô giáo cũng có thể tham khảo để xây dựng đề cương, cũng như lên kế hoạch ôn thi và ra đề thi cho các em học sinh. Mời các bạn tham khảo chi tiết sau đây.
Đề thi Toán lớp 7 học kì 2 năm 2021 có đáp án
MA TRẬN ĐỀ KIỂM TRA TOÁN 7 HỌC KÌ 2 NĂM 2021
| Mức độ
Chủ đề | Nhận biết | Thông hiểu | Vận dụng | Tổng cộng | |||||
| Mức độ thấp | Mức độ cao | ||||||||
| TN | TL | TN | TL | TL | TL | ||||
| 1. Thống kê | - Nhận biết dấu hiệu điều tra. - Biết mốt của dấu hiệu | - Hiểu và lập bảng tần số, tính số trung bình cộng. |
|
|
| ||||
| Số câu Số điểm Tỉ lệ |
| 2/3(C1/a,c) 0,75 7,5% |
| 1/3(C1/b) 1,25 12,5% |
|
| 1 2,0 20% | ||
| 2. Biểu thức đại số | - Nhận biết đơn thức đồng dạng, thu gọn, xác định bậc đơn thức. | - Sắp xếp được đa thức một biến theo yêu cầu. | - Cộng, trừ hai đa thức một biến, kiểm tra một số có là nghiệm của đa thức. |
|
| ||||
| Số câu Số điểm Tỉ lệ | 3(C1; C2;C3) 1,5 15% |
|
| 1/3(C2/a) 0,5 5% | 2/3(C2/b,c) 1,5 15% |
| 4 3,5 35% | ||
| 3. Định lí Pytago. Các đường đồng quy của tam giác | - Nhận dạng được bộ ba số là độ dài ba cạnh của một tam giác. | - Hiểu định lý Py-ta-go, tính chất trọng tâm của tam giác. | - Vận dụng trường hợp bằng nhau của hai tam giác để chứng minh.Vẽ hình viết GT, KL | - Vận dụng bất đẳng thức, các trường hợp bằng nhau của tam giác để chứng minh. |
| ||||
| Số câu Số điểm Tỉ lệ | 1(C5) 0,5 5% |
| 2(C4;C6) 1,0 10% |
| 2/3(C3/a,b) 2,0 20% | 1/3(C3/c) 1,0 10% | 4 4,5 45% | ||
| T.số câu T.số điểm Tỉ lệ | 14/3 2,75 27,5% | 8/3 2,75 27,5% | 5/3 4,5 45% | 9 10 100% | |||||
ĐỀ THI HK II TOÁN 7 NĂM 2021
I. TRẮC NGHIỆM (3,0 điểm)
Câu 1. Tích của hai đơn thức 3x2yz và (-2xy2z) bằng:
A. 6x3y2z2;
B. -6x3y3z2;
C. -4x3y3z;
C. -4x2y2z.
Câu 2. Đơn thức đồng dạng với đơn thức – 3x2y3 là:
A. -3x3y2;
B. (xy)5;
C.2x2y3;
D. -2x2y2.
Câu 3. Bậc của đa thức: x4 + x3 + 2x2 - 8 - 5x5 là:
A. 4;
B. 3;
C. 5;
D. 0.
Câu 4. Cho DABC vuông tại C. Chọn cách viết hệ thức Pytago đúng:
AB2 = AC2 + BC2;
B. BC2 = AB2 + AC2;
C. AC2 = AB2 +BC2;
D. Cả 3 câu trên đều đúng.
Câu 5. Trong các bộ ba số sau, bộ ba số nào có thể dựng được tam giác:
A. 3cm; 4cm; 7cm;
B. 3cm; 4cm; 5cm;
C. 3cm; 4cm; 8cm;
D. 3cm; 5cm; 8cm.
Câu 6. Tam giác MNP có MI là đường trung tuyến, G là trọng tâm. Khẳng định nào là sai:
A. GI =
\(\frac{1}{3}\)MI;
B. MG = 2GI;
C. MG =
\(\frac{2}{3}\)MI;
D. GI =
\(\frac{1}{3}\) MG
II. TỰ LUẬN (7,0 điểm)
Câu 1: (2,0 điểm)
Điểm bài kiểm tra môn Toán của học sinh lớp 7A được ghi trong bảng sau:
| 5 | 7 | 8 | 6 | 5 | 7 | 10 | 8 | 6 | 7 |
| 7 | 4 | 9 | 9 | 7 | 8 | 7 | 9 | 5 | 8 |
| 9 | 7 | 6 | 8 | 7 | 6 | 8 | 8 | 7 | 8 |
| 6 | 8 | 5 | 10 | 8 | 9 | 8 | 7 | 8 | 9 |
Dấu hiệu ở đây là gì ? Số các giá trị của dấu hiệu là bao nhiêu?
Lập bảng “tần số” và tìm mốt của dấu hiệu.
Tính số trung bình cộng.
Câu 2: (2,0 điểm)
Cho hai đa thức: A(x) = –2x3 + 3x + 4x2 + 5x5 +6 –4x4
B(x) = 2x4 – x + 3x2 – 2x3 + 4 – x5.
a) Sắp xếp các hạng tử của mỗi đa thức theo lũy thừa giảm của biến?
b) Tính: A(x) + B(x); A(x) – B(x)?
c) Chứng tỏ rằng x = - 1 là nghiệm của A(x), nhưng không là nghiệm của B(x)?
Câu 3: (3,0 điểm)
Cho Δ ABC vuông tại A. Đường phân giác BD (D ∈ AC). Kẻ DH vuông góc với BC (H ∈ BC). Gọi K là giao điểm của BA và HD. Chứng minh:
a) AD = HD
b) BD ⊥ KC
c) 2( AD+AK ) > KC.
ĐÁP ÁN ĐỀ THI HỌC KÌ 2 TOÁN 7 NĂM 2021
| Câu | Ý | Nội dung | Điểm | ||||||||||||||||||
| I. TRẮC NGHIỆM (3,0 điểm) | |||||||||||||||||||||
| 1 |
| B | 0,5 | ||||||||||||||||||
| 2 |
| C | 0,5 | ||||||||||||||||||
| 3 |
| C | 0,5 | ||||||||||||||||||
| 4 |
| A | 0,5 | ||||||||||||||||||
| 5 |
| B | 0,5 | ||||||||||||||||||
| 6 |
| D | 0,5 | ||||||||||||||||||
| II. TỰ LUẬN (7,0 điểm) | |||||||||||||||||||||
|
1 2,0 điểm
| a | Dấu hiệu ở đây là điểm kiểm tra môn Toán của mỗi học sinh lớp 7A Số các giá trị của dấu hiệu là: N = 40 | 0,25 0,25 | ||||||||||||||||||
| b | Bảng tần số:
Mốt của dấu hiệu là: M0 = 8. |
0,5
0,25 | |||||||||||||||||||
| c | Số trung bình cộng:
| 0,75 | |||||||||||||||||||
| 2 2,0 điểm
| a | Sắp xếp: A(x) = 5x5 – 4x4 –2x3 + 4x2 + 3x + 6. B(x) = - x5 + 2x4 – 2x3 + 3x2 – x + 4. | 0,25 0,25 | ||||||||||||||||||
| b | A(x) + B(x) = 4x5 – 2x4 – 4x3 + 7x2 + 2x + 10. A(x) – B(x) = 6x5 – 6x4 + x2 + 4x + 2. | 0,5 0,5 | |||||||||||||||||||
|
c | Ta có: A(-1) = 5.(-1)5 – 4.(-1)4 –2.(-1)3 + 4.(-1)2 + 3.(-1) + 6 = 0 Suy ra x = -1 là nghiệm của A(x). Ta có: B(-1) = -(-1)5 + 2.(-1)4 – 2.(-1)3 +3.(-1)2 – (-1)+ 4= 130 Suy ra x = -1 không phải là nghiệm của B(x).
|
0,25
0,25 | |||||||||||||||||||
|
3 3,0 điểm |
a |
Vẽ hình và ghi GT-KL đúng
|
0,5 | ||||||||||||||||||
| Chứng minh: Xét rABD và rHBD có: (theo gt); BD là cạnh chung; (theo gt) ΔABD= ΔHBD (cạnh huyền - góc nhọn) =>AD=HD (2 cạnh tương ứng) |
0,25 0,25 0,25 | ||||||||||||||||||||
|
b | Xét ΔBKC: chỉ ra được D là trực tâm của rBKC => BD là đường cao ứng với cạnh KC. => BD vuông góc KC | 0,25 0,25 0,25 | |||||||||||||||||||
|
c | ΔAKD = ΔHCD ( g.c.g) =>AK = HC (2 cạnh tương ứng) (1) AD = HD (chứng minh câu a) (2) Và: AD+AK > KD; DH+HC > DC (BĐT tam giác) (3) Từ (1),(2),(3) =>2(AD+AK) > KD + CD => 2(AD+AK) > KC (do KD+DC >KC) |
0,25 0,25 0,25
0,25 | |||||||||||||||||||
Đề thi Toán lớp 7 học kì 2 năm 2020 có đáp án
MA TRẬN ĐỀ KIỂM TRA HỌC KỲ II
| Cấp độ Câu | Nhận biết | Thông hiểu | Vận dụng | |
| Cấp độ thấp | Cấp độ cao | |||
| Câu Điểm | Câu: 1 Điểm: 2 | Câu: 2c Điểm: 0,5 | Câu: 2a Điểm: 0,5 | Câu: 6 Điểm: 0,5 |
| Câu Điểm | Câu: 3a Điểm: 1 | Câu: 2d Điểm: 0,5 | Câu: 3b Điểm: 1 |
|
| Câu Điểm |
| Câu: 4 Điểm: 2 | Câu: 5 Điểm: 2 |
|
| Tổng số câu Tổng số điểm | Số câu: 2 Số điểm: 3 | Số câu: 3 Số điểm: 3 | Số câu: 3 Số điểm: 3,5 | Số câu: 1 Số điểm: 0,5 |
ĐỀ KIỂM TRA TOÁN 7 HỌC KÌ 2 NĂM 2020
| Họ và tên: ……………………… Lớp 7 …… | KIỂM TRA HỌC KỲ II Môn toán 7 - Thời gian làm bài: 90 phút Năm học: 2019 - 2020 |
Câu 1 (2đ’): Nêu nội dung định lí Py-ta-go thuận và đảo.
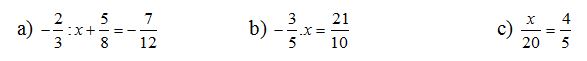
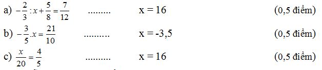
Câu 2 (1,5đ’) Tìm x biết:

Câu 3 (2đ’): Điểm kiểm tra học kì II của học sinh lớp 7A được ghi ở bảng sau
| 8 | 7 | 5 | 6 | 6 | 4 | 5 | 2 | 6 | 3 |
| 7 | 2 | 3 | 7 | 6 | 5 | 5 | 6 | 7 | 8 |
| 6 | 5 | 8 | 10 | 7 | 6 | 9 | 2 | 10 | 9 |
a. Lập bảng tần số
b. Tính điểm trung bình các bài kiểm tra của lớp 7A
Câu 4(2đ’): Cho tam giác ABC vuông tại A có AB = 6cm ; AC = 8cm
a. Tính độ dài cạnh BC
b. Trên tia đối của AB lấy điểm D sao cho AD = AB . Chứng minh
Câu 5 (2đ’): Cho các đa thức P = 3x2 – y2 - 4x + 3y + 1 và Q = – x2 + 3y2 - 5x +y + 6
a/ Tính P + Q
b/ Tính P – Q
Câu 6 (0,5đ’) Chứng minh rằng đa thức f(x) = x2 + 2020 không có nghiệm với bất kì giá trị nào của x.
ĐÁP ÁN ĐỀ THI TOÁN 7 HỌC KÌ 2 NĂM 2020
Câu 1 (2đ’) Phát biểu đúng định lí py-ta-go thuận và đảo mỗi định lí cho 1 điểm
Câu 2 (1,5đ’) Tìm được đúng x của mỗi câu cho 0,5 điểm

Câu 3 (2đ’) Mỗi câu đúng cho 1 điểm
a . Lập bảng tần số đúng cho (1 điểm)

b, Điểm trung bình của các bài kiểm tra là:
= (2.3 + 3.2 + 4.1 + 5.5 + 6.7 + 7.5 + 8.3 + 9.2 + 10.2) = 6 (1 điểm)
Câu 4: (2đ’) Hướng dẫn
a, Áp dụng định lý Py-ta-go tính được BC= 10cm (1 điểm)
b, Chứng minh hai tam giác vuông (2 cạnh góc vuông) (1 điểm)
Câu 5 (2đ’): Mỗi câu đúng cho 1 điểm
Cho các đa thức
P = 3x2 – y2 - 4x + 3y + 1 và
Q = – x2 + 3y2 - 5x +y + 6
a/ Tính P + Q = ........... = 2x2 + 2y2 - 9x + 4y + 7 (1 điểm)
b/ Tính P – Q = ........... = 4x2 - 4y2 + x + 2y – 5 (1 điểm)
Câu 6 (0,5đ’): Ta có x2 ≥ 0 với bất kì giá trị nào của x
Vì thế nên x2 + 2020 ≥ 2020 > 0 với bất kì giá trị nào của x (0,25 điểm)
Tức là f(x) > 0 với bất kì giá trị nào của x.
Vậy đa thức f(x) = x2 + 2020 không có nghiệm với bất kì giá trị nào của x. (0,25 điểm)
.............................
Trên đây, VnDoc đã giới thiệu tới các bạn Đề thi Toán lớp 7 học kì 2 năm 2021 có đáp án. Ngoài ra, các bạn có thể tham khảo thêm các tài liệu lớp 7 khác như: Giải bài tập Toán lớp 7, Giải Vở BT Toán 7 và các dạng Đề thi học kì 2 lớp 7 ... được cập nhật liên tục trên VnDoc.com để học tốt Toán 7 hơn.
Thông qua việc thực hành giải đề thi học kì 2 Toán 7 trên VnDoc, các em học sinh sẽ được làm quen với cấu trúc đề thi, nắm được các dạng câu hỏi, các dạng bài tập thường có trong bài thi, từ đó có thể vận dụng để giải bài thi chính thức một cách nhanh chóng và chính xác nhất. Bên cạnh việc luyện giải đề thì các em học sinh cũng không nên bỏ qua Đề cương ôn tập học kì 2 môn Toán lớp 7 năm học 2020 - 2021 để có kế hoạch ôn tập phù hợp, theo đúng trọng tâm kiến thức được học trong học kì 2 Toán 7. Chúc các em đạt điểm cao trong kỳ thi sắp tới.
Tham khảo thêm:
- Đề thi học kì 2 Toán 7 năm 2021 Phòng GD&ĐT Hiệp Hòa, Bắc Giang
- Đề thi học kì 2 lớp 7 môn Toán trường THCS Archimedes
- Đề thi học kì 2 Toán 7 năm 2021 trường THCS Cầu Giấy, Hà Nội
- Bộ 25 đề thi học kì 2 Toán 7 năm 2021 có đáp án
- Đề thi Toán lớp 7 học kì 2 năm 2020 có đáp án - Đề 2
- Đề thi Toán lớp 7 học kì 2 năm 2020 có đáp án - Đề 3
Đề thi Toán lớp 7 học kì 2 năm 2022 có đáp án
632,8 KB-
file tải. doc
312,5 KB
- Chia sẻ bởi:
Lan Trịnh
Có thể bạn quan tâm
Xác thực tài khoản!Theo Nghị định 147/2024/ND-CP, bạn cần xác thực tài khoản trước khi sử dụng tính năng này. Chúng tôi sẽ gửi mã xác thực qua SMS hoặc Zalo tới số điện thoại mà bạn nhập dưới đây:
Số điện thoại chưa đúng định dạng! Xác thực ngay Số điện thoại này đã được xác thực! Bạn có thể dùng Sđt này đăng nhập tại đây! Lỗi gửi SMS, liên hệ Admin 1 Bình luận Sắp xếp theo Mặc định Mới nhất Cũ nhất-
Nguyen Nguyen Hay
Thích Phản hồi 0 29/04/21
-
Đề thi học kì 2 lớp 7 Tải nhiều
- Đề thi học kì 2 lớp 7 môn Toán
- Bộ đề thi học kì 2 lớp 7 - Tất cả các môn
- Bộ đề thi học kì 2 lớp 7 Chân trời sáng tạo - Tất cả các môn
- Bộ đề thi học kì 2 lớp 7 Kết nối tri thức - Tất cả các môn
- Bộ đề thi học kì 2 lớp 7 Cánh diều - Tất cả các môn
- Bài tập nâng cao trong đề thi học kì 2 môn Toán 7
- Đề cương ôn thi kì 2 môn Toán 7
- Đề thi học kì 2 môn Ngữ văn 7
- Đề thi học kì 2 lớp 7 môn tiếng Anh
- Đề thi học kì 2 lớp 7 môn Vật lý
- Đề thi học kì 2 lớp 7 môn KHTN
- Bộ đề thi học kì 2 KHTN 7 cấu trúc mới
- Bộ đề thi Tin học 7 học kì 2 sách mới có đáp án
- Đề thi học kì 2 môn Lịch sử 7
- Đề thi học kì 2 môn Sinh học lớp 7
- Đề thi nói Tiếng Anh lớp 7 học kì 2
- Đề thi học kì 2 môn GDCD lớp 7
- Đề thi học kì 2 môn Địa lý lớp 7
- Bộ đề thi học kì 2 Lịch sử và Địa lí 7 Sách mới
- Bộ đề thi học kì 2 môn Sinh học lớp 7 có đáp án
- Bộ đề thi học kì 2 Giáo dục địa phương 7
- Đề cương ôn tập học kì 2 Toán 7 trường THCS Ba Đình, Hà Nội năm 2024 - 2025
- Đề cương học kì 2 Toán 7 hệ thống GD Archimedes School, Hà Nội năm 2024 - 2025
- Đề cương cuối kì 2 Toán 7 trường THCS Phú Thị, Hà Nội năm 2024 - 2025
- Đề cương cuối kì 2 Toán 7 trường THCS Nguyễn Gia Thiều, BR VT năm 2024 - 2025
- Đề cương ôn tập cuối kì 2 Toán 7 trường THCS Ngọc Lâm, Hà Nội năm 2024 - 2025
- Đề thi môn Tiếng Anh
-
Đề thi môn Toán
- Đề cương ôn tập học kì 2 Toán 7 Chân trời sáng tạo
- Đề thi học kì 2 lớp 7 môn Toán - Chân trời
- Đề thi học kì 2 lớp 7 môn Toán - Kết nối
- Đề thi học kì 2 Toán 7 Kết nối tri thức - Đề 3
- Đề thi học kì 2 Toán 7 Kết nối tri thức - Đề 4
- Đề thi học kì 2 lớp 7 môn Toán - Cánh diều
-
Đề thi môn Tiếng Anh
- 100+ đề thi học kì 2 Tiếng Anh 7 (các bộ sách)
-
Đề thi môn KHTN 7
- Bộ đề thi HK2 - sách Kết nối
- Đề thi
- Bộ đề thi HK2 - sách Cánh diều
- Đề thi
- Bộ đề thi HK2 - sách Chân trời
- Đề thi
- Bộ đề thi HK2 - sách Kết nối
-
Đề thi Lịch Sử - Địa lý
- Sách Chân trời
- Bộ đề thi
- Đề thi số 01
- Đề thi số 02
- Đề thi số 03
- Đề thi số 04
- Bộ đề thi
- Sách Kết nối
- Bộ đề thi
- Sách Cánh diều
- Đề thi
- Đề thi Lịch Sử 7 theo CV 7991
- Sách Chân trời
-
Đề thi môn Tin học
- Sách Kết nối
- Đề thi học kì 2 lớp 7 môn Tin học - Kết nối
- Sách Chân trời
- Đề thi học kì 2 lớp 7 môn Tin học - Chân trời
- Sách Cánh diều
- Đề thi học kì 2 lớp 7 môn Tin học - Cánh diều
- Sách Kết nối
-
Đề thi môn GDCD
- Sách Kết nối
- Đề thi học kì 2 lớp 7 môn GDCD - Kết nối
- Sách Chân trời
- Đề thi học kì 2 lớp 7 môn GDCD - Chân trời
- Sách Cánh diều
- Đề thi học kì 2 lớp 7 môn GDCD - Cánh diều
- Sách Kết nối
-
Đề thi môn Công nghệ
- Sách Kết nối
- Bộ đề thi học kì 2
- Sách Chân trời
- Bộ đề thi
- Sách Cánh diều
- Bộ đề thi
- Sách Kết nối
-
Đề thi môn HĐTN
- Sách Kết nối
- Đề thi
- Sách Chân trời
- Đề thi
- Sách Cánh diều
- Đề thi
- Sách Kết nối
-
Đề thi học kì 2 lớp 7 - Chân trời sáng tạo
- Đề thi học kì 2 lớp 7 môn Văn - Chân trời
- Đề thi học kì 2 lớp 7 môn Anh - Chân trời
-
Đề thi học kì 2 lớp 7 - Kết nối tri thức
- Đề thi học kì 2 lớp 7 môn Văn - Kết nối
- Đề thi học kì 2 lớp 7 môn Tiếng Anh - Kết nối
-
Đề thi học kì 2 lớp 7 - Cánh diều
- Đề thi học kì 2 lớp 7 môn Văn - Cánh diều
- Đề thi học kì 2 lớp 7 môn Anh - Cánh diều
-
Lớp 7 -
Đề thi học kì 2 lớp 7 -
Đề thi học kì 2 Toán 7 Kết nối tri thức -
Đề thi học kì 2 Văn 7 Kết nối tri thức -
Đề thi học kì 2 lớp 7 môn Tiếng Anh -
Đề thi học kì 2 lớp 7 môn Vật Lý -
Đề thi học kì 2 lớp 7 môn Sinh Học -
Đề thi học kì 2 lớp 7 môn Lịch Sử -
Đề thi học kì 2 lớp 7 môn Địa -
Đề thi học kì 2 lớp 7 môn GDCD -
Đề thi học kì 2 lớp 7 môn Công Nghệ -
Đề thi học kì 2 Toán 7 Chân trời sáng tạo -
Đề thi học kì 2 Toán 7 Cánh diều -
Đề thi học kì 2 Văn 7 Chân trời sáng tạo -
Đề thi học kì 2 Văn 7 Cánh diều
Tham khảo thêm
-
Bộ đề thi lớp 7 cuối kì 2 năm 2020 môn Tiếng Anh nâng cao
-
10 đề thi học kì 2 lớp 7 môn Toán năm học 2021 - 2022
-
Đề kiểm tra học kì II lớp 7 môn Công nghệ - Trường THCS Trần Hưng Đạo, Đồng Nai (Đề 1)
-
Bộ đề thi học kì 2 lớp 7 năm học 2019 - 2020 đầy đủ các môn
-
Đề thi học kì 2 lớp 7 môn Địa lý trường THCS Phúc Chu, Thái Nguyên năm 2020
-
Đề thi Toán lớp 7 học kì 2 năm 2022 có đáp án
-
Bộ đề thi GDCD 7 cuối học kì 2 năm 2025 cấu trúc mới
-
Bộ đề thi cuối học kì 2 Toán 7 năm 2025 có đáp án
-
Đề thi học kì 2 lớp 7 môn Ngữ văn Phòng GD&ĐT Vĩnh Bảo, Hải Phòng năm 2019 - 2020
-
Đề kiểm tra học kì 2 lớp 7 môn Toán - Phòng Giáo dục và Đào tạo Đồng Nai
Đề thi học kì 2 Toán 7 Kết nối tri thức
-
10 đề thi học kì 2 lớp 7 môn Toán năm học 2021 - 2022
-
Đề kiểm tra học kì 2 lớp 7 môn Toán - Phòng Giáo dục và Đào tạo Đồng Nai
-
Đề thi Toán lớp 7 học kì 2 năm 2022 có đáp án
-
Đề cương ôn tập học kì 2 Toán 7 Kết nối tri thức
-
Bộ đề thi cuối học kì 2 Toán 7 năm 2025 có đáp án
-
Đề cương ôn tập học kì 2 môn Toán lớp 7 năm 2026
Gợi ý cho bạn
-
Bài tập Tiếng Anh 9 i-Learn Smart World Unit 1
-
Đề thi học kì 2 môn Toán lớp 7 năm học 2014 - 2015 Phòng GD - ĐT Tân Châu, Tây Ninh
-
Đề cương ôn tập học kì 2 môn Toán lớp 7 năm 2026
-
Bộ đề kiểm tra cuối tuần Tiếng Việt lớp 4 Kết nối tri thức Tuần 20
-
Bài tập cuối tuần Tiếng Việt lớp 4 Kết nối tri thức Tuần 20 Nâng cao
-
Bộ đề thi học kì 2 môn Toán lớp 7 TP. Hồ Chí Minh
-
Bài tập tiếng Anh 7 i-Learn Smart World Unit 1
Từ khóa » đề Toán 7 Học Kì 2 Có đáp án
-
Bộ 30 đề Thi Học Kì 2 Toán 7 Năm 2022 Có đáp án
-
Đề ôn Tập Học Kì 2 Toán Lớp 7 Có đáp án Và Lời Giải ...
-
Đề Thi Toán Lớp 7 Học Kì 2 Năm 2021 - 2022 Có đáp án (30 đề)
-
Đề Thi HK2 Toán 7 - Toán THCS
-
15 Đề Thi Toán Lớp 7 Học Kỳ 2 Có Đáp Án - Thư Viện Học Liệu
-
7 Đề Thi Học Kì 2 Toán 7 Năm 2022 (Có Ma Trận, đáp án)
-
Đề Thi Học Kì 2 Toán 7 Năm Học 2021 - 2022 Đề Số 5
-
Đề ôn Tập Học Kì 2 Toán Lớp 7 Có đáp án Và Lời Giải ... - MarvelVietnam
-
Đề ôn Tập Học Kì 2 Toán Lớp 7 Có đáp án Và Lời Giải ... - MarvelVietnam
-
85 đề Thi Học Kì 2 Toán 7 Hay Nhất - Top Lời Giải
-
Đề Thi Học Kì 2 Lớp 7 Môn Toán - Kiến Guru
-
Đề Kiểm Tra Học Kì 2 Toán Lớp 7.pdf (.docx) | Tải Miễn Phí
-
15 Đề Thi Toán Lớp 7 Học Kỳ 2 Có đáp án Năm Học 2021-2022
-
Đề Thi Học Kì 2 Môn Toán Lớp 7 Có đáp án - Đề 5 - Ôn Luyện

