Định Lí Ta-lét Trong Tam Giác - Chuyên đề Môn Toán Lớp 8
Có thể bạn quan tâm
Nâng cấp gói Pro để trải nghiệm website VnDoc.com KHÔNG quảng cáo, và tải file cực nhanh không chờ đợi.
Tìm hiểu thêm » Mua ngay Từ 79.000đ Hỗ trợ ZaloChuyên đề Toán học lớp 8: Định lí Ta-lét trong tam giác được VnDoc sưu tầm và giới thiệu tới các bạn học sinh cùng quý thầy cô tham khảo. Nội dung tài liệu sẽ giúp các bạn học sinh học tốt môn Toán học lớp 8 hiệu quả hơn. Mời các bạn tham khảo.
Chuyên đề: Định lí Ta-lét trong tam giác
- A. Lý thuyết
- B. Trắc nghiệm & Tự luận
A. Lý thuyết
1. Tỉ số của hai đường thẳng
a) Định nghĩa
+ Tỉ số của hai đoạn thẳng là tỉ số độ dài của chúng theo cùng một đơn vị đo.
+ Tỉ số của hai đoạn thẳng AB và CD được kí hiệu là AB/CD.
+ Chú ý: Tỉ số của hai đoạn thẳng không phụ thuộc vào các chọn đơn vị đo
b) Ví dụ
Ví dụ:
Cho AB = 20 cm;CD = 40 cm thì AB/CD = 20/40 = 1/2.
Cho AB = 2 m; CD = 4 m thì AB/CD = 2/4 = 1/2.
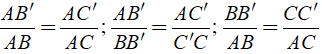
2. Đoạn thẳng tỉ lệ
Định nghĩa
+ Hai đoạn thẳng AB và CD gọi là tỉ lệ với hai đoạn thẳng A'B' và C'D' nếu có tỉ lệ thức.
+ Tổng quát:
3. Định lý Ta – lét trong tam giác
Định lý Ta – lét:
Nếu một đường thẳng song song với một cạnh của tam giác và cắt hai cạnh còn lai thì nó định ra trên hai cạnh ấy những đoạn thẳng tương ứng tỉ lệ.

Tổng quát : Δ ABC, B'C'//BC; B' ∈ AB, C' ∈ AC
Ta có:
Ví dụ: Tính độ dài cạnh AN.

Hướng dẫn:
Ta có MN//BC, áp dụng địnhlý Ta – lét ta có:
AM/MB = AN/NC hay 17/10 = x/9
⇒ x = (17.9)/10 = 15,3
B. Trắc nghiệm & Tự luận
I. Bài tập trắc nghiệm
Bài 1: Cho AB = 6 cm, AC = 18 cm, tỉ số hai đoạn thẳng AB và AC là?
A. 1/2
B. 1/3
C. 2
D. 3
Ta có: AB/AC = 6/18 = 1/3
Chọn đáp án B.
Bài 2: Tìm độ dài x cho hình vẽ sau biết MN//BC

A. x = 2,75
B. x = 5
C. x = 3,75
D. x = 2,25
Ta có: MN//BC ⇒ AM/ AB = AN/AC ⇔ 2/5 = 1,5/x ⇒ x = 3.75
Chọn đáp án C.
Bài 3: Cho AB/A'B' = CD/C'D'
⇔ AB.C'D' = A'B'.CD I)
⇔ AB/CD = A'B'/C'D' (II)
A. (I), (II) đều sai.
B. (I), (II) đều đúng.
C. Chỉ có (I) đúng
D. Chỉ có (II) đúng.
Ta có: AB/A'B' = CD/C'D' ⇒ AB.C'D' = A'B'.CD
⇔ AB/ CD = A'B'/C'D'
Khi đó cả (I),(II) đều đúng.
Chọn đáp án B.
Bài 4: Cho các đoạn thẳng AB = 6cm, CD = 4cm, PQ = 8cm, EF = 10cm, MN = 25mm, RS = 15mm. Hãy chọn phát biểu đúng trong các phát biểu sau?
A. Đoạn AB và PQ tỉ lệ với hai đoạn thẳng EF vs RS.
B. Hai đoạn thẳng AB và RS tỉ lệ với hai đoạn thẳng EF và MN
C. Hai đoạn thẳng AB và CD tỉ lệ với hai đoạn thẳng PQ và EF
D. Cả 3 phát biểu đều sai.
Ta có:

Chọn đáp án B.
Bài 5: Cho các đoạn thẳng AB = 8cm, AC = 6cm, MN = 12cm, PQ = x cm. Tìm x để AB và CD tỉ lệ với MN và PQ?
Đáp ánTa có:
AB/CD = MN/ PQ ⇔ 8/ 6 = 12/x ⇔ x = 72/8 = 9cm
Bài 6: Dựa vào các yếu tố trên hình vẽ là áp dụng định lí Talet, ta được
A. x=1
B. x=5
C. x=2
D. x=1,5
Chọn đáp án A
Bài 7: Cho các đoạn thẳng: AB=6cm, CD=4cm, PQ=8cm, EF=10cm, MN=25mm, RS=15mm. Hãy chọn phát biểu đúng trong các phát biểu sau:
A. Hai đoạn thẳng AB và PQ tỉ lệ với hai đoạn thẳng EF và RS
B. Hai đoạn thẳng AB va RS tỉ lệ với hai đoạn thẳng EF và MN
C. Hai đoạn thẳng CD và AB tỉ lệ với hai đoạn thẳng PQ và EF
D. Cả 3 câu trên đều sai
Chọn đáp án B
Bài 8: Cho các đoạn thẳng: AB=8cm, CD=6cm, MN=12mm, PQ=x. Tìm x để Ab và CD tỉ lệ với MN và PQ
A. x=18mm
B. x=9cm
C. x=0,9cm
D. Tất cả đều sai
Chọn đáp án C
Bài 9: Cho tam giác ABC, MN//BC với M nằm giữa A, B và N nằm giữa A, C. Biết AN=2cm, AB=3AM. Kết quả nào sau đây là đúng:
A. AC=6cm
B. CN=3cm
C. AC=9cm
D. CN=1,5cm
Chọn đáp án A
Bài 10: Cho đường thẳng xy song song với cạnh BC của tam giác ABC cắt các cạnh AB, AC lần lượt tại M và N. Các độ dài trên hình. Đặt AM=m. Kết quả nào sau đây là số đo độ dài của AM
A. m=2
B. m=4/5
C. m=1,5
D. Một kết quả khác
Chọn đáp án B
Bài 11: Cho tam giác ABC. E và D là hai điểm lần lượt thuộc AB, AC sao cho AD song song với BC. Biết độ dài AB=12, EB=8, AC=9. Độ dài của CD là:
A. CD=1,5
B. CD=3
C. CD=6
D. Một kết quả khác
Chọn đáp án C
II. Bài tập tự luận
Bài 1: Cho đoạn thẳng
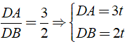
a) Trên đoạn thẳng AB lấy điểm C sao cho CA/CB = 3/2 . Tính độ dài đoạn CB.
b) Trên tia đối của tia BA lấy điểm D sao cho DA/DB = 3/2 . Tính độ dài đoạn CD.
Hướng dẫn:

a) Từ giả thiết
với t > 0
Nên AB = 10 cm = CA + CB = 5t ⇔ t = 2
Vậy CB = 4 cm
b) Từ giả thiết
Mặt khác D thuộc tia đối của tia BA nên DA > DB
Do đó AB = 10 cm = DA - DB = 3t - 2t ⇔ t = 10 cm
Vậy DB = 20 cm
Bài 2: Tính giá trị của x trên hình vẽ đã có:

Hướng dẫn:
a) Áp dụng định lí Ta – lét vào tam giác ABC có MN//BC
Ta có: AM/AB = AN/AC ⇒ AM/(AB - AM) = AN/(AC - AN) ⇔ AM/BM = AN/NC
Hay 4/x = 5/3,5 ⇒ x = 4.3,5/5 = 2,8cm
Vậy x = 2,8cm
b) Áp dụng định lí Ta – lét vào tam giác DEF có PQ//EF
Ta có: PE/DE = QF/DF ⇒ PE/(DE - PE) = QF/(DF - QF)
Hay 10,5/x = 9/(24 - 9) ⇒ x = 10,5.15/9 = 17,5 cm
Vậy x = 17,5 cm
Trên đây VnDoc đã giới thiệu tới các bạn lý thuyết môn Toán học 8: Định lí Ta-lét trong tam giác. Để có kết quả cao hơn trong học tập, VnDoc xin giới thiệu tới các bạn học sinh tài liệu Chuyên đề Toán học 8, Giải bài tập Toán lớp 8, Giải VBT Toán lớp 8 mà VnDoc tổng hợp và giới thiệu tới các bạn đọc
Từ khóa » Bài Tập Về định Lý Talet Lớp 8
-
[CHUẨN NHẤT] Bài Tập Về định Lý Talet Lớp 8 Có đáp án - TopLoigiai
-
15 Bài Tập Định Lí Ta-lét Trong Tam Giác Có đáp án | Toán Lớp 8
-
Định Lý Talet Là Gì? Bài Tập định Lý Talet Có Lời Giải Chi Tiết - Icongchuc
-
Chuyên đề định Lí Ta-lét Trong Tam Giác - Toán THCS
-
Định Lý Talet Nội Dung Căn Bản Và Bài Tập Vận Dụng
-
Các Dạng Bài Tập Về Định Lí Ta-lét Trong Tam Giác Chọn Lọc
-
Các Bài Toán Về định Lý Talet Lớp 8 - Ôn Luyện
-
Bài Tập Về Định Lý Talet Lớp 8 - Thư Viện Đề Thi
-
BÀI TẬP ĐỊNH LÍ TALET TRONG TAM GIÁC - TOÁN 8 - Hocmai
-
[Top Bình Chọn] - Bài Tập Về định Lý Talet - Trần Gia Hưng
-
Giải Bài Tập Toán Lớp 8: Bài 1. Định Lí Talet Trong Tam Giác
-
Giải Toán VNEN 8 Bài 2: Luyện Tập Về định Lí Ta-lét - Tech12h
-
Các Bài Toán Về định Lý Talet Và đường Phân Giác Lớp 8 - Tài Liệu Text
-
Giải SBT Toán 8 - Bài 1: Định Lí Ta-lét Trong Tam Giác