Đề Thi Tốt Nghiệp THPT Môn Toán 3 Năm Gần đây - Vietnamnet
Có thể bạn quan tâm
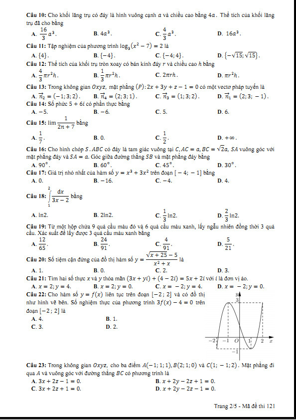
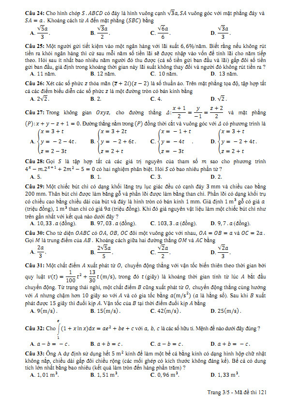
Đề thi môn Toán kỳ thi THPT quốc gia năm 2018 như sau:
![]() |
![]() |
![]() |
![]() |
![]() |
Đề thi môn Toán kỳ thi THPT quốc gia năm 2019 như sau:
![]() |
![]() |
![]() |
![]() |
![]() |
Năm 2020, do ảnh hưởng của dịch Covid-19, Bộ GD-ĐT không tổ chức kỳ thi THPT quốc gia mà tổ chức kỳ thi tốt nghiệp THPT với hai đợt thi.
Đề thi môn Toán kỳ thi tốt nghiệp THPT năm 2020 - đợt 1 như sau:
![]() |
![]() |
![]() |
![]() |
![]() |
Đề thi môn Toán kỳ thi tốt nghiệp THPT năm 2020 - đợt 2 như sau:
Đợt thi tốt nghiệp THPT thứ 2 được tổ chức cho hơn 26.014 thí sinh của 27 tỉnh/thành chưa thể dự thi đợt 1 vừa qua do ảnh hưởng của dịch Covid-19 (chiếm khoảng 3% thí sinh cả nước, trước đó 97% thí sinh đã dự thi đợt 1).
![]() |
![]() |
![]() |
![]() |
![]() |
Phương Chi tổng hợp
Cập nhật đề thi môn Toán thi tốt nghiệp THPT 2021 chính thức
Chiều 7/7, các thí sinh dự thi tốt nghiệp THPT năm 2021 đã trải qua bài thi môn Toán. Dưới đây là đề thi môn Toán thi tốt nghiệp THPT 2021 chính thức của Bộ GD-ĐT được cập nhật nhanh nhất trên báo VietNamNet.
Gợi ý đáp án môn Toán thi tốt nghiệp THPT năm 2021
Chiều 7/7, các thí sinh dự thi tốt nghiệp THPT năm 2021 đã trải qua bài thi môn Toán. Dưới đây là đáp án gợi ý cho đề thi môn Toán thi tốt nghiệp THPT 2021.
Bốn lời khuyên của chàng 'thủ khoa thợ may' trước kỳ thi tốt nghiệp THPT 2021
Nguyễn Văn Kiên, một trong hai thủ khoa khối A của cả nước đạt số điểm 29,75 năm 2020 đã đưa ra một vài lời khuyên cho các sĩ tử trong giai đoạn ôn thi nước rút chuẩn bị cho kỳ thi tốt nghiệp THPT.
Đề thi thử tốt nghiệp THPT môn Toán năm 2021
Đề thi môn Toán ở kỳ thi thử tốt nghiệp THPT năm 2021 đã được Sở GD-ĐT Hà Tĩnh xây dựng để khảo sát học sinh trên địa bàn.
Đề thi thử tốt nghiệp THPT môn Toán năm 2021 của Nam Định
Đề thi môn Toán ở kỳ thi thử tốt nghiệp THPT năm 2021 đã được Sở GD-ĐT Nam Định xây dựng để khảo sát chất lượng học sinh.
Từ khóa » đề Tốt Nghiệp Môn Toán 2020
-
Đề Thi Môn Toán Tốt Nghiệp THPT 2020 Chính Thức - Vietnamnet
-
Đề Thi THPT Môn Toán Chính Thức
-
Kỳ Thi Tốt Nghiệp THPT 2020: Đề Thi Và đáp án Môn Toán - UEF
-
Giải Chi Tiết đề Thi Chính Thức Môn Toán Năm 2020 Của Bộ Giáo Dục
-
CHỮA ĐỀ THI THPT QG 2020 - Môn Toán - Thầy Nguyễn Quốc Chí
-
Tổng Hợp Đề Thi Đại Học Môn Toán Các Năm Gần Đây - Newshop
-
Giải Chi Tiết Mã đề 101 Môn Toán Tốt Nghiệp THPT 2020
-
Đề Thi THPT Quốc Gia 2020 Môn Toán Có đáp án Chính Thức
-
7 Bộ đề Dự đoán Môn Toán Thi Tốt Nghiệp THPT 2020 Chuẩn Cấu Trúc ...
-
Đề Thi, đáp án Môn Toán-mã đề 102 Kỳ Thi THPT Năm 2020 Chuẩn ...
-
Đáp án đầy đủ 24 Mã đề Môn Toán Kỳ Thi Tốt Nghiệp THPT Năm 2020
-
Gợi ý Bài Giải Môn Toán Thi Tốt Nghiệp THPT 2020 - đủ 24 Mã đề
-
Đề Thi Tốt Nghiệp THPT Quốc Gia 2020 Môn Toán - Kenh14
-
Đề Tham Khảo Thi Tốt Nghiệp THPT 2020 Môn Toán Của Bộ Giáo Dục ...
-
Đáp án Và Lời Giải Chi Tiết đề Thi Tốt Nghiệp THPT Quốc Gia 2020 Môn ...
-
Bộ đề Dự đoán Môn Toán Thi Tốt Nghiệp THPT 2020 Chuẩn Cấu Trúc ...
-
Đề Thi Chính Thức Kỳ Thi Tốt Nghiệp THPT Quốc Gia Môn Toán Năm ...
-
Đáp án đầy đủ 24 Mã đề Thi Môn Toán Tốt Nghiệp THPT 2022
-
Xem đề Thi Và đáp án Môn Toán Thi Tốt Nghiệp THPT 2020 - VnExpress



















