Este A được điều Chế Từ Amino Axit B (chỉ Chứa C, H, N, O) Và Ancol ...
Có thể bạn quan tâm


Tìm kiếm với hình ảnh
Vui lòng chỉ chọn một câu hỏi
Tìm đáp án
Đăng nhập- |
- Đăng ký


Hoidap247.com Nhanh chóng, chính xác
Hãy đăng nhập hoặc tạo tài khoản miễn phí!
Đăng nhậpĐăng ký

Lưu vào
+
Danh mục mới
- xuanmai789

- Chưa có nhóm
- Trả lời
0
- Điểm
10
- Cảm ơn
0
- Hóa Học
- Lớp 12
- 50 điểm
- xuanmai789 - 20:27:29 30/07/2020
- Hỏi chi tiết
Báo vi phạm
Hãy luôn nhớ cảm ơn và vote 5* nếu câu trả lời hữu ích nhé!
TRẢ LỜI


- _lam_20052007_

- Avengers
- Trả lời
1054
- Điểm
17947
- Cảm ơn
1304
- _lam_20052007_
- 30/07/2020

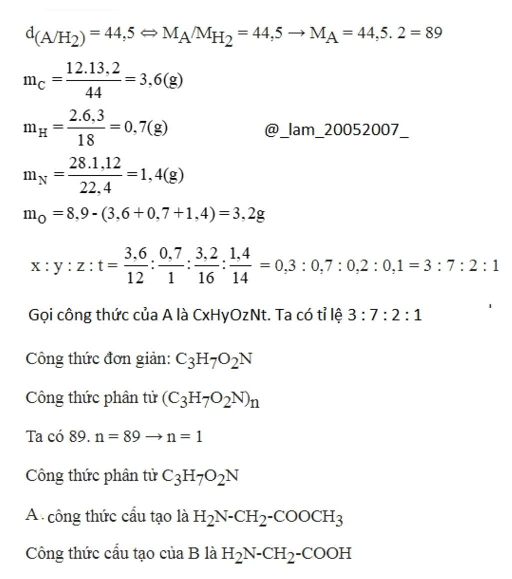
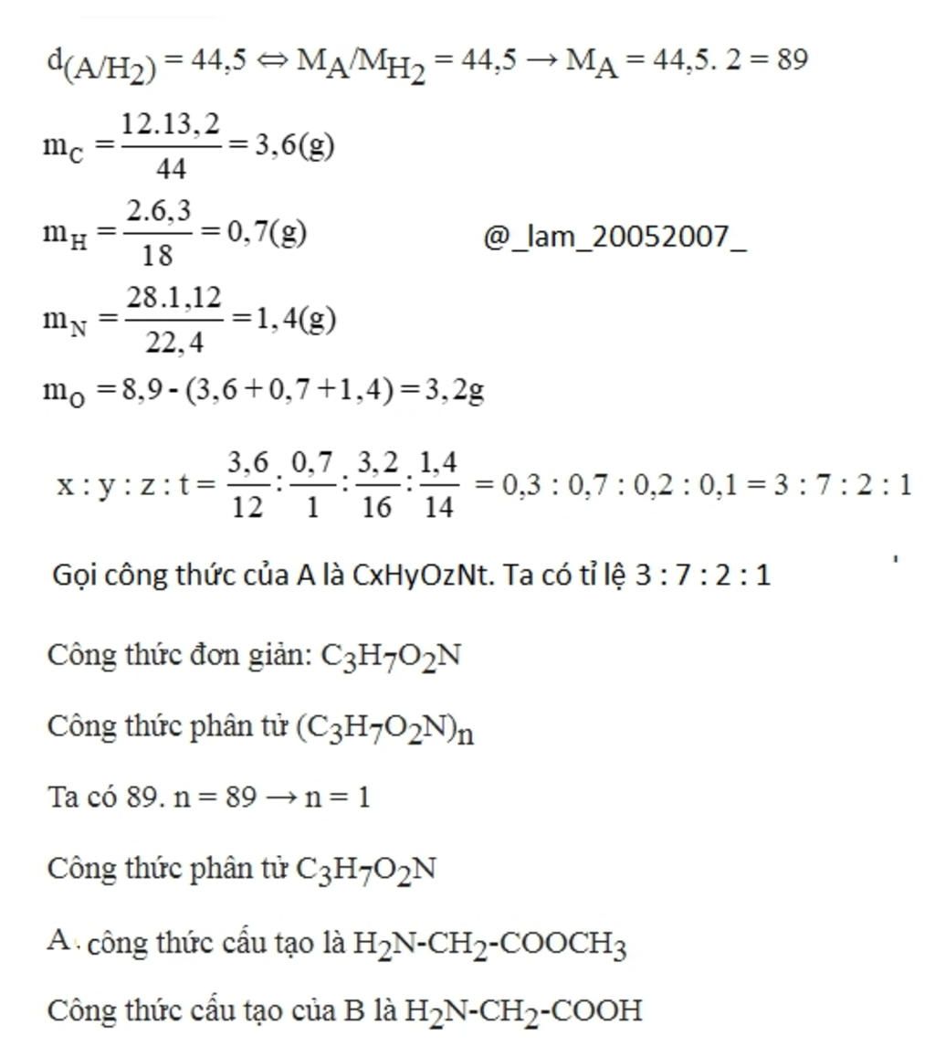
Bạn xem hình ~

Hãy giúp mọi người biết câu trả lời này thế nào?
starstarstarstarstarstarstarstarstarstarstarstarstarstarstarstarstarstarstarstarstarstarstarstarstarstarstarstarstarstar5starstarstarstarstar3 voteGửiHủy
Cảm ơn 4
Báo vi phạm


- levanthoa

- Chưa có nhóm
- Trả lời
1295
- Điểm
14631
- Cảm ơn
1251
- levanthoa
- 01/08/2020

Đáp án:
Giải thích các bước giải:
Ta có: nCO2 = 13,2 ÷ 44 = 0,3 mol; nH2O = 6,3 ÷ 18 = 0,35 molvà nN2 = 1,12 ÷ 22,4 = 0,05 mol ⇒ trong A: nC = 0,3 mol; nH = 0,7 mol; nN = 0,1 mol.Giả thiết đốt 8,9 gam A chỉ gồm C, H, O, N ⇒ mO = 8,9 – mC – mH – mN = 3,2 gam→ nO = 0,2 mol. Lại có MA = 44,5 × 2 = 89 ⇒ nA = 8,9 ÷ 89 = 0,1 moltrong A: số C = 0,3 ÷ 0,1 = 3; số H = 0,7 ÷ 0,1 = 7; số O = 0,2 ÷ 0,1 = 2 và số N = 1→ CTPT của A là C3H7NO2. A được tạo từ amino axit B và ancol CH3OH⇒ cấu tạo duy nhất thỏa mãn A là H2NCH2COOCH3ứng với amino axit B là glyxin (Gly) có cấu tạo H2NCH2COOH.
Hãy giúp mọi người biết câu trả lời này thế nào?
starstarstarstarstarstarstarstarstarstarstarstarstarstarstarstarstarstarstarstarstarstarstarstarstarstarstarstarstarstar5starstarstarstarstar2 voteGửiHủy
Cảm ơn 3
Báo vi phạm


- ndoan2566

- Chưa có nhóm
- Trả lời
546
- Điểm
499
- Cảm ơn
736
BẠN ƠI
- ndoan2566
Bạn muốn hỏi điều gì?
Group 2K8 ôn Thi ĐGNL & ĐGTD Miễn Phí

Bảng tin
Bạn muốn hỏi điều gì?
Lý do báo cáo vi phạm?
Gửi yêu cầu Hủy

Cơ quan chủ quản: Công ty Cổ phần Công nghệ Giáo dục Thành Phát
Tải ứng dụng


- Hướng dẫn sử dụng
- Điều khoản sử dụng
- Nội quy hoidap247
- Góp ý
Inbox: m.me/hoidap247online
Trụ sở: Tầng 7, Tòa Intracom, số 82 Dịch Vọng Hậu, Cầu Giấy, Hà Nội.
Từ khóa » điều Chế Este Từ Amino Axit
-
Este A được điều Chế Từ α-amino Axit Và Ancol Metylic. Tỉ Khối Hơi
-
Este A được điều Chế Từ Amino Axit B (chỉ Chứa C, H, N, O) - Khóa Học
-
Este A được điều Chế Từ Amino Axit B (chỉ Chứa C, H, N, O ...
-
Este A được điều Chế Từ α-amino Axit Và Ancol Metylic. Tỉ Khối Hơi ...
-
Este A được điều Chế Từ Amino Axit B Và Ancol Metylic. Đốt
-
Bài 6 Trang 48 SGK Hóa Học 12
-
Este A được điều Chế Từ Ancol Metylic Và Amino Axit No B(chứa Một ...
-
Este A được điều Chế Từ A-amino Axit Và Ancol Metylic, Tỉ Khối Hơi...
-
Este A được điều Chế Từ α-amino Axit Và Ancol Metylic. Tỉ ... - HOC247
-
Este A được điều Chế Từ Amino Axit B (chỉ Chứa C, H, N, O) Và Ancol ...
-
Este A được điều Chế Từ Aminoaxit B Và Ancol Etylic
-
Este A được điều Chế Từ α-amino Axit Và Ancol ...
-
Este A được điều Chế Từ α-amino Axit Và Ancol Metylic. Tỉ Khối Hơi ...
-
Este X được điều Chế Từ Aminoaxit Y Và Ancol Etyli... - CungHocVui