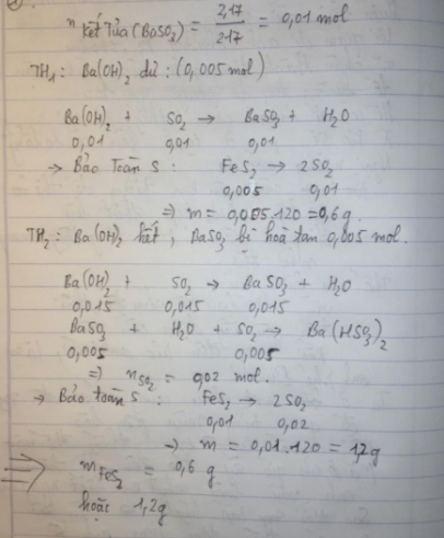
Đốt Cháy Hoàn Toàn M Gam FeS2 Trong O2 Thu được Fe2O3 Và SO2 ...
Có thể bạn quan tâm
Quảng cáo
1 câu trả lời 7091

Quảng cáo
Bạn hỏi - Chuyên gia trả lời
Bạn cần hỏi gì?
Gửi câu hỏiCâu hỏi hot cùng chủ đề
- Hỏi từ APP VIETJACK Cho các quá trình sau thu nhiệt hay tỏa nhiệt? Giải thích ngắn gọn?1. Đốt một ngọn nến2. Nước đóng băng3. Hòa tan muối ăn vào nước thấy cốc nước trở nên mát4. Luộc chín quả trứng5. Hòa tan một ít bột giặt trong tay với nước thấy tay ấm6. Muối kết tinh từ nước biển ở các ruộng muối7. Giọt nước cộng lại trên lá cây vào ban đêm8. Đổ mồ hôi sau khi chạy bộ .Giúp mình với mình đang cần gấp lắm. Trả lời (12) Xem đáp án » 100655
-
Đã trả lời bởi chuyên gia Điện phân dung dịch NaCl điện cực trơ không có màng ngăn , sản phẩm thu đc gồm : A. NaOH , nước javen
B.H2, nước javen
C. Cl2, nước javen
D.NaOH , H2
Trả lời (4) Xem đáp án » 85999 - Hỏi từ APP VIETJACK HCl+H2O tạo ra gì và cân bằng ntn ? Trả lời (7) Xem đáp án » 67429
- Hỏi từ APP VIETJACK
Đã trả lời bởi chuyên gia Giải thích sự hình thành liên kết ion trong phân tử : KCL , K2O , CaF2 , NaBr Trả lời (2) Xem đáp án » 64377 -
Đã trả lời bởi chuyên gia I-Trắc nghiệm
Oxi không phản ứng trực tiếp với chất nào sau đây?
A. Crom.
B. Flo.
C. Cacbon.
D. Lưu huỳnh.
Trả lời (13) Xem đáp án » 59030 -
Đã trả lời bởi chuyên gia Cho phương trình hóa học: Al+HNO3→AlNO33+NO+N2O+H2O
(Biết tỉ lệ thể tích N2O:NO=1:3)
Sau cân bằng phương trình hóa học trên với hệ số các chất là những số nguyên, tối giản thì hệ số của HNO3 là
A. 66
B. 60
C. 51
D. 63
Trả lời (2) Xem đáp án » 52415 -
Đã trả lời bởi chuyên gia Để cháy hoàn toàn hỗn hợp X gồm 3,84 gam Mg và 4,32 gam Al cần 5,824 lít hỗn hợp khí Y (đktc) gồm O2 và Cl2. Tính % thể tích Cl2 trong hỗn hợp Y?
Từ khóa » đốt Cháy Fes2 Trong O2
-
Đốt Cháy Pirit Sắt FeS2 Trong Khí Oxi, Phản ứng Xảy Ra Theo Phương ...
-
Đốt Cháy Pirit Sắt FeS2 Trong Khí Oxi, Phản ứng Xảy Ra ...
-
Đốt Cháy Hoàn Toàn Mg FeS2 Bằng 1 Lượng O2 Vừa đủ Thu đc Khí X ...
-
Đốt Cháy Pirit Sắt FeS2 Trong Khí Oxi - CungHocVui
-
Đốt Cháy Pirit Sắt FeS2 Trong Khí Oxi, Phản ứng Xảy ...
-
Đốt Cháy Hoàn Toàn M Gam FeS2 Bằng Một Lượng O2 ... - Khóa Học
-
Câu 1: Đốt Cháy Pirit Sắt FeS2 Trong Khí Oxi, Phản ứng Xảy Ra ... - Hoc24
-
Đốt Cháy Hoàn Toàn M Gam FeS2 Trong Oxi Lấy Dư, Sau Khi Phản ứng ...
-
Đốt Cháy Pirit Sắt FeS2 Trong Khí Oxi, Phản ứng Xảy Ra Theo Phương ...
-
Đốt Cháy Hoàn Toàn M Gam FeS2 Bằng Một Lượng O2 Vừa đủ, Thu ...
-
Đốt Cháy Hoàn Toàn M Gam FeS2 Bằng Một Lượng Oxi Vừa đủ Thu được
-
Đốt Fes2 Trong Không Khí
-
Đốt Cháy Quặng Pirit Sắt (FeS2) Trong Khí Oxi Thì Tạo Ra Sắt (III) Oxit Và Khí
-
Đốt Cháy Hoàn Toàn 0,9 Gam FeS2 Trong O2 Dư. Hấp Thụ Toàn ... - Lazi