Độ Dài đường Trung Bình = 26cm Hai đáy Của Hình Thang Tỉ Lệ 9:4 ...
Có thể bạn quan tâm


Tìm kiếm với hình ảnh
Vui lòng chỉ chọn một câu hỏi
Tìm đáp án
Đăng nhập- |
- Đăng ký


Hoidap247.com Nhanh chóng, chính xác
Hãy đăng nhập hoặc tạo tài khoản miễn phí!
Đăng nhậpĐăng ký

Lưu vào
+
Danh mục mới
- hothiquynhman

- Chưa có nhóm
- Trả lời
0
- Điểm
55
- Cảm ơn
0
- Toán Học
- Lớp 8
- 10 điểm
- hothiquynhman - 20:11:45 13/11/2019
- Hỏi chi tiết
Báo vi phạm
Hãy luôn nhớ cảm ơn và vote 5* nếu câu trả lời hữu ích nhé!
TRẢ LỜI


- hoa24092001yl

- Chưa có nhóm
- Trả lời
9045
- Điểm
92402
- Cảm ơn
5623
- hoa24092001yl
- 13/11/2019
Đây là một chuyên gia không còn hoạt độngGiải thích các bước giải:
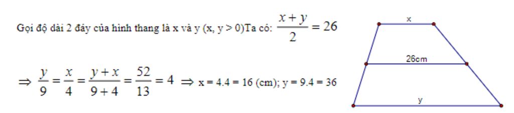
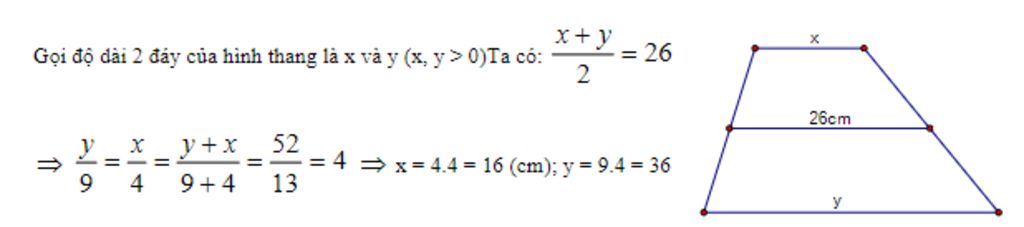
Gọi độ dài của 2 đáy của hình thang là a và b
Độ dài đường trung bình của hình thang là 26(cm) nên ta có:
\[\frac{{a + b}}{2} = 26 \Leftrightarrow a + b = 52\]
Hai đáy của hình thang tỉ lệ 9:4 nên ta có:
\[\begin{array}{l}\frac{a}{b} = \frac{9}{4} \Rightarrow a = \frac{9}{4}b\\a + b = 52\\ \Leftrightarrow \frac{9}{4}b + b = 52\\ \Leftrightarrow \frac{{13}}{4}b = 52 \Rightarrow b = 16 \Rightarrow a = 36\end{array}\]
Vậy độ dài 2 đáy của hình thang bằng 16(cm) và 36 (cm)
Hãy giúp mọi người biết câu trả lời này thế nào?
starstarstarstarstarstarstarstarstarstarstarstarstarstarstarstarstarstarstarstarstarstarstarstarstarstarstarstarstarstar4.8starstarstarstarstar6 voteGửiHủy
Cảm ơn 8
Báo vi phạm
- Vannam_13

- Chưa có nhóm
- Trả lời
0
- Điểm
13
- Cảm ơn
0
Rất trùng bài
- Vannam_13


- tamtam19022008

- Chưa có nhóm
- Trả lời
73
- Điểm
2849
- Cảm ơn
35
- tamtam19022008
- 28/11/2021

Đáp án + giải thích các bước :

Hãy giúp mọi người biết câu trả lời này thế nào?
starstarstarstarstarstarstarstarstarstarstarstarstarstarstarstarstarstarstarstarstarstarstarstarstarstarstarstarstarstar5starstarstarstarstar3 voteGửiHủy
Cảm ơn 3
Báo vi phạm
Bạn muốn hỏi điều gì?
Tham Gia Group Dành Cho Lớp 8 Chia Sẻ, Trao Đổi Tài Liệu Miễn Phí

Bảng tin
Bạn muốn hỏi điều gì?
Lý do báo cáo vi phạm?
Gửi yêu cầu Hủy

Cơ quan chủ quản: Công ty Cổ phần Công nghệ Giáo dục Thành Phát
Tải ứng dụng


- Hướng dẫn sử dụng
- Điều khoản sử dụng
- Nội quy hoidap247
- Góp ý
Inbox: m.me/hoidap247online
Trụ sở: Tầng 7, Tòa Intracom, số 82 Dịch Vọng Hậu, Cầu Giấy, Hà Nội.
Từ khóa » độ Dài đường Trung Bình Của Hình Thang Là 26cm
-
Độ Dài đường Trung Bình = 26cm Hai đáy Của Hình Thang Tỉ Lệ 9 ...
-
Độ Dài đường Trung Bình Của Hình Thang Là 26cm.Hai đấy ... - Hoc24
-
Độ Dài Trung Bình Của Hình Thang Là 26cm.Hai đáy Của Hình Thang Tỉ ...
-
Đề Kiểm Tra Chương 1 Môn Hình Học Lớp 8 - Đề Số 3 (có đáp án)
-
Độ Dài đường Trung Bình = 26cm Hai đáy Của Hình Thang Tỉ Lệ 94 Tính ...
-
Độ Dài đường Trung Bình = 26cm Hai đáy Của Hình Thang Tỉ Lệ ... - Pẹ
-
Độ Dài đường Trung Bình Của Hình Thang Là 16cm; Hai đáy Tỉ Lệ Với
-
Tính độ Dài Của 2 đáy Hình Thang Biết độ Dài đường Trung Bình Của ...
-
Độ Dài đường Trung Bình Của Hình Thang Là 16 Cm2 đáy Tỉ Lệ Với 3 Và ...
-
Một Hình Thang Có độ Dài Hai đáy Lần Lượt Là 26cm Và 64cm, Chiều ...
-
Luyện Tập Học Kỳ I (Toán 8) | Mathematics Quiz - Quizizz
-
Độ Dài đường Trung Bình Của Hình Thang Là (22,5cm). Tỉ Số Hai đáy ...
-
Độ Dài đường Cao Của Hình Thang Cân Có Hai đáy 10cm, 26cm Và ...